所屬科目:專科學力鑑定◆專(一):工程數學
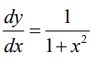
1. 下列何者為微分方程式 的通解? (A) y (x) =arctan(x)+C (B) y(x)=arcsin(x)+C (C)y(x)=tan(x)+C (D) y(x)=sin(x)+C
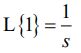
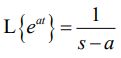
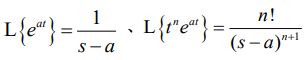
2. 已知拉氏轉換 (Laplace transform) ,則? (A)(B) (C) (D)
3. 關於奇函數、偶函數的敘述,下列何者正確? (A) x3+ sin x是偶函數 (B) x3 cos x 是偶函數 (C) x3+ 2 是奇函數 (D) |x| +1 是偶函數
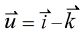
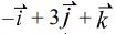
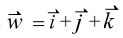
4. 已知向量 與,求 ? (A)(B) (C)(D)
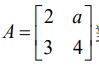
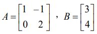
5. 已知矩陣 ,則 -B= ? (A) (B) (C)(D)
6. 若 為恰當( exact)微分方程式,則 m = ? (A) 1 (B) 2 (C) 3 (D) 4
7. 已知為微分方程式 y'' +2y'-3y =0的通解,且r1>r2,則r1-r2=? (A) 2 (B) 3 (C) 4 (D) 5
8. 利用「待定係數法」(method of undetermined coefficients )解非齊次微分方程式 y'' -3y' +2y =5x-7 ,可得其通解具有下列何者的形式? (A) (B) (C) (D)
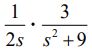
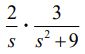
9. 已知拉氏轉換(Laplace transform) 、 ,且 2 sin3 * t 表示函數 2 與 sin3t 的旋積( convolution )。利用旋積定理,求 L{ 2*sin 3t} =?(A) (B) (C) (D)
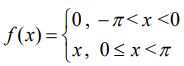
10. 下列函數 f (x) 都是週期為 2π的週期函數,式子中描述了它們在 (-π ,π ) 中的定義,則哪 一個函數 f (x) 的傅立葉級數的形式為 ?(A) f (x)=x2(B) f(x)=x3 (C) (D)
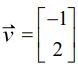
11. 若向量 與 互相垂直,則 m =? (A) 4 (B) 3 (C) 2 (D) 1
12. 已知向量同時垂直與兩向量,且的大小 為 3,則 |a+b+c|=? (A) 6 (B) 4 (C) 3 (D) 2
13. 已知向量與 。則純量三重積(scalar triple product) 之值為何? (A) –3 (B) –2 (C) 2 (D) 3
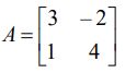
14. 已知矩陣 ,則 =? (A) (B)(C) (D)
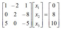
15. 已知一個具有三個未知數 x1 、x2 、x3 的線性方程組,寫成矩陣方程式可得 ,則 x1+ x2+x3 = ? (A) –2 (B) 0 (C) 1 (D) 2
16. 已知矩陣 ,則其反矩陣 =? (A) (B) (C) (D)
17. 下列何者為微分方程式 (3x2+y2)dx-(xy)dy=0的積分因子 (integrating factor)? (A) x (B)(C) (D) x3
18. 若函數 y (x) 滿足線性(linear)一階微分方程式,且 y(0) =1 ,則 y(1) =?(A) e (B) 1 (C) e +1 (D) 2e
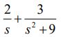
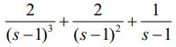
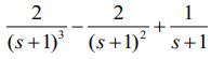
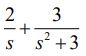
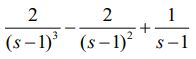
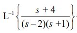
19. 已知拉氏轉換( Laplace transform ) ,利用部分分式法可得反拉式轉換=? (A) (B) (C) (D)
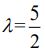
20. 已知向量 是矩陣 對應於特徵值 的特徵向量,則 a= ? (A) -2 (B) (C) 1 (D)