所屬科目:教甄◆數學
1. 如下圖,等腰直角△ABC 中, = A 90 ,D 為的中點,四邊形 DEFG 為正方形,且點 F 為邊上。若 ,= 4,試求正方形 DEFG 的面積之值?
2. 設 z 是 1 的 7 次方根, z ≠1,試求z+z2+z4 = ?
3. 設 f (x) 為整係數多項式,假設 ,且 [f(x)+g(x)]=x4-4x2+x-7,求多項式 f (x) ?
4. 座標平面上,在以 O(0,0) , P(0,2),Q(1,2) , R(1,0) 為頂點的矩形(含邊界 ),令 為滿足下述條 件的點 A(x ,y ) 所成的區域: 與點 A (x ,y ) 的距離為 │2x-y │之所有點所形成圖形完全落在矩形 OPQR (含邊界)內,試求區域 Ω 的面積。
5.有一邊長為 2 的正四面體 ABCD,設 A' 為 A 對平面 BCD 的對稱點, B' 為 B 對平面 ACD 的對稱 點,試求出四面體 A'CB'D的體積為何?
6. 重複操作一個成功機率為 p 的伯努力試驗,且 ,= 180,試求到第三次才出現第一次成功的機率
7. 設函數 f (x) =│log x│ ,若 a ≠b ,且 ,求數對 (a ,b ) ?
(1)試證 f (x) =0 在 0<x<2之間恰有一實根 t 。
(2)三直線 x = 0, x = 2, y = 0 與曲線 y =f (x) 所圍成區域的面積為 S ,試以 t 表示。
(3)試求當 t 為多少時 S 有最小值,並求出 S 的最小值。
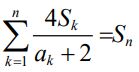
9.若數列 <an 中每一項均為正數,設數列 之前項 n 的和為 。已知 ,試求 及 (皆以 n 的式子表示)。
10.在坐標平面上,已知 為三個非零向量,其中 , 上的正射影長為 1 ,若, 試求的最大可能值。