所屬科目:計算機概論、大意(資訊科學概論,電腦常識,電子計算機概論)
1 一般而言,處理器遇到下列何種情況,不會引起例外(exception)處理? (A)處理器執行到未定義的指令(undefined instruction) (B)處理器要抓取的資料不在快取記憶體(cache)中,產生快取失誤(cache miss) (C)處理器要抓取的某一指令,該指令所在的頁面(page)不在主記憶體中,而在硬碟中 (D)處理器要抓取的某一資料,該資料所在的頁面(page)不在主記憶體中,而在硬碟中
2 CPU 執行指令的主要步驟,依次為下列何者?(A)解碼(Decode)、執行(Execute) 、擷取(Fetch) (B)解碼(Decode)、擷取(Fetch)、執行(Execute) (C)擷取(Fetch)、解碼(Decode) 、執行(Execute) (D)擷取(Fetch)、執行(Execute)、解碼(Decode)
3 若要將數字-1043 儲存到一個 16 位元的記憶體空間中,使用二的補數法(Two’s complement representation)表示為: (A) 1000010000010011 (B) 0000010000010011 (C) 1111101111101101 (D) 0111101111101101
4 將兩個八進位數字進行相減:771-664,有關八進位結果,下列何者正確?(A) 105 (B) 107 (C) 115 (D) 117
5 有關 NOR 閘的敘述,下列何者正確? (A) NOR 閘可以單獨實現任意邏輯功能 (B) NOR 是 AND 的反相輸出 (C)當任一輸入為 1,輸出為 1 (D)全部輸入為 0 時,輸出為 0
6 假設 x 和 y 做 XOR 邏輯運算的結果為 z,再將 z 和 y 做 XOR 邏輯運算其結果,下列何者正確?(A)x (B)y (C)0 (D)1
7 假設 CPU 處理程序(Process)有 P1、P2、P3,其中 P1 所需時間為 15 毫秒;P2 所需時間為 7 毫秒;P3所需時間為 10 毫秒,若 CPU 使用最短工作先處理(Shortest Job First, SJF)方式進行,平均等待時間(毫秒),下列何者正確? (A)9 (B)8 (C) 24 (D) 17
8 有關電腦作業系統(Operating System)中的分時系統(Time-Sharing System)特性,下列何者錯誤?(A)使用者不需等待 CPU 回應 (B)多個使用者共享資源 (C)多元程式規劃(Multiprogramming) (D)不同的使用者之間不會相互干擾
9 下列那種技術,可以用在 3D 物件上貼上圖片,使其具有特定的外觀,例如磚牆或木紋?(A)紋理映射(Texture Mapping) (B)程序化建模(Procedural Modeling) (C)細分曲面(Subdivision Surface) (D)貼圖光照(Bump Mapping)
10 從技術的角度來說,虛擬實境(Virtual reality)系統,應包含三個基本主要的特徵,以英文字首的縮寫為三個「I」。下列何者不屬於這三個基本特徵? (A)實作(Implementation) (B)互動(Interaction) (C)融入(Immersion) (D)想像(Imagination)
11 有關 HTML 敘述,下列何者正確?(A)一種網頁防毒的程式 (B)一種網頁標籤的語言 (C)一種網頁存取的協定 (D)一種執行網頁的程式
12 下列是某個學校選課系統的資料庫,其中一個表格如下:Enrollment(StudentID, ClassID, Classroom) 這個表格有以下規範: (1)StudentID 是主鍵(Primary Key) (2)ClassID 屬性和 Classroom 屬性有相依性這個表格有違反那一種正規化(Normalization)? (A)第一正規化(1NF) (B)第二正規化(2NF) (C)第三正規化(3NF) (D) BCNF 正規化
13 在一個長度為 n 的陣列中,若要同時找出「最大值」與「最小值」 ,最少需要比較多少次才能完成?(不 考慮其他資料結構或額外輔助陣列) (A) n−1 (B) 2(n−1) (C)(2/3)n (D) 1.5(n−1)
14 假設有一個序列[A, B, C, D],僅能依照由左至右的順序推入(Push)至堆疊(Stack)中,而推入的過程中,在堆疊裡的資料可在任何時間點被移出(Pop),下列何者不可能是移出時的順序? (A) A,B,C,D (B) A,B,D,C (C) B,C,A,D (D) A,D,B,C
15 堆疊(Stack)是一種遵循下列何種原則的線性資料結構?(A)先進先出(FIFO) (B)先進後出(FILO) (C)後進後出(LILO) (D)隨機存取(Random Access)
16 若對一棵二元樹進行「中序(Inorder)」走訪,並列印出每個節點的值,下列敘述何者正確?(A)中序走訪的順序為「右子樹→根節點→左子樹」 (B)走訪順序一定會先印根節點,再印左子樹的節點 (C)走訪順序一定是由最左邊的葉節點開始印,再往父節點走訪 (D)中序走訪必定按照節點值從小到大列印
17 有關資料庫中 B-tree 的敘述,下列何者正確?(A)又稱作二元樹(Binary tree) (B)由 A-tree 結構改善而得 (C)根節點(Root node)到每個葉節點(Leaf node)的路徑可能會不一樣長 (D)建立的方式為由下往上(Bottom up),也就是從葉節點逐層往父節點建立
18 下圖爲一個無向圖(Undirected Graph) ,下列敘述何者錯誤?(A)該圖是一個完全圖(Complete Graph) (B)該圖是一個連通圖(Connected Graph) (C)一個有 n 個節點的連通圖,必定要有 n(n-1)/2 條邊 (D)該圖可以利用廣度優先搜尋(Breadth-First Search, BFS),建構一棵生成樹
19 關於圖形(Graph)結構的敘述,下列何者錯誤?(A)圖形可分為有向圖(Directed Graph)與無向圖(Undirected Graph) (B)圖形中的節點之間可以透過邊來相連 (C)在無向圖中,兩個頂點之間的邊沒有方向性 (D)在圖形中任兩個節點間僅能有一條邊連接
20 有關泡沫排序法(bubble sort)進行由小到大數字排序的關鍵步驟,下列何者正確?(A)每次從數列尾端數起,把最小的數往前推 (B)每次從數列尾端數起,把最大的數往前推 (C)每次將未排序數列中的第一個數插入到已排序數列 (D)將數列隨機分割並排序
21 下列何種排序(Sorting)的方式,可以在最差的情況下(Worst Case)維持最好的效能?(A)堆積排序(Heap Sort) (B)插入排序(Insertion Sort) (C)快速排序(Quick Sort) (D)選擇排序(Selection Sort)
22 有關二元搜尋法(Binary Search)要求搜尋前的資料,具有下列何種特性?(A)資料為隨機排列 (B)資料已經排序 (C)資料必須全部不同 (D)資料個數必須為偶數
23 考慮下列 C 語言的函數(Function)原型(Prototype)的宣告 int foo(int **a, float b[ ], int c); 此副程式 foo 的參數傳遞方法,依序分別為: (A)傳值、傳址、傳值 (B)傳址、傳值、傳值 (C)傳址、傳址、傳值 (D)傳值、傳址、傳址
24 假設 int 型態的大小為 4 bytes,若有一個 int arr[10]的陣列,其起始位址是 1000(十進位) 。有關 arr[5]的記憶體位址是多少? (A) 1016 (B) 1020 (C) 1024 (D) 1025
25 關於程式語言的設計敘述,下列何者錯誤?(A)設計程式時,使用副程式可以加快程式執行速度 (B)結構化程式設計(Structured programming)包含循序(Sequence)、選擇(Selection)及迭代(Iteration) 三種結構 (C) C++程式語言同時支援程序導向與物件導向程式設計 (D)為提高程式碼的可讀性,變數通常會給定一個較長的名稱,以描述其用途
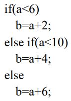
26 根據下列 C 語言的程式碼,下列何者正確?(A)當 a 為 6 時,b 為 8 (B)當 a 為 8 時,b 為 12 (C)當 a 為 10 時,b 為 14 (D)當 a 為 12 時,b 為 16
27 有關 XML(Extensible Markup Language)的敘述,下列何者錯誤?(A) XML 常被用來作為資料交換的標準格式 (B) XML 允許使用者自由定義標籤(Tag) (C) XML 標籤(Tag)不能以巢狀結構(Nested Structure)出現 (D) XML 文件是純文字格式
28 下列函式為檢測一個整數是否為質數,有關第 8 行 for(????)程式,下列何者正確?
(A) for (int i = sqrt(n); i >=0 ; i -= 2) (B) for (int i = n; i >=0 ; i--) (C) for (int i = 1; i <= sqrt(n); i += 2) (D) for (int i = 3; i <= sqrt(n); i += 2)
29 下列程式執行後的結果,何者正確?(A)8765(B)5678(C)3762(D)2673
30 下列的 C++程式碼片段,下列敘述何者錯誤? (A) s1 物件的“grade”成員的值為 1 (B) s1 物件的“name”成員的值為空字串 (C)在主程式被省略的程式碼裡,可直接執行「cout << s1.grade;」 (D)“name”是“StudentClass”的私有資料成員(private data member)
31 對於 C++程式語言,下列敘述何者正確?(A)在一個程式中所有的物件被建構(construct)完成後,才可以有物件被解構(destruct) (B)所有的靜態(static)物件建構完成後,在程式執行結束前都不會被解構 (C)在一個程式中所有宣告的物件(object)都會被建構 (D)在一個程式中所有宣告的靜態物件都會被建構
32 在物件導向程式(Object-oriented programming)中,類別(Class)的作用,下列敘述何者正確?(A)在程式中執行計算 (B)用於建立物件的範本 (C)將不同型別的資料分類儲存於檔案中 (D)讓資料儲存較省記憶體的空間
33 在神經網路中,有關「神經元」(Neuron)的作用,下列何者正確?(A)儲存圖像 (B)控制電腦的電量 (C)執行電腦程式 (D)接收資訊並進行計算
34 關於 IPv6 的敘述,下列何者錯誤?(A) IPv6 的標頭(Header)格式和 IPv4 相同 (B)將網路由 IPv4 轉換成 IPv6 會造成一些網路軟體無法使用 (C) IPv6 位址長度為 128bits,表示時分為八段,彼此以冒號分隔 (D) DABC:0:1:8::D 為一正確的 IPv6 位址表示法
35 在 OSI 七層模型中,路由器(Router)是網路中負責選擇與轉送資料封包路徑的重要設備。有關路由器主要工作於 OSI 模型的下列何一層? (A)實體層 (B)資料鏈路層 (C)網路層 (D)傳輸層
36 有關 OAuth 2.0 授權框架(OAuth 2.0 Authorization Framework) ,下列敘述何者正確?(A)它主要用於加密用戶數據 (B)它允許第三方應用獲取有限的訪問權限,而無需知道用戶憑證 (C)它是一種雙因子認證方法 (D)它只能用於行動應用程式
37 當使用者瀏覽某些網站時,瀏覽器會在本機儲存 cookies,有關 cookies 的功能,下列敘述何者錯誤?(A)網站藉由 cookies 記錄登入狀態,使用者再次瀏覽已登入過的網站時,不需重新輸入登入資訊 (B)網站藉由 cookies 記錄使用者的個人化偏好 (C)第三方廣告商可藉由 cookies 識別使用者,藉此追蹤使用者瀏覽過的網站 (D)網站藉由 cookies 在本機儲存所有的靜態網頁資料,加速瀏覽器存取網頁的速度
38 有關物件導向(Object-Oriented)語言,下列何者錯誤?(A) Python (B) Java (C) Pascal (D) C#
39 使用 Email 與遠方的使用者通訊時,下列何種通訊協定定義兩部電腦的互動方式?(A) HTTP (B) SMTP (C) FTP (D) SSH
40 你的朋友發現一個駭客網站,聲稱能夠破解社群帳號,並邀請你一起使用,下列敘述何者正確?(A)立即拒絕,因為這是違法行為 (B)先測試看看是否真的能破解 (C)只破解自己的帳號,應該沒關係 (D)張貼到社群媒體廣為宣傳