所屬科目:高普考/三四等/高員級◆海洋學概論
一、海水鹽度的定義為何?(6 分)現代海洋研究船現場測量海水鹽度是使用那種儀器?(3 分)此種儀器測量海水的那項物理性質,而後再換算為海水鹽度。(3 分)
二、那些有力證據可以證明海底擴張(Sea floor spreading)理論?(10 分)
三、「太平洋垃圾帶」是東太平洋上從美國加州到夏威夷州的一個巨型垃圾積聚範圍。請說明為何此範圍內部即使沒有垃圾覆蓋的海域,其基礎生產率也非常低?(14 分)
(一)暖心渦漩會產生在黑潮主軸的南邊、北邊或就在黑潮上?(3 分)
(二)暖心渦漩中心的海表面高度以及基礎生產率會比周邊海水高、低或一樣,請解釋原因?(10 分)
(三)請說明為何暖心渦漩可以維持很長時間,不與周圍海水相混合而消失。(6 分)
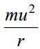
五、在海面上的浮球,其流動軌跡常呈現圓周運動,這就是海洋學中所稱的慣性流,在沒有其他外力存在的情況下,科氏力提供這圓周運動所須的向心力,亦即= mfu ,其中 m 為物體質量,u 為其運動之速度,r 是此圓周之半徑,f 為科氏力參數( f= 2Ω sinθ ,Ω 為地球自轉的角速度,θ 為所在地之緯度),試列式並計算出在 30°N 處慣性流之週期?(20 分)
六、通常海表面的風是引起沿岸湧升流的主要原因。下列 A、B、C 三個不同寬度的海灣,請分別繪圖標示並解釋那一種方向的風會引起沿岸湧升流。(15 分)