所屬科目:四技二專統測◆數學A
1. 已知ΔABC 中,∠A =45°,試求 sinA=? (A) 12 (B) (C) (D)
2. 已知不等式 4x –5<4+x 與不等式 5–x>a 有相同的解,試求 a=? (A) 2 (B) 3 (C) 4 (D) 5
3. 已知 為等比數列。若 a4=8、 a6 =18,且 a5 >0,則 a5 =? (A) 11 (B) 12 (C) 13 (D) 14
4. 已知n、m 為正整數 n ≥ m ,且 為從n中取m的不重複組合數。若 , 則 n=? (A) 10 (B) 11 (C) 12 (D) 13
5. 棋祥使用人工智慧模擬出投球的軌跡,其軌跡恰好落在二次函數 f(x)=– x2 +8x+9 的圖形 上,其中–1 ≤ x ≤ 9,試問棋祥投球的最高點坐標為何? (A) ( 4,25) (B) ( 5,49) (C) ( 0,9) (D) ( 9,0)
6. 某市需要清運颱風造成的垃圾雜物約 7200 噸。已知小卡車一次可清運 3 噸,大卡車一次 可清運 6 噸。若 x , y 皆為非負整數,則下列哪一個不等式較能說明「需使用 x 台小卡車 和 y 台大卡車,才能一次清運掉至少 7200 噸的垃圾雜物」? (A) 3x+6y≤7200 (B) 6x+3y≤7200 (C) 3x+6y≥7200 (D) 6x+3y≥7200
7. 若投擲一顆公正的骰子二次,且第一次跟第二次的點數和為 4 的倍數,則共有幾種不同 的情形? (A) 18 (B) 12 (C) 9 (D) 6
8. 已知 1 到 30 的正整數中有 10 個質數。若從 1 到 30 中任取兩相異整數,則兩數均為質數 的機率為何? (A)(B)(C) (D)
9. 設坐標平面上有 A ( 2 , 3 )、B ( 5 , 7 )、C ( 4 , a ) 三點,且 斜率為 m1 、 斜率為 m2 。 若m2 = −m1,則 a=? (A) 113 (B) 173 (C) 8 (D) 11
10. 搜救員在田野尋得一位昏迷路人,想將昏迷路人送往一條直線的道路上,方便救護車能將昏迷路人送往醫院治療與照顧,經量測後繪製出以公尺為單位的圖 ( 一 ) 。已知昏迷 路人在點( –3,5)處,搜救員想要前往的道路在直線 4x –3y –13=0 上,試求搜救員送昏迷 路人到道路最少需要走多少公尺?
(A) 5 (B) 6 (C) 7 (D) 8
11. 已知三次多項式 f(x)=x3+2x2+bx+c。若 f(0)=f(1)=0,則 b–c=? (A) –3 (B) – 1 (C) 1 (D) 3
12. 已知國道一號高速公路里程數由北至南遞增標示,最北端標示為 0 公里,最南端標示為374.3 公里。已知曉明開車從標示 192 公里處進入高速公路向北行駛,並從標示 x 公里處 離開,需繳交通行費 84 元。若高速公路通行費每公里 0.9 元,則 x 值最接近下列何者? (A) 99 (B) 116 (C) 268 (D) 285
13. 保險公司針對某校教職員工生推出一年期意外死亡險,每張保單保費為 500 元,意外 死亡時賠償 100萬元。若該校教職員工生每年發生意外死亡的機率約為 0.03%,在不考慮 其它成本的情形下,則該保險公司每賣1張此保單,獲利的期望值約為多少元? (A) 100 (B) 200 (C) 300 (D) 400
14. 小夫班上某次考試分數的算術平均數為 50,標準差為 10。若老師將每個人的分數乘以 0.7,再加上 30,則調整後全班分數的算術平均數和標準差分別為多少? (A) 算術平均數為 80,標準差為 10 (B) 算術平均數為 80,標準差為 7 (C) 算術平均數為 65,標準差為 10 (D) 算術平均數為 65,標準差為 7
15. 大雄班上有 60 位同學參加考試,已知班上數學及格的同學佔 70 %,英文及格的同學佔60%,數學和英文都及格的同學佔 45%,試求數學和英文都不及格的同學有多少位? (A) 6 (B) 9 (C) 12 (D) 15
16. 由 0、1、2、3、4、5、6 七個數字中,任取四個相異數字排成四位數,則這些四位數中 有幾個為 5 的倍數? (A) 120 (B) 180 (C) 220 (D) 280
17. 某籃球隊的五位先發球員,身高由高到矮排列後恰好是一個等差數列,其公差不等於0。 若此五位球員的身高總和為 900 公分,則五位球員中身高最高與最矮兩位球員的身高總和 為多少公分? (A) 350 (B) 355 (C) 360 (D) 365
18. 若f(x)=2sinx+1,則下列何者最有可能為函數 y=f(x)之圖形? (A) (B) (C) (D)
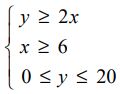
19. 若圓 C:x2+4x+y2 –6y+k=0 與 x 軸相切,則 k=? (A) – 4 (B) 0 (C) 1 (D) 4
20. 奕星預計烘烤葡萄餅乾 x盒和奶油餅乾 y盒,而奶油餅乾的數量至少是葡萄餅乾的兩倍, 且葡萄餅乾至少要 6 盒、奶油餅乾最多 20 盒。已知圖 ( 二 ) 為二元一次聯立不等式的圖解,若烘烤每盒葡萄餅乾的成本為 50 元、每盒奶油餅乾的成本為 36 元,則奕星烘烤餅乾預計的最低成本是多少元?
(A) 618 (B) 732 (C) 816 (D) 1020
21. 已知 a=log34、b=2log35、c=log316,試求 a、b、c 大小順序為何? (A) a>b>c (B) a>c>b (C) b>c>a (D) c>b>a
22. 已知 1 米 ( meter,符號 m ) = 109 奈米 ( nanometer,符號 nm ) = 皮米( picometer,符號 pm )。若人類免疫缺陷病毒直徑約為 120 nm、水分子直徑約為 280 pm,則人類免疫缺陷 病毒直徑約為水分子直徑的多少倍? (A) 0.4 (B) 4 (C) 40 (D) 400
23. 已知芮氏地震規模 M (級)與能量 E(焦耳)的關係式為: 。若第二次世界大 戰時,美軍在長崎投下的原子彈所釋放之能量約為 8.4 × 焦耳,則此能量大約為多少級芮氏地震規模? (A) 5.3 (B) 6.1 (C) 7.2 (D) 8.4
24. 已知某工廠根據過往製造產品的經驗,歸納出成本 y ( 千元 ) 與產量 x ( 單位 ) 的兩種關係 函數,並用來預估成本:y = f ( x ) = 10 x + 200 和 y = g ( x ) = 0.0025 x 2 + 8 x + 200,其中0<x<1000。試問當產量 x 為多少時,由這兩種函數估計出來的成本會相等? (A) 200 (B) 400 (C) 600 (D) 800
25. 某美術館有一個三角形展廳,經量測後可繪製出以公尺為單位的圖 ( 三 ),三個牆面如圖 中虛線所示,且皆與地板垂直。若設計師想在展廳中以點 A( 3 , 4 )為圓心,設置一個半徑為 a 公尺的圓形展台,而且為了保留通道,展台至任何一面牆的距離最少要有 2.5 公尺。 試問 a 之最大值約為多少?
(A) 1.5 (B) 1.8 (C) 2.1 (D) 2.3