所屬科目:藥理學與藥物化學
一、治療腫瘤性疾病的藥品,請寫出五個藥名並說明其藥理機轉。(25 分)
二、治療細菌感染的藥品,請寫出五個藥名並說明其藥理機轉。(25 分)
三、下列化合物結構上的改變,其藥品作用之變化為何?(25 分)
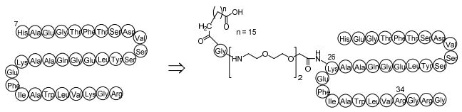
四、下列化合物結構上的改變,其藥品作用之變化為何?(25 分)