所屬科目:法醫生物學
1 法醫鑑識人員分析粒線體序列時,發現某一鹼基位置同時出現 A 與 G 兩種鹼基訊號,根據 SWGDAM(Scientific Working Group on DNA Analysis Methods)規範,應以那一個字母代替 兩個鹼基在該位置鹼基變異情形? (A)N (B)T (C)R (D)U
2 有關人類白血球抗原(HLA)基因系統的生物功能,為體內防衛系統中辨識敵我分子的工作, 下列敘述何者錯誤? (A)執行此功能的 HLA 基因產物是脂質(lipid)分子,位於白血球細胞質 (B) HLA 基因與免疫系統的疾病相關 (C) HLA 基因亦與器官移植的接受與排斥相關,可以誘發對外來組織移植的排斥作用 (D)比對器官捐贈者與受贈者之 HLA 基因相符情形,即可決定能否移植
3 將某物種檢體之粒線體 Cytochrome b DNA 序列與 NCBI(National Center for Biotechnology Information)進行種屬比對時,其相似度必須至少達多少(含)以上,始可研判該檢體最有可 能之物種? (A) 89% (B) 93% (C) 95% (D) 98%
4 有位女子疑似遭到二位近親男性家屬(叔父及祖父)性侵而產下一名女嬰,法醫鑑識人員應使用下列何種基因鑑定研判何人最有可能是女嬰之親生父親? (A)粒線體 HV1 和 HV2 (B) X-STR DNA (C) Y-STR DNA (D) MicroDNA
5 法醫鑑識人員分析 DNA 圖譜時,常於真正對偶基因(Allele)型別前發現較小訊號(一個 Allele 重複單元) ,該訊號稱為 Stutter,請問一般 Stutter 必須小於真正對偶基因(Allele)多少%, 才不會造成分析困擾或誤判? (A) 10 (B) 15 (C) 20 (D) 25
6 某一海灘上發現一個無名屍頭顱(枯骨),若您是法醫人員,請問應採集該頭顱何處部位檢體 (DNA 含量較多之處),以利後續 DNA 鑑定? (A)顳骨的岩狀部(Petrous Part of Temporal Bone) (B)枕骨(Occipital Bone) (C)頂骨(Parietal Bone) (D)顏面骨(Facial Bone)
7 母親 HLA-DQA1 基因型為 1.1, 2,小孩 HLA-DQA1 基因型為 1.1, 1.3,假設父 HLA-DQA1 基因型為 1.3, 2,對偶基因型頻率分別為 1.1=0.04,1.3=0.05,2=0.06,請問親子關係指數 PI (Paternity Index)為何? (A) 4.17 (B) 10 (C) 12.5 (D) 20
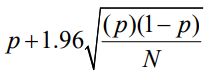
8 進行粒線體單倍型比對時,發現 DNA 資料庫中,有 X 個檢體與其型別相同,法醫人員應使用下列何種公式計算其單倍型頻率(在 95%信心區間)?N=DNA 資料庫中檢體數,α=信心水準,P=X/N。(A) 1-α1/ N (B) 5/2N (C) 2α/5N (D)
9 計算某單親父子二人的 22 組基因位親子關係指數時,發現 21 組基因位累積親子關係指數為 1.0×107(沒有突變),但其中 1 組基因位發生突變,該基因位突變率約為 1.0×10-3,請問其累 積親子關係指數最接近下列何者? (A) 9.999×106 (B) 1.0×104 (C) 1.001×107 (D) 1.0×1010
10 暴露於紫外線(UV)輻射會對 DNA 分子直接或間接產生不同類型的傷害,下列何種 DNA 分子現象最不可能由紫外線造成? (A)股斷裂(Strand breakage) (B)鹼基修飾(Base modifications) (C)多鹼基插入(Poly base insertion) (D)鍵間交聯(Interstrand crosslinks)
11 使用 Real-Time PCR 定量儀進行絕對定量(Absolute quantification)後,應檢查各個項目或參數是否正常或符合要求,以利提供後續 PCR 實驗重要參考資料,下列敘述何者最不適當? (A)檢查由標準樣品(已知濃度)所建構的迴歸曲線是否正常 (B)檢查斜率(Slope)範圍是否落在-3.0 至-3.6 之間 (C)檢查 R2(Coefficient of determination)數值是否≥0.99 (D)檢查 CT(Cycle threshold)數值是否≥30
12 某地方檢察署送來兄妹 2 人檢體,請實驗室協助鑑定兄妹 2 人是否可能具有手足親緣關係,請問實驗室應使用那些基因位進行鑑定? (A)粒線體 HV1 及 HV2、Autosomal STR 及 X-STRs (B)粒線體 D-loop、Autosomal STR 及 Y-STRs (C)粒線體 12S rRNA、SNPs 及 Y-STRs (D)粒線體 16S rRNA、SNPs 及 X-STRs
13 下列何種定序技術無須對目標 DNA 進行 PCR 擴增反應,直接在目標 DNA 兩端加上兩個髮夾 DNA 片段,形成一個環狀結構,而且可對單分子 DNA 進行定序? (A) Sanger Sequencing (B) Pyrosequencing (C) Ion Semiconductor Sequencing (D) Single Molecule Real-Time Sequencing
14 某女性被害人陰道棉棒檢出混合基因型別為(13, 14, 17),其訊號波峰高度(Peak height)分別為 500, 100, 400,女性被害人基因型別為(13, 17),若混合型別男女訊號強度比為 1:4, 請問男性涉嫌人最有可能的基因型別為何? (A) 13, 13 (B) 13, 14 (C) 14, 14 (D) 14, 17
15 系爭父親於 D18S51 基因型別為(13, 17),而兒子基因型別為(16, 21),該基因座突變率為 μ,對偶基因型 16 的基因頻率為 p,若本案為 1 步突變(One step),則本案親子關係指數 PI (Paternity Index)應為下列何者? (A) μ/8p (B) μ/80p (C) μ/4p (D) μ/40p
16 某一男子與太太欲尋找多位於災難中失蹤的家人,不久尋獲一具無名屍,其 DNA 型別為(31, 32.2),而男子與太太的 DNA 型別分別為(31, 31)及(29, 30),請問該無名屍身分 最可能為下列何者? (A)男子的父親 (B)男子的兒子 (C)太太的父親 (D)太太的母親
17 下列有關 DNA 標記 TH01 之敘述何者正確?(A) TH 是指 theanine hydrolase 基因 (B) TH01 的 01 是指此 DNA 標記位於 TH 基因的 intron 1 之內 (C) TH 基因位於 chromosome 10 (D) TH01 DNA 標記是一種小衛星(minisatellite)序列
18 人類 ABO 血型系統的抗原及前驅物之形成,下列敘述何者正確?(A)紅血球細胞上 H 抗原接上 N-乙醯-D-半乳糖胺(N-acetyl-D-galactosamine)形成 A 抗原 (B)紅血球細胞上 H 抗原接上 L-嚴藻糖(L-fucose)形成 B 抗原 (C)紅血球細胞上接上 N-乙醯半乳糖胺(N-acetylgalactosamine)形成 H 抗原 (D)紅血球細胞上接上 L-葡萄糖胺(L-glucosamine)形成前驅物(precursor)
19 兇手處理屍體通常選擇埋葬,下列有關埋葬屍體的敘述何者錯誤?(A)被埋葬的屍體仍會有昆蟲前來繁殖,但是出現的時間比暴露屍體慢 (B)埋葬屍體中的昆蟲相消長與暴露屍體不同 (C)腐屍甲蟲(carrion beetles)不會出現在被埋葬於地下 30 公分土層的屍體 (D)家蠅科(Muscidae)與蚤蠅科(Phoridae)昆蟲可能出現在被埋葬於地下 60 公分土層的屍體
20 下列有關毛髮鑑定之敘述,何者錯誤?(A)若要進行 DNA 鑑定最好採取間期(catagen phase)之毛髮 (B)掃描式電子顯微鏡可觀察毛髮之表皮鱗片樣式,以區分人類與其他動物之毛髮 (C)人類毛髮之髓質通常占據毛髮中較少的部分,髓質係數通常是小於 1/3 (D)毛髮皮質層含有色素顆粒,這些顆粒的顏色、形狀與分布可作為個體間比較的重要依據
21 當法醫鑑識人員遇到生物跡證疑似含有精液,但卻無法檢出精子的情況,該如何明確判定檢體有無精液存在? (A)當酸性磷酸酶測試反應大於 30 秒即呈陽性,再搭配檢測 PSA(p30)檢測為陽性,即可判定有精液存在 (B)當酸性磷酸酶測試反應大於 15 秒即呈陽性,再搭配檢測 PSA(p30)檢測為陽性,即可判定無精液存在 (C)當酸性磷酸酶測試反應少於 15 秒即呈陽性,再搭配檢測 PSA(p30)檢測為陰性,即可判定有精液存在 (D)當酸性磷酸酶測試反應少於 30 秒即呈陽性,再搭配檢測 PSA(p30)檢測為陽性,即可判定有精液存在
22 在性侵案件中,判斷性行為發生時間點,可藉由分析陰道內精液的各類成分予以推斷,下列敘述何者錯誤? (A)完整並帶有尾巴的精子,通常在性行為後 5 天內還可以檢出 (B)有活動性精子通常可存活 4 至 6 小時 (C) PSA(p30),通常在性行為 72 小時後,就無法測得 (D) acid phosphatase 活性,通常在性行為 48 小時後,就無法測得
23 在執行 real-time PCR 時,為排除 PCR 反應中的非專一性(non-specific)產物訊號干擾,常會採取下列何種方式來偵測? (A)使用具有校正(proofreading)活性的 DNA 聚合酶 (B)加入 dUTP 及 uracil-N-glycosylase (C) PCR 反應時加入 TaqMan probe (D) PCR 放大結束後,執行單股結構多型性分析(single-strand conformation polymorphism)
24 樣品含有超過一個人以上的 DNA 時,通常會有超過一個以上的基因出現特徵,有關混合型DNA 圖譜的檢查,下列敘述何者最不適當? (A)一個基因位出現超過兩個對偶基因型 (B)在結巴訊號(stutter)位置的訊號強度高於結巴訊號強度 (C)異合子(Heterozygote)的兩個對偶基因型訊號強度明顯不平衡,此現象並非由微量 DNA 複製與裂解 DNA 所引起 (D)真實對偶基因型別訊號必須超過原本預設型別訊號閾值(threshold)之三倍(含)以上,始能正確判定
25 假設 X 基因座在臺灣人群中共出現 10 種對偶基因型,在不考慮發生基因突變的狀況下則最多可發現幾種基因型組合? (A) 35 (B) 55 (C) 85 (D) 155
26 使用毛細管電泳進行 PCR-STR 型別分析時,關於生成 stutter 產物特性之敘述,下列何者錯誤?(A)主要是由於 PCR 擴增過程中滑落(slippage)所導致 (B)通常是相對應的真實對偶基因型訊號高度之 5%以內 (C)通常出現在重複次數多的對偶基因中 (D)出現在真實對偶基因型訊號附近,通常少 1 個重複單元
27 假設某親子鑑定之 DNA STR 標記基因分型與個別 Paternity Index(PI)結果如下:D3S1358: 母親(15, 18),子(16, 18),系爭父親(16);PI = 4.32TH01:母親(7, 9),子(7, 9),系爭父親(7, 9);PI =2.96D16S539: 母親(9, 12),子(9),系爭父親(9, 12);PI = 4.8請問就測試這三個 STR markers,親子關係確定率(Probability of Paternity)約為多少? (A) 98.4% (B) 75.4% (C) 52.4% (D) 33.3%
28 若累積親子指數 CPI(Combined Paternity Index)為 100,而系爭男子是小孩爸爸的機率為 0.8,則親子關係確定率(Probability of Paternity)下列何者最接近? (A) 79.8% (B) 80% (C) 80.2% (D) 99.8%
29 關於第三代定序技術和次世代定序之比較,下列敘述何者錯誤?(A)第三代定序技術不需基因擴增 (B)第三代定序技術序列讀長(Read length)較長 (C)次世代定序準確度較低 (D)次世代定序每次反應成本較高
30 關於人類白血球抗原(HLA)之敘述,下列何者正確?(A) HLA 抗原只表現於人類白血球細胞之細胞膜上 (B) HLA 的多型性(Polymorphism)多集中於 Exon 上 (C)早期血清學分析法,主要使用不同的HLA 抗體加入 B淋巴球細胞執行毒殺試驗 (Lymphocytotoxicity test) (D)現行的 DNA 分析法主要使用 PCR 放大特定基因片段,以分析其中重複性序列之多型性
31 關於人類基因體之敘述,下列何者錯誤?(A)可轉譯成蛋白質的基因序列約占全基因體序列的 2% (B)重複性 DNA 序列約占全基因體的 80% (C)與散布式重複(interspersed repetitive)DNA 序列相比,串聯重複(tandem repetitive)DNA 在人類基因體中所占的比例較低 (D) Alu repeats 序列,屬於散布式重複 DNA,約占人類基因體的 10%
32 潮濕的血液斑、精液斑或尿液斑等檢體,應如何保存?(A)應以不透氣袋子密封 (B)陰乾後,置於室溫保存 (C)立刻加入福馬林固定保存 (D)置於玻璃瓶中,抽真空後冷凍保存
33 下列有關食屍性昆蟲大頭金蠅(Chrysomya megacephala)幼蟲在服用馬拉松自殺的屍體中之發育敘述何者較接近事實? (A)無法在大頭金蠅幼蟲中偵測到馬拉松 (B)大頭金蠅幼蟲在含有馬拉松的屍體中的發育速度快於在不含馬拉松屍體中的發育速度 (C)從大頭金蠅幼蟲發育推估的死後間隔時間(post-mortem interval)貼近失蹤天數的推算預期 (D)從大頭金蠅幼蟲發育推估的死後間隔時間因未計入馬拉松導致的延遲產卵而低於預期
34 下列那一種食物最適合用於飼養麗蠅科幼蟲,以利死後間隔時間(post-mortem interval)的估計?(A)人工飼料 (B)豬肉 (C)牛肝 (D)雞肉
35 下列有關屍體分解階段與腐屍昆蟲相之間的敘述,何者錯誤?(A)在分解新鮮期(fresh stage)釋出的味道會吸引麗蠅與麻蠅前來產卵繁殖 (B)在腫脹階段(bloat stage)會有大量的麗蠅科、麻蠅科與家蠅科的幼蟲、成蟲聚集 (C)在活躍/晚期衰變階段(active/advanced decay stage)只會有極少數的捕食性鞘翅目昆蟲 (D)在乾燥階段(dry stage)會有取食皮膚毛髮的鰹節蟲科(Dermetidae)與皮金龜科(Trogidae) 昆蟲出現
36 下列有關食屍性麗蠅科昆蟲之敘述何者錯誤?(A)人或動物一死亡即會釋放屍體揮發有機化合物吸引昆蟲前來,麗蠅通常是最先被吸引來繁殖(colonization)的昆蟲 (B)氨是主要吸引麗蠅前來產卵的揮發性物質 (C)一旦有雌蠅開始來產卵,便會吸引更多的雌蠅來產卵 (D)大量的麗蠅蛆可加速屍體的分解,但是所產生的熱卻不利於麗蠅繁殖
37 在基因擴增實驗中,下列何種控制組可用來監測分子檢驗試劑是否有核酸污染?(A) Reagent blank control (B) Positive control (C) Internal control (D) Sensitivity control
38 為了避免不同 STR 標記的 PCR產物重疊難以區分(例如:D7S820 與 CSF1PO),通常會進行一些處理。下列處理方式何者錯誤? (A)在引子 5’-端標記不同顏色的螢光分子,如:6FAM™, VIC™或 NED™ (B)在引子 5’-端加入移動修改物(mobility modifier),例如:非核苷酸銜接子(non-nucleotide linker)hexaethyleneoxide(HEO) (C) HEO 可造成約 5 個核苷酸的距離移動 (D) HEO 的插入位置在螢光分子與引子序列之間
39 利用牙釉質形成素(amelogenin)基因進行 PCR 性別鑑定的優點十分靈敏,即使低至下列多少量也可分辨? (A) 5 pg (B) 10 pg (C) 15 pg (D) 20 pg
40 下列何者為利用單核苷酸多型性(SNP)進行人體 DNA 分型(typing)所面臨的最大挑戰?(A)每 1000 個鹽基約有一個 SNP (B) PCR 產物小於 100 個鹽基對 (C)只有兩個等位基因(alleles) (D)可進行的多重 PCR 潛力高於 STRs
一、某地發生多人疑似被分屍案,鑑識人員於涉嫌人家中發現許多可疑血跡;另於附近河流中陸續發現許多屍塊(例如:手掌、組織、骨骼、頭顱等),偵查人員發現近日涉嫌人的 A 姓、B 姓及 C 姓友人相繼失蹤,若您是法醫人員應如何釐清案情、確認作案工具或凶器、鑑別被害人身分及人數?請詳述。 (25 分)
(一)常見生物標記(如 STR、SNP、Y-STR)的特性及其主要應用。 (10 分)
(二)在不同類型案件(如性侵、親子鑑定、災害鑑定)中,如何選擇適當的生物標記。(8 分)
(三)生物標記分析中可能遇到的技術挑戰及解決方法。(7 分)