所屬科目:技檢◆工業用管配管-甲級
1. 下列何者是酸雨對環境的影響? (A)增加森林生長速度 (B)土壤肥沃 (C)增加水生動物種類 (D)湖泊水質酸化。
2. 下列何者不是工廠管路製程所需要的圖? (A)機械流程圖 (B)管路立體圖 (C)製程流程圖 (D)管路透視圖。
3. 下列何者在安裝時,不須注意它的方向性? (A)球型閥(Globe valve) (B)止回閥 (C)安全閥 (D)閘閥。
4. 飲用水配管不可以使用下列何種管材? (A)黑鐵管 (B)塑膠管 (C)不銹鋼管 (D)鑄鐵管。
5. 鋼桁架的節點或柱與樑的接頭,通常加入一個所謂接合板的鋼板,接合板內各桿件之螺栓中心線應 (A)成一正三角形 (B)成一圓周 (C)集中於一點 (D)互相平行。
6. 就能源管理系統而言,下列何者不是能源效率的表示方式? (A)冰水主機-千瓦/冷凍噸(kW/RT)(B)照明系統-瓦特/平方公尺(W/m2 ) (C)冰水主機-千瓦 (kW) (D)汽車-公里/公升。
7. 勞工不遵守安全衛生工作守則規定,屬於下列何者? (A)不安全環境 (B)不安全行為 (C)管理缺陷 (D)不安全設備。
8. 運轉中之管路系統在某支撐點須有位移時,應裝設何種支撐物? (A)剛性支架 (B)彈簧支架 (C)限制器 (D)減振器。
9. 複雜的管路或在管路平面圖上被隱藏而無法清楚表示者,可以用什麼圖表示? (A)輔助視圖 (B)剖視圖 (C)透視圖 (D)大樣圖。
10. 銲道檢查瑕疵,其主要目的為檢查 (A)材質之溫度 (B)銲接之缺陷 (C)材質變形量 (D)材質之壓力。
11. 乾燥噴砂所需矽砂,一般採用 40 至 80 號篩孔之矽砂,但最大顆粒不得超過多少號篩孔? (A)16(B)10 (C)20 (D)18。
12. 下列何種材料,不適用熱水管路? (A)PVC 管 (B)不銹鋼管 (C)銅管 (D)鉛管。
13. 銲道根部開口間隙不足,會造成何種瑕疵? (A)銲蝕 (B)包渣 (C)銲淚 (D)滲透不良。
14. 管件施銲後,母材與銲道周圍,因受熱收縮而未消失之力稱為 (A)殘留應力 (B)拉應力 (C)壓縮應力(D)剪應力。
15. 下列所示為三支管子之長度,哪一組管子可以組合成一直角三角形? (A)4、5、6 (B)5、6、7(C)2、3、4 (D)3、4、5。
16. 檢驗單位檢驗保溫材料品質,不包括之項目為 (A)熱傳導率 (B)密度 (C)導電率 (D)抗折強度。
17. 下列何者不會減少溫室氣體的排放? (A)大量植樹造林,禁止亂砍亂伐 (B)減少使用煤、石油等化石燃料 (C)增高燃煤氣體排放的煙囪 (D)開發太陽能、水能等新能源。
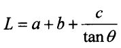
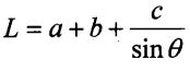
18. 下圖為 AB 雙彎曲管段,於下列長度求算公式中,何者為錯誤? (A)(B)(C)(D)。
19. 高效率燈具如果要降低眩光的不舒服,下列何者與降低刺眼眩光影響無關? (A)光源下方加裝擴散板或擴散膜 (B)燈具的遮光板 (C)光源的色溫 (D)採用間接照明。
20. 20 公厘之鋼管外徑 27.2 公厘,其有效螺牙長度為多少公厘? (A)22 (B)15 (C)17 (D)19。
21. 鋼管銲接後銲口施以適當後熱,可使銲道 (A)內應力減少 (B)延性減少 (C)硬度增加 (D)韌性減少。
22. 水壓試驗不只是測試銲道是否洩漏,而且還在測試銲接後母材的 (A)強度 (B)可用性 (C)硬度 (D)撓性。
23. 鍍鋅鋼管銲口加工時,管端內外應自倒角處起多少範圍內完全除鋅? (A)10mm (B)管半徑深度(C)2mm (D)5cm。
24. 受僱人於職務上所完成之著作,如果沒有特別以契約約定,其著作人為下列何者? (A)由雇用人指定之自然人或法人 (B)雇用公司或機關法人代表 (C)雇用人 (D)受僱人。
25. 按照現行法律規定,侵害他人營業秘密,其法律責任為 (A)刑事責任與民事損害賠償責任皆不須負擔 (B)僅需負刑事責任 (C)刑事責任與民事損害賠償責任皆須負擔 (D)僅需負民事損害賠償責任。
26. 下列產業中耗能佔比最大的產業為? (A)農林漁牧業 (B)服務業 (C)公用事業 (D)能源密集產業。
27. 下列何者可以用鋼絲索直接捆綁管材而吊運? (A)PVC 管 (B)被覆鋼管 (C)PE 管 (D)鋼管。
28. 在 3"鋼管管路上裝設一 10K 凸緣式閘閥,若欲使其閥軸傾斜 45 度,則管凸緣之配置方位為 (A)(B)(C)(D) 。
29. 下列何者不屬於場地勘查之項目? (A)特殊風俗 (B)人員編組 (C)施工進出道路 (D)地下各種管路設施狀況。
30. 鋼管 4.5mm 厚度,電銲對接組合時,接頭處應 (A)不留間隙 (B)需開 X 型槽 (C)需開 V 型槽 (D)祇留間隙。
31. 管口電銲時電弧的正確長度為 (A)距母材愈長愈好 (B)銲條直徑的三倍 (C)銲條直徑的二倍 (D)與銲條芯線直徑相同。
32. 在蒸汽管路系統中,藉以排除管內水之裝置為 (A)減壓閥 (B)安全閥 (C)浮球閥 (D)蒸汽溜水器 (Steamtrap)。
33. 作業場所高頻率噪音較易導致下列何種症狀? (A)腕道症候群 (B)聽力損失 (C)肺部疾病 (D)失眠。
34. 下列何者不是防止搬運事故的一般原則? (A)周密計畫 (B)安全通道 (C)全新機具 (D)個人防護。
35. 滲透液檢查法,主要是檢查銲道 (A)內部缺陷 (B)熔合情形 (C)表面缺陷 (D)殘留應力。
36. 配管支撐具有螺紋部分,若遭銲濺物損壞應 (A)整座配管支撐重新製裝 (B)將銲濺物除去,將螺紋整修變細 (C)去除銲濺物後用砂輪整修並塗漆 (D)更換螺紋部分元件。
37. 下列何者非屬職業安全衛生法規定之勞工法定義務? (A)遵守安全衛生工作守則 (B)參加安全衛生教育訓練 (C)實施自動檢查 (D)定期接受健康檢查。
38. 左圖所示流程圖符號為 (A)球閥 (B)閘閥 (C)球塞閥 (D)旋塞閥。
39. 依照 SIS 規定,銹蝕最嚴重的表面為 (A)A 級 (B)D 級 (C)B 級 (D)C 級。
40. 蒸汽安全閥之安裝,其噴出口面應在 (A)人員通道處 (B)高空易擴散處 (C)任何處皆可 (D)密閉空間。
41. 小江是職場上的新鮮人,剛進公司不久,他應該具備怎樣的態度? (A)努力做好自己職掌的業務,樂於工作,與同事之間有良好的互動,相互協助 (B)上班、下班,管好自己便可 (C)仔細觀察公司生態,加入某些小團體,以做為後盾 (D)只要做好人脈關係,這樣以後就好辦事。
42. 下列非破壞檢驗,何者無法應用在不銹鋼管? (A)R.T (B)U.T (C)P.T (D)M.T。
43. 下列何者為環保標章? (A)(B)(C)(D) 。
44. 勞工於室外高氣溫作業環境工作,可能對身體產生之熱危害,下列何者非屬熱危害之症狀? (A)熱衰竭 (B)熱痙攣 (C)中暑 (D)痛風。
45. 使用蒸氣之管路,為防止管內生銹則應 (A)塗防銹油 (B)酸洗 (C)鍍鋅 (D)油漆。
46. 管路經剖切後所得之管路剖視圖,均應轉成_______位置畫出。 (A)頃斜 (B)等角 (C)水平 (D)直立
47. 有關小黑蚊的敘述,下列何者為非? (A)多存在竹林、灌木叢、雜草叢、果園等邊緣地帶等處 (B)無論雄性或雌性皆會吸食哺乳類動物血液 (C)活動時間以中午十二點到下午三點為活動高峰期 (D)小黑蚊的幼蟲以腐植質、青苔和藻類為食。
48. 下圖所示以一切平面切一圓錐,軸與切平面之夾角 B 大於軸與素線之夾角 A,則其截面形狀為
(A)等腰三角形 (B)雙曲線 (C)拋物線 (D)橢圓。
49. 一鋼管內徑為 100mm,每分鐘流過的水量為 1414 公升。若不計摩擦則管內水之流速為 (A)0.3 公尺/秒 (B)30 公尺/秒 (C)3 公尺/秒 (D)300 公尺/秒。
50. 下列敘述何者錯誤? (A)在網路或 Line 社群網站收到假訊息,可以敘明案情並附加截圖檔,向法務部調查局檢舉 (B)自己或他人捏造、扭曲、竄改或虛構的訊息,只要一小部分能證明是真的,就不會構成假訊息 (C)對新聞媒體報導有意見,向國家通訊傳播委員會申訴 (D)憲法保障言論自由, 但散布假新聞、假消息仍須面對法律責任。
51. 射吸式切割器,火嘴號碼代表意義是 (A)每分鐘乙炔氣流量(公升) (B)每小時乙炔氣流量(公升)(C)每小時氧氣流量(公升) (D)切割厚度。
52. 配管支撐使用結構鋼中之溝型鋼又稱槽鐵,常以下列何者表示之? (A)H (B)C (C)PL (D)I。
53. 小明拿到「垃圾強制分類」的宣導海報,標語寫著「分 3 類,好 OK」,標語中的分 3 類是指家戶日常生活中產生的垃圾可以區分哪三類? (A)資源垃圾、一般廢棄物、事業廢棄物 (B)一般廢棄物、事業廢棄物、放射性廢棄物 (C)資源垃圾、廚餘、一般垃圾 (D)資源垃圾、廚餘、事業廢棄物。
54. 一般壓縮空氣管系之沖洗方式是用 (A)液體沖洗 (B)氣體沖洗 (C)液體沖洗及化學藥物混合沖洗 (D)化學藥物沖洗。
55. 左圖所示為 (A)儀器空氣管路 (B)熱追蹤管路 (C)主要管路 (D)絕熱層管路。
56. 下列何種接頭不是鑄鐵管的接合方式? (A)凸緣接頭 (B)螺紋接頭 (C)機械接頭 (D)臼口接頭。
57. 下列何者不能做為保溫層的外裝材料? (A)鋁皮 (B)錫箔 (C)鍍鋅鐵皮 (D)石棉布。
58. 氧乙炔切割器使用氧氣純度應至少在多少以上? (A)85% (B)90% (C)80% (D)95%。
59. 止洩材料之選用與下列何者無關? (A)操作的溫度 (B)流體的性質 (C)墊料之型式 (D)管之重量。
60. 左圖中,接合處之小點係表示 (A)壓縮接合 (B)銲接接合 (C)螺紋接合 (D)由令接合。
61. 關於控制閥組之敘述,下列何者正確? (A)通常流孔凸緣(Orifice Runs)應設置於管路水平配置位置 (B)控制閥組盡量應裝設於地面或操作平台上 (C)測溫儀器(Temperature Instrument)應設置於人員不能到達之位置,以免遭到非相關人員隨意操控產生危險 (D)控制液位之控制閥組應裝設於能看到液位控制器的位置。
62. 適用於切割一般鑄鐵管材料的工具是 (A)氧乙炔切割 (B)鋼鋸 (C)環狀切管切割 (D)菱形鏨切。
63. 同時埋設於土壤及混凝土的鋼管,哪一段較先腐蝕? (A)潮溼的管段 (B)土壤內 (C)混凝土 (D)同時腐蝕。
64. 關於管之加工,下列敘述何者正確? (A)合金鋼材料經熱彎後必須於熱處理爐內施行應力消除處理(B)管牙製作必須於該管線其他的加工程序完成後實施 (C)碳鋼管熱彎溫度比合金鋼管高 (D)鍍鋅鋼管對銲後應除去接頭部份之鋅層,並應注意銲接時之排氣情形。
65. 如左圖示,下列立體圖何者正確? (A)(B)(C)(D)。
66. 如左圖所示,下列立體圖何者正確? (A)(B)(C)(D) 。
67. 下列何者是管路防護之範圍? (A)塗裝鋼管 (B)陰極防蝕 (C)鋼管鍍鋅 (D)陽極防蝕。
68. 安全閥安裝位置應於 (A)密閉空間 (B)人員通道處 (C)人員稀少走動處 (D)最高處。
69. 關於保溫敘述,下列何者正確? (A)當保溫筒與保溫筒於圓周方向有細縫時,可填以玻璃棉條 (B)地下配管為防止腐蝕,最好施作保溫作業 (C)成型保溫管保溫效果最好 (D)保冷、防露皆屬於保溫作業。
70. 工程準備中如何保持良好的工作環境,下列敘述何者正確? (A)施工前後檢視各工具的性能 (B)施工後,將工作場所復原 (C)施工中可讓材料隨意散落 (D)施工前,將工作場所的材料堆放整齊。
71. 管線貫穿部應考慮建築物之防震,儘量使用何種接頭? (A)固定接頭 (B)有伸縮性接頭 (C)防滑接頭(D)可撓性接頭。
72. 鋼管機器鉸牙作業時,下列施工方式正確者為 (A)1"-2"管牙、同一模組 (B)1/2"-3/4"管牙、同一模組 (C)公制管牙與美制管牙、同一模組 (D)2 1/2" -4"管牙、同一模組。
73. 管線在管架上之排列,下列何者正確? (A)雙層管架時公用設施管線應在上層 (B)盡量將閥裝置於垂直管線上 (C)管架上管線間需有適當之間隔 (D)大口徑管在管架內側。
74. 關於管路現場組裝時之敘述,下列何者不正確? (A)管線清洗後才可以實施壓力試驗 (B)管線支撐一般在管件銲接後實施,以防止銲接變形 (C)施作管線支撐後必須施以油漆塗裝後再做壓力試驗(D)預製之管件應先施以管內清潔。
75. 如左圖示,下列何者錯誤? (A)(B)(C) (D) 。
76. 在管路系統中,流孔凸緣是作何種用途? (A)封閉流體 (B)控制流體流量 (C)防止密合墊腐蝕 (D)測量流量。
77. 使用剪刀式切管器其優點 (A)可切割塑膠管類 (B)切割管面垂直 (C)切割速度慢 (D)切割速度快。
78. 於管線上安裝凸緣接頭(Flange),其缺點為 (A)易洩漏 (B)易拆 (C)改變流向 (D)不易拆。
79. 如左圖示,下列何者正確? (A)(B)(C)(D) 。
80. 下列有關銅管的銀銲何者正確? (A)其銲接設備除可使用傳統的氣銲設備(銲炬搭配氧、乙炔氣)外,也可使用乙炔燒銲槍(搭配乙炔氣) (B)其銲接溫度與軟鋼的銲接一樣 (C)須待銅管融化時再加入銀銲條 (D)含銀 2%、5%的銀銲條最常用於銲接銅管。