所屬科目:教甄◆數學
41. 若兩位數 AB 與兩位數 BA 的和為完全平方數,則這樣的兩位數 AB 共有多少個? (A) 4 (B) 6 (C) 8 (D) 10
42. 從一副正常的52張撲克牌(不含鬼牌)中,至少抽出m 張,就可保證這m 張中一定有 一張3,還有一張8。求m 之值為何? (A) 45 (B) 46 (C) 48 (D) 49
43. 若一元二次方程式x2+Px+19=0 的兩個解恰好比x2-Ax+B=0的兩個解分別大 1,其中 A、 B 、 P 都是整數,則 A+ B 之值為何? (A) 18 (B) 19 (C) 20 (D) 21
44. 將圓曲線(x-1)2+(y+1)2=25水平左移兩個單位,再垂直上移三個單位,則位移後的圖形方程式為? (A)(x+1)2+(y-2)2=25(B)(x-1)2+(y+2)2=25(C)(x-3)2+(y+4)2=25(D)(x-2)2+(y-1)2=25
45. 兩集合 , ,求 A∩B 的面積? (A) (B) (C) (D)
46. 對於n ≥1,定義 Kn 為僅包含有n 個1的n 位數,例如 k1 =1, k2 =11, k3 =111。請 問下列何數可被7整除? (A)(B)(C)(D)
47. 有一數列1,8,9,7,6,3,…第三項以後都是前兩項和的個位數。若前 n 項和 >1000,求n 的最小值? (A) 198 (B) 199 (C) 200 (D) 201
48. 求函數遞增的區間為何?f(x) =3x4-16x3+6x2+72x+100 (A)1 <x <2 或 x > 3 (B) 2 <x <3 或 x < −1 (C) −1<x < 2 或 x > 3 (D) −3 ≤ x<− 2 x 或 x > −1
49. 關於方程式2x3-12x2+30x+3=0,以下敘述何者正確? (A)沒有實根 (B)只有一個實根 (C)在3和5之間有實根 (D)有三個實根
50. 以下函數何者為偶函數? (A) (B) (C)(D)
51. 下列哪一個函數的定義域與函數的定義域相異? (A)(B)(C) (D)
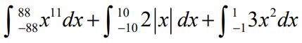
52. 求定積分 (A) 101 (B) 202 (C) 204 (D) 10201
53. 以下敘述何者正確? (A) A、 B 為兩矩陣,則 AB BA = (B) A、 B 為兩矩陣,若 AB = 0則 A = 0 或 B = 0 (C)一個3 3 × 階的矩陣,若行列式≠ 0,則其反矩陣存在 (D)一個3 3 × 階的矩陣,若行列式= 0,則此反矩陣為零矩陣
54. 正整數 K =12345678910111213…9899100(即是1~100按順序排),則 K 除以9的餘 數為下列何數? (A) 0 (B) 1 (C) 3 (D) 6
55. 請求出方程式√x +√y + = √336 的整數解共有多少組? (A) 0 (B) 3 (C) 4 (D) 5
56. 二元一次方程式18 5 48 x y + = 有幾組正整數解? (A) 0 (B) 1 (C) 2 (D) 3
57. 的常數項係數為何? (A) 220 (B) 792 (C) 495 (D) 120
58. 二次函數 y = ax2+bx+c的頂點為(4, −11 ) ,且與 x 軸的兩個交點的橫坐標為一正一 負,則a 、b 、c 三數中為正數的是? (A)只有a (B)只有b (C)只有c (D)只有a 、b
59. 如圖,ΔABC 中,ΔADG、ΔBDE、ΔCFG 面積分別為4、3、2,求正方形 DEFG 面積為何?
(A) 4 √5 (B)5√ 2 (C)5 √3 (D)
60. 如圖,ΔABC 中, 。若 ,且ΔAPQ 周長 = 梯形 PBCQ 周長,求長度為何?
(A) 7 (B)(C)(D)
61. 如圖,圓內接六邊形 ABCDEF 中,、 邊長依序為1、3、5、7、9,且三對角線共 點。求長度為何?
(A)(B) (C)(D) 2.2
62. 投擲一公正骰子3次。若前兩次和等於第三次,則三次點數中至少有一次為2的機率為何? (A) (B)(C)(D)
63. 若 x 的方程式恰有三個整數解,則a 的值可能是下列何數? (A) 0 (B) 1 (C) 2 (D) 3
64. 方程式 x+y+z=18 ,若 x ≥1, y ≥1, z ≥ 2,則有多少組整數解? (A) 120 (B) 231 (C) 271 (D) 150
65. 有兩袋球,ㄧ袋裝有4顆白球及2顆黑球,另一袋裝有3顆白球及5顆黑球。從兩袋中 各取出一顆球,結果為一白一黑的機率是多少? (A)(B)(C)(D)
66. 如圖, ABCD 為一正方形內接一個正三角形 ΔPQC 。 若ΔPQC 的邊長為1,則正方形 ABCD的面積為何?
(A)(B) √3-1 (C)(D)
67. 有7個人圍坐一個圓桌,若其中有兩人不相鄰而坐,則有幾種不同入座的方式? (A) 720 (B) 240 (C) 480 (D) 420
68. 雙曲線2-3+2=1於點( 3,1) 的切線方程式為何? (A)(B)(C) (D)
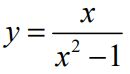
69. 曲線 ,以下敘述 何者為否 ? (A)有一條水平漸近線 (B)有兩條垂直漸近線 (C)曲線對稱於原點 (D)曲線對稱於 y 軸
70. 如圖,通過ΔABC 的內心,且將ΔABC 面積兩等分。若,則 = ?
(A) 22 (B) 22 √2 (C) 32 (D) 33
71. 極限為何? (A)(B) (C) 1 (D)
72. 15+25+35+...+1005 除以4餘數為何? (A) 0 (B) 1 (C) 2 (D) 3
73. 如圖,ΔABC 與ΔPQR 均為正三角形,圓O為ΔABC 的內切圓,也是ΔPQR 的外接 圓。求ΔPQR :圓O ∶ΔABC 的面積比為何?
(A)(B) (C) (D)
74. 空間中兩直線 與 ,則 L1與 L2 兩直線的交點 為何? (A) L1與 L2 為歪斜線,故無交點 (B)(1,-2,0 ) (C)( 1,-1,1) (D)(3,-3,3 )
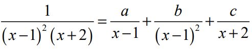
75. 設a、b、c 為實數。若 ,對所有的實數 x ≠ 1, -2 均成立,則a+b+c 之值為何? (A)(B)(C)(D)
76. 設三次方程式 x3+ax2+bbx+c=0的三根為α 、β 、γ ,則下列哪個方程式的三根為? (A)cx3+bx2+ax+1=0 (B)cx3-bx2+ax-1=0 (C)x3-ax2-bx-c=0 (D)x3-cx2-bx-a=0
77. 三角形的周長為30且三邊為互不相等的整數,這樣互不全等的三角形共有多少個? (A) 12 (B) 13 (C) 15 (D) 16
78. 如圖,矩形 ABCD,今將 B 摺到中點M ,再將摺至交於O,最後將 A摺到O。求矩形MQNP面積與矩形 ABCD面積的比值為何?
(A)(B)(C)(D)
79. 求方程式所有解的乘積為何? (A) -1920 (B) 1920 (C) -1984 (D) 1984
80. 如圖,梯形 ABCD 中, 垂直 。若四邊形 EFGH 為正方形,且 ,則之值為何?
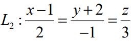
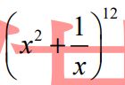
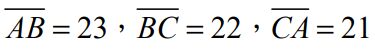
(A) (B) (C)(D)