所屬科目:專科學力鑑定◆專(一):專題設計
1. 當鋼筋降伏強度fy= 4200kgf/cm2,則其降伏應變 εy約為:(A) 0.002 (B) 0.02 (C) 0.003 (D) 0.03
2. 下列哪一項與差異沉陷較無關係?(A) 基地地質條件的變化 (B) 基礎剛度差異(C) 上部構造荷重分配不均 (D) 混凝土坍度大小
3. 下列何種型式的基礎,最適用於上部結構載物重大且淺層土壤軟弱之情況?(A) 獨立基腳 (B) 聯合基腳 (C) 連續基腳 (D) 樁基礎
4. 基礎板底深度之設定,對於冰凍地區應符合下列何者?(A) 應位於地表以下1.0m (B) 應設置於凍結線以下(C) 應設置於凍結線以上 (D) 不受凍結影響,無需考量
5. 建築物基礎所承受之靜載重不包括下列哪一項?(A) 上部構造物之總重量 (B) 基礎本身之自重(C) 機器設備之重量 (D) 基礎上方回填材料之重量
6. 擋土牆主動土壓力之合力作用點,通常位於自基礎底算起,牆高H之何處?(A) 1 / 2H處 (B) 1 / 3H處 (C) 1 / 4H處 (D) 2 / 3H處
7. 混凝土梁跨長L,若該梁僅於中央承受集中載重 (包含靜載重與活載重),其剪力筋間距最密集處為: (A) 梁中央處 (B) 距支承L/ 3處 (C) 全跨均勻分佈 (D) 支承處
8. 對無側撐柱 ( 有側移性 ) 而言,柱的細長比 kL / r > 22 即視為細長柱。今有一橫箍筋柱之斷面尺寸為b× h,其中h >b,h向鋼筋的有效深度為d,其強軸之迴轉半徑r: (A) (B)(C)(D)
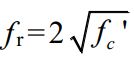
9. 混凝土的抗拉強度可用以計算開裂彎矩、判斷構件受撓時是否發生開裂,因此其抗拉強度值的取得仍有意義。常見測試混凝土拉力強度的試驗為抗彎試驗,其求得之拉力強度稱為破裂模數fr。規範中fr與常重混凝土抗壓強度fc '(kgf/cm2 ) 之關係式為: (A) fr=0.2fc' (B)(C)(D)
10. 鋼筋混凝土梁判斷為拉力破壞模式,其破壞最終階段為: (A) 拉力筋應力達 fy (B) 混凝土應力達 fc'(C) 拉力筋應變達0.005 (D) 混凝土應變達0.003
11. 基礎板底須設置於之深度不得少於多少,才能使其基礎地層不致因溫度、草木生長而產生體積變化,或受地表逕流沖刷之影響? (A) 50 cm (B) 60 cm (C) 80 cm (D) 100 cm
12. 根據建築物基礎構造設計規範,設計時需同步考量施工階段載重與鄰房影響,此屬於下列哪一項? (A) 可忽略之臨時載重 (B) 與基礎設計無關 (C) 供監造參考 (D) 施工與環境載重之要求
13. 聯合基腳之平面形狀依載重與柱距常採下列哪些型式:(A) 正方形或圓形 (B) 長方形或梯形 (C) 橢圓形或圓弧形 (D) 三角形或正方形
14. 砂性土在建築物加載後,沉陷量主要來自下列哪一項?(A) 壓密沉陷 (B) 次壓縮沉陷 (C) 瞬時沉陷 (D) 潛移
15. 主動土壓力之成立條件,下列敘述何者正確?(A) 牆體完全不位移即可達主動狀態(B) 牆體須向外位移一定量方能達主動狀態(C) 牆體向內位移越大、主動土壓力越小(D) 牆體固定於剛支撐亦為主動狀態
16. 擋土牆穩定分析檢核之安全係數,於地震時之狀況,下列敘述何者正確?(A) 較長期狀態為小 (B) 較長期狀態為大 (C) 相同 (D) 無一致原則
17. 為降低牆基偏心與底壓不均,較恰當的作法為何?(A) 增厚基礎(B) 調整基礎寬度與牆置中,使合力接近中心(C) 改為樁基礎(D) 忽略偏心影響
18. 關於地層沉陷之敘述,下列何者正確?(A) 沉陷分析僅需考慮瞬時沉陷(B) 沉陷量不影響建築使用機能(C) 只與建築載重有關,與地下水位變化無關(D) 除建築載重外,地下水位變化與環境改變亦可能導致沉陷
19. 以平板載重試驗推估地盤反力係數( kv )時,下列何者較合理?(A) 等值 (B) 應考量尺寸效應 (C) 只看降伏點 (D) 與沉陷無關
20. 一橫箍筋鋼筋混凝土梁,鋼筋降伏強度fy= 4200kgf/cm2,設破壞時鋼筋應變為0.0035,其抗彎強度的折減係數 φ 為:(A) 0.665 (B) 0.725 (C) 0.775 (D) 0.825
21. 關於地下水對基礎底板作用上浮力之敘述,下列何者正確?(A) 僅需考慮施工期間短暫水位變化(B) 僅需考慮常年平均地下水位(C) 應考慮季節性變化與其他環境因素所造成之最不利情況(D) 地下水位影響可忽略不計
22. 擋土牆外部穩定檢核應包含下列哪些項目?①滑動、②傾覆、③基礎容許支承力、④位移、⑤被動土壓力(A) ①②④ (B) ①③⑤ (C) ①②③ (D) ③④⑤
23. 鋼筋降伏強度 fy =4200kgf/cm2 ,極限強度fu=5500kgf/cm2,彈性模數Es=2.04×106 kgf/cm2, RC 設計時假設鋼筋之應力 ─應變呈現完全彈塑性,鋼筋應變等於 0.0025 時鋼筋之應力 ( kgf/ cm2 )為:(A) 4200 (B) 4850 (C) 5100 (D) 5500
24. 一連續梁柱RC結構,若需於連續梁上穿孔或鑽心,則下列位置何者最為適當:(A) 梁柱接頭處並取中性軸下緣 (B) 梁柱接頭處並取中性軸上緣(C) 梁中央1 / 3範圍內並取中性軸下緣 (D) 梁中央1 / 3範圍內並取中性軸上緣
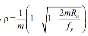
25. 已知 RC 柱中混凝土受力 Cc、壓力筋受力 Cs、拉力筋受力 Ts、柱承受之極限軸力 Pn、 偏心距e、塑性中心dp (距壓力側外緣)、中性軸深度x、壓力筋深度d '、拉力筋深度d, 其斷面之計算力矩Mn計算式為: (A) Mn=Cc ( d– x / 2)+Cs( d –d ') (B) Mn=Pn e –Cc (d –β1 x / 2 )+Cs( d– d') (C) Mn=Pne –Cc (dp – x /2 )+Cs( dp – d ')+Ts(d –dp ) (D) Mn=Cc ( dp –β1 x / 2)+Cs(dp – d')+Ts(d –dp )
26. 一單筋 T 形梁之有效翼寬 be = 180 cm,翼板厚度 hf = 12 cm、腹板寬度 bw = 40 cm、腹板 深度(不含翼板厚度) hw =50 cm,若破壞時混凝土斷面均佈應力承壓面積Ac =2700 cm2, 求破壞時之中立軸深度x (設 β1=0.85)為: (A) 15.0 cm (B) 17.6 cm (C) 25.5 cm (D) 30.0 cm
27. 單筋矩形梁斷面尺寸: b = 24 cm、h = 54 cm、d = 48 cm,混凝土fc '=350kgf/cm2 、 鋼筋f y = 4200kgf/cm2,若依規範求得為避免突發性破壞所需的最少撓曲鋼筋量As,min(cm2 ) 為: (A) 3.84 (B) 4.11 (C) 4.32 (D) 4.63
28. RC梁採用鋼筋降伏強度fy = 4200kgf/cm2 ,則依規範設計單筋梁所能承受最大彎矩所對應之鋼筋量係指: (A) 鋼筋應變達0.008所對應之鋼筋量 (B) 鋼筋恰好降伏所對應之鋼筋量 (C) 鋼筋比上限0.08 (D) 鋼筋應變達0.005所對應之鋼筋量
29. 雙筋矩形梁斷面尺寸: b = 40 cm、d = 64 cm、d ' = 8 cm,材料性質: f c '= 280kgf/cm2、fy = 4200kgf/cm2 ,若已知破壞時中立軸深度c=24 cm,則對應拉力筋之應變為:(A) 0.002 (B) 0.003 (C) 0.0035 (D) 0.005
30. 梁達到極限狀態發生破壞時,混凝土壓應力是呈曲線形的分佈。為了分析及設計方便,可以假設受壓區混凝土之壓應力分佈為矩形,依據規範壓應力區塊分佈深度a=β1x, 當f c'= 350kgf/cm2時, β1 為:(A) 0.75 (B) 0.80 (C) 0.85 (D) 0.90
31. 「黏土壓密沉陷計算時,需先判別土壤為正常壓密、過壓密或壓密中土壤,估計其壓縮指數,再依相對應公式計算」,上述說明符合下列哪一項? (A) 上述說明正確 (B) 上述說明錯誤 (C) 上述說明僅適用砂土 (D) 上述說明僅適用無機黏土
32. 結構物之抗浮能力最可靠之來源為:(A) 連續壁與土之摩擦力 (B) 結構體(含連續壁、基樁)之靜載重(C) 抗拔地錨之容許拉力 (D) 抽水降壓減少水壓
33. RC柱鋼筋之配置:右側鋼筋深度d '(距離右側外緣)、左側鋼筋深度d (距離右側外緣),於純軸力作用下,柱中混凝土受力 Cc、右側鋼筋受力 Cs'、左側鋼筋受力 Cs,其柱斷面 塑性中心(P.C.)距右側邊緣距離dp的計算式為: (A) dp=[Cc ( h/2 )+Cs'·d '–Cs·d]/(Cc+Cs'–Cs) (B) dp=[Cc ( d/ 2)+Cs'·d '–Cs·d]/(Cc+Cs'–Cs) (C) dp=[Cc ( d/ 2)+Cs'·d '+Cs·d ]/(Cc+Cs'+Cs) (D) dp=[Cc ( h/2 )+Cs'·d '+Cs·d ]/(Cc+Cs'+Cs)
34. 鋼筋混凝土單向板厚度 h = 20 cm、有效深度 d = 17 cm,混凝土強度f c '=280kgf/cm 2 , 配置 D 13 鋼筋 ( A b = 1.27 cm 2 ) 、鋼筋強度fy=22800kgf/cm2 ,則該板長向於單位長度 ( b = 1m)需求之鋼筋量cm2 為: (A) 3.1 (B) 3.6 (C) 31 (D) 36
35. 估算「形狀不規則且荷重分布不均」之載重區域,在某深度的垂直應力增量,較適切的作法為何? (A) 利用布辛奈斯克(Boussinesq )點載重解做有限點疊加 (B) 利用紐馬克(Newmark )應力影響圖法 (C) 採2:1擴散法 (D) 採30 °擴散法
36. 淺基礎沉陷的「瞬時沉陷」,其來源最可能源於下列哪一項?(A) 排水壓密 (B) 彈性變形 (C) 潛移 (D) 次壓縮
37. 下列哪一項是建築物基礎構造設計規範中特別提醒,長期環境因素引致差異沉陷的項目?(A) 施工時模板荷重 (B) 地下水長期下降 (C) 風載 (D) 混凝土收縮
38. 基礎載重為均佈載重時,建築物基礎構造設計規範允許之近似法不包含下列何者?(A) 由板底外放2V:1H計算擴大面積(B) 由板底外放30 °(自垂直量起)計算擴大面積(C) 以Newmark之應力影響圖法求出(D) 以彈塑解估算
39. 雙筋矩形梁斷面尺寸: b = 40 cm、d = 64 cm、d ' = 8 cm,材料性質: f c ' =280kgf/cm2、 f y = 4200kgf/cm2 ,若破壞時壓力筋應變恰好為0.0015,其破壞時中立軸深度( cm)為: (A) 16 (B) 24 (C) 32 (D) 38.4
40. 依據建築物基礎構造設計規範建議之角變量與建築物損壞程度,建築物不容許裂縫產生的安全限度為何? (A) 1 / 600 (B) 1 / 500 (C) 1 / 400 (D) 1 / 300
41. 庫倫(Coulomb)被動土壓力與真實被動土壓力之關係,下列何者正確?(A) 庫倫(Coulomb )常高估被動土壓力 (B) 庫倫(Coulomb )常低估被動土壓力(C) 無法比較 (D) 兩者完全相同
42. 欲求取單筋梁鋼筋比之理論解為 ,若矩形梁 b = 40 cm、d = 60 cm, 材料性質:fc ' 280kgf/cm2 、f y= 4200kgf/cm2 ,承載極限彎矩Mu = 72 tf-m,強度折減 係數 φ = 0.9,計算方程式中之力矩參數Rn ( kgf/ cm2 )為: (A) 3333 (B) 2222 (C) 55.6 (D) 50.0
43. 擋土牆傾覆檢核時,下列何者通常不計入抵抗?(A) 牆前被動土壓力 (B) 牆底摩擦力 (C) 基礎趾後土重 (D) 牆身自重
44. 梁破壞時的中立軸深度( cm)為:(A) 12.0 (B) 16.0 (C) 18.0 (D) 28.8
45. 其對應的鋼筋量As( cm2 )約為:(A) 13.1 (B) 13.9 (C) 20.8 (D) 33.3
46. 其對應的設計彎矩Md (tf-m)為: (A) 20.00 (B) 21.24 (C) 24.00 (D) 24.99
47. 求破壞時之中立軸深度x ( cm)約為:(A) 21.2 (B) 26.6 (C) 31.3 (D) 37.9
48. 求破壞時之計算彎矩強度Mn (設 β1=0.85 )約為:(A) 138.07 tf-m (B) 142.51 tf-m (C) 167.32 tf-m (D) 176.29 tf-m
49. 求斷面混凝土能提供之計算剪力強度Vc (tf)為:(A) 15.9 (B) 19.1 (C) 31.8 (D) 60.0
50. 求剪力筋可提供之計算剪力強度Vs(tf)為:(A) 8.9 (B) 10.7 (C) 17.8 (D) 21.3