所屬科目:三級/三等◆流體力學與工程力學
(一)噴嘴中水流之質量流率(mass flow rate);(10 分)
(二)從噴嘴流出水柱之頂點與桶內水面之高度差。(10 分)
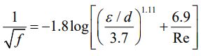
二、在一直徑 d = 0.4 m 之水平圓管中,水以截面平均速度V =10 cm/s 流動。 假設此管之內壁光滑,故粗糙度(equivalent roughness)ε = 0 ,試求每單位管長之壓力降 ( pressure drop per unit pipe length )。 設水 之 密 度ρ= 1000 kg/m3 、運動黏滯係數v = 1.12 ✖ 10-6 m 2 /s 。提示:管流摩擦因子 (friction factor)f 可利用下式計算:式中 Re 為雷諾數(Reynolds number)。(15 分)
三、如圖所示一惰輪之截面 , 其 中 材 質 橡 膠 密 度 1250 kg/m3 、 鋁 密 度 2770 kg/m3、青銅密度 8580 kg/m3,求此惰輪對轉動軸之質量慣性矩及迴轉半徑(radius of gyration)。(15 分)
四、如圖所示之小朋友體重 40 kg 、重心位於 G 點,若其來回擺盪之最大角度θ = 60° 、過程中無能量損失,試求其擺盪至θ =0° 之最低點時,其速度大小及桿件 AB 所受之反力(假設 AB、AC 兩側都各僅有一支桿件) 。另外,若桿件為兩端銷接、外徑50 mm、壁厚為3 mm 之鐵材(楊氏係數= 210 GPa ),試檢查桿件是否會產生挫曲(buckling)。(30 分)
五、如圖所示之油壓缸(cylinder)受活塞(piston)之推動而產生壓力 p,假設其可被視為薄壁壓力容器且壁面摩擦係數可不計,而活塞之直徑為 48 mm 、施加之外力 F 為16 kN 。當使用之缸壁材料之容許剪應力τ allow 為 42 MPa ,且缸壁在軸向可自由變形,試求缸壁材料所需之最薄厚度 t min 。(20 分)