所屬科目:教甄◆數學
1. △ABC中,已知 tan A = ,D為上一點,=3√2,∠BAD=45°,則△ABC 面積的最小值為_______。
2. △OAB 中,已知 = √7, = √13, = √10,C為 中點,D為 中點。過D點作直線 OA 的垂線分別與 交於P、Q兩點。設,其中m,n為實數,則數對(m,n)=_______。
3. 在邊長為1的正四面體 ABCD中,若點E在上且 ,則直線AE與直線CD的距離為_______。
4. 已知橢圓(a>b>0)和函數圖形y= 在第一象限有唯一一個交點P。令橢圓C的兩焦點為F、F₂,且S為∆PFF2的面積,則 =_______。
5. 投擲5個公正骰子,則其中存在2個骰子的點數和為10的機率為_______。(已知65=7776,55=3125)
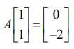
6. 已知A為二階方陣,滿足(A+I)² = O且,其中1為二階單位矩陣,0為二階零矩陣,則 =_______。
7. 設,其中θ為實數,θ∈ [0,2π]。令f(0)的最大值為M,最小值為m,則數對(M,m)=_______。
8. 設b,c皆為整數且c小於10。已知有兩個實數x滿足方程式+c=0,而這兩個實數其中一個是正實數,另一個是大於-1的負實數,則滿足題目條件的數對(b,c)有_______組解。
9. 已知x = x₁ + x₂i, y = y₁ + y₂i, z = z₁ + z₂i,其中x1,x2, y1, y2, z1, z2 為實數。若|x|=|y|=|z|, x+y+z= - - √5/2 i, xyz = √3+√5i,則x₁x2 + y₁y2 + z1z2 =_______。
10. 已知n是不小於4的正整數。投擲一個公正的骰子n次,每次投擲的結果互不影響。設為第i次出現的點數,i=1,2,…,n, = |1-a₁|+|a₁-a2|+...+ +|a4- 4|,的所有可能值中的最小值,則的機率=_______。(以n表示)
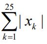
11. 設實數x1,x2,…,滿足 = 0 與 = 1,則的最大值為_______。
12. 設x,y為實數,已知所有滿足= |3x+4y|的點(x,y)所形成的圖形是橢圓,則此橢圓的正焦弦長為_______。
(1) 證明: 對所有的正整數n都成立。
(2) 證明: 對所有的正整數n都成立。
(3) 證明: 對所有的正整數n都成立。
(4) 判斷無窮數列 為收斂或發散數列;若為收斂數列,求其極限值。
(1) 求證:A⊂B。
(2) 若 f(x) = ax² +1,其中a∈ R, x∈R,且A和B為二個相等之非空集合,求實數a值的範圍。