所屬科目:電力電子學
1.試問電力電子的主要目的為何? (A)產生新的電能 (B)控制與轉換電能 (C)增加線路阻抗 (D)增加電磁干擾
2.試問下列何者不是電力電子在再生能源應用中的主要目的? (A)實現併網控制 (B)提高能源轉換效率 (C)改變太陽能電池結構 (D)提供最大功率追蹤功能
3.試問電力電子在儲能系統中的主要目的為何? (A)控制充放電 (B)增加電池容量 (C)減少電池內阻 (D)增加電池內阻
4.試問在併網型再生能源應用中,電力電子設備需要達成的功能為何? (A)增加光照度 (B)改變電網架構 (C)減少風速波動 (D)同步電壓、頻率和相位
5.試問虛擬同步機(Virtual Synchronous Generator, VSG)或虛擬慣量(Virtual Inertia)控制在再生能源 應用中的目的為何? (A)提供類似傳統發電機的慣量響應 (B)增加最大功率追蹤精度 (C)減少太陽能電池表面溫度 (D)增加風機葉片強度
6.試問電力電子轉換器中的功率因數校正(Power Factor Correction, PFC)主要目的為何? (A)提高交流電流波形與電壓波形的一致性 (B)增加轉換器輸出漣波 (C)提高電感器磁通密度 (D)增加輸出電容
7.試問在電力電子設備中,所謂硬切換(Hard Switching)的缺點為何? (A)無法進行能量轉換 (B)無法輸出電壓 (C)電壓與電流在開關瞬間重疊,產生損耗 (D)只能用於低電壓應用
8.試問模組化多階轉換器(Modular Multilevel Converter, MMC)在電網的應用中受重視的原因為何? (A)可替代同步發電機 (B)適合低壓直流系統 (C)降低輸出諧波,適合高電壓應用 (D)減少半導體使用數量
9.試問直流微電網中,電力電子的任務為何? (A)與交流電網互聯 (B)控制電池充放電 (C)負載分配與電壓穩定 (D)以上皆是
10.試問下列哪一項是微電網的基本特徵? (A)只能在離網模式運行 (B)必須由同步發電機提供電力 (C)可以併網或獨立運行 (D)不能使用儲能設備
11.試問微電網中,儲能系統的主要功能為何? (A)平衡供需與提升穩定性 (B)增加電池內阻 (C)增加電網電壓等級 (D)減少再生能源安裝量
12.試問微電網中,孤島運轉係指下列何者? (A)微電網電壓過低 (B)儲能容量不足 (C)微電網與主電網脫離,仍持續供電 (D)風力發電機停機
13.試問在微電網離網模式下,哪個設備負責提供電壓與頻率基準? (A)主開關 (B)負載 (C)太陽能電池 (D)儲能電池
14.試問微電網的能源管理系統(Energy Management System, EMS)主要任務為何? (A)減少電池內阻 (B)增加太陽能光強度 (C)控制再生能源、儲能與負載之間的功率分配 (D)增加主電網的電壓
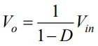
15.如【圖 1】所示為一降壓型轉換器(Buck Converter),假設操作在連續導通模式(Continous Conduction Mode, CCM),試問輸入電壓 與輸出電壓 的關係為何?(其中 D 為責任週期)
(A) (B) (C) (D)
16.承第 15 題,假設輸入電壓為 60 V,責任週期 D 為 0.5,試問輸出電壓為何? (A) 20V (B) 30V (C) 40V (D) 50V
17.承第 15 題,試問降壓型轉換器的電感電流波形為何? (A)正弦波 (B)三角波 (C)方波 (D)以上皆是
18.承第 15 題,試問降壓型轉換器的開關責任週期( D )增加,輸出電壓將如何改變? (A)增加 (B)減少 (C)不變 (D)以上皆是
19.承第 15 題,試問降壓型轉換器的主要輸出率波元件為何? (A)電感與二極體 (B)電阻與電容 (C)電感與電阻 (D)電感與電容
20.承第 15 題,假設降壓型轉換器操作在不連續導通模式(Discontinous Conduction Mode, DCM), 其電感電流會如何? (A)會有一段時間保持在零 (B)持續上升 (C)呈現正弦波 (D)永遠保持連續
21.承第 15 題,試問降壓型轉換器的二極體(D1)的作用為何? (A)改變頻率 (B)提升電壓 (C)提供續流通道 (D)減少電壓漣波
22.承第 15 題,試問降壓型轉換器的開關頻率變低,輸出電壓的波形可能會如何改變? (A)輸出電壓漣波變小 (B)輸出電壓漣波變大 (C)不受影響 (D)以上皆是
23.承第 15 題,試問降壓型轉換器最常見的應用為何? (A)變頻器馬達驅動 (B)太陽能最大功率追蹤升壓 (C)電力輸送高壓長距離傳輸 (D)電源模組降低供電
24.承第 15 題,在同步整流降壓型轉換器中,傳統二極體會被取代為下列何者? (A)電感 (B)金屬氧化物半導體場效電晶體 (C)電阻 (D)電容
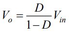
25.如【圖 2】所示為一升壓型轉換器(Boost Converter),假設操作在連續導通模式(Continous Conduction Mode, CCM),試問輸入電壓 與輸出電壓 的關係為何?(其中 D 為責任週期)
(A)(B)(C) (D)
26.承第 25 題,升壓型轉換器操作在 CCM,輸入電壓 = 400V,責任週期 D = 0.6,試問輸出電 壓為何? (A) 800V (B) 400V (C) 240V (D) 1000V
27.承第 25 題,試問升壓型轉換器中電感器(L1)的電感值若變小可能導致何種狀況? (A)電感電流漣波變大 (B)電感電流漣波變小 (C)電感電流漣波不變 (D)以上皆是
28.承第 25 題,試問升壓型轉換器中的開關(S1)導通時,會發生何種狀況? (A)電感儲存能量 (B)電感釋放能量 (C)二極體導通 (D)以上皆是
29.承第 25 題,試問當升壓型轉換器的電感器(L1)發生飽和會造成何種狀況? (A)電流漣波增加 (B)開關元件應力增加 (C)控制迴路不穩定 (D)以上皆是
30.承第 25 題,當升壓型轉換器操作在 CCM 時,其電感電流的上升斜率由下列哪個因素決定? (A)輸出電容大小 (B)電感值和輸入電壓 (C)負載大小 (D)二極體順向導通電壓
31.承第 25 題,在設計升壓型轉換器時,如果選擇過大的電感值會帶來下列何種問題? (A)電流漣波變大 (B)輸出電壓下降 (C)響應速度變慢 (D)開關損耗增加
32.承第 25 題,試問當升壓型轉換器中二極體的反向恢復時間過長會造成下列何種問題? (A)輸出電壓下降 (B)漣波電壓增加 (C)控制迴路更穩定 (D)開關損耗增加
33.承第 25 題,試問當升壓型轉換器輸出負載快速變化時,最可能會導致下列何種問題? (A)輸出電壓暫時波動 (B)電感電流不變 (C)二極體短路 (D)以上皆是
34.如【圖 3】所示為一靜態同步補償器(Static Synchronous Compensator, STATCOM)應用於電網之 架構,試問 STATCOM 之功能為何?
(A)控制電網頻率 (B)穩定電壓並提供無效功率 (C)提供實功率 (D)以上皆是
35.承第 34 題,試問 STATCOM 在電網電壓過高時,通常會如何運行? (A)注入虛功率 (B)吸收虛功率 (C)注入實功率 (D)吸收實功率
36.承第 34 題,試問 STATCOM 的主要優點為何? (A)動態性能快 (B)無需控制系統 (C)可提供實功率 (D)以上皆是
37.試問設計電源轉換器,使用寬能隙(Wide Band Gap)功率半導體開關可能的考量為何? (A)提升電源轉換器效率 (B)提升切換損失 (C)增加電源轉換器之體積 (D)以上皆是
38.試問寬能隙功率半導體元件相比矽元件的主要優勢為何? (A)成本低 (B)耐高溫、高頻性能好 (C)電流承載能力低 (D)以上皆是
39.試問下列哪一種材料屬於典型的寬能隙半導體? (A)碳化矽 (B)鍺 (C)矽 (D)鋁
40.試問在直流-直流轉換器中使用寬能隙元件的好處為何? (A)增加輸出電壓漣波 (B)降低輸入電壓 (C)減少輸出電壓 (D)高效率、體積小
41.試問電網慣量的主要作用為何? (A)調節電網電壓 (B)抵抗頻率快速變化 (C)提供虛功率 (D)增加負載
42.試問電網慣量的主要來源為何? (A)同步發電機 (B)電容器 (C)負載器 (D)變壓器
43.試問電網慣量越大,頻率變化的速率(Rate of Change of Frequency, RoCoF)將會如何改變? (A)變快 (B)變慢 (C)不變 (D)以上皆是
44.試問變流器(Inverter)的主要功能為何? (A)將直流轉為直流 (B)將交流轉為直流 (C)將直流轉為交流 (D)將交流轉為交流
45.試問當電網的功率突變時,具有虛擬慣量控制的變流器會如何運行? (A)降低虛功率 (B)停止工作 (C)提高輸入直流電壓 (D)增加實功率以支撐電網頻率
46.試問具虛擬慣量控制的變流器和傳統的變流器相比,優勢為何? (A)提供瞬時的頻率支撐 (B)降低輸入電壓 (C)增加功率因數 (D)降低輸出電壓
47.試問搖擺方程式中的 D 代表下列何者? (A)阻尼係數 (B)電感 (C)電容 (D)負載
48.試問多台變流器並聯操作時,可藉由改變以下何種參數來進行功率分配? (A)切換頻率 (B)下垂係數 (C)輸入電壓 (D)輸出電壓
49.試問基於虛擬同步機控制法的變流器模擬同步機的搖擺方程式的目的為何? (A)增加功率損耗 (B)降低輸出功率 (C)提供虛擬慣量和阻尼 (D)以上皆是
50.試問在微電網中,變流器採用虛擬同步機控制,若負載瞬間增加,哪個參數主要決定初始頻 率下降的速度? (A)慣性常數 (B)下垂係數 (C)輸入直流電壓 (D)輸出功率