所屬科目:教甄◆化學專業/化工科
1. 某密閉容器內之氧氣在經火花放電後,其中 12%體積之氧氣轉變為臭氧,則在同溫同壓下,此容器火花放電前、後之密度比值為何? (A) 0.96 (B) 1.04 (C) 0.98 (D) 1.02 (E) 1.43
2. 在 1000°C 時 A(g) 和 B(g) 的反應式為:2A(g)+B(g) → 2C(g)+3D(g),在 1 升的容器中,置入分壓 400 mmHg 的 A(g)、500 mmHg 的 B(g)和 600 mmHg 的 C(g)三種氣體,經 10 秒後容器內的總壓力變成 1700 mmHg,則在此時間內,D(g)的平均生成速率為多少 mmHg/s? (A) 10 (B) 15 (C) 30 (D) 150 (E) 300
3. 已知 6OH—+Br—→ BrO3 —+3H2O+6e— E° =–0.61V2OH —+Br—→ BrO—+H2O+2e — E° =–0.76V2OH —+Br—→ BrO—+H2O+2e — E° =–0.76V試求 4OH—+BrO —→ BrO3 —+2H2O+4e — 之 E° 值。 (A) 0.15 (B) 0.48 (C)–0.15 (D)–0.535 (E)–1.37 V
4. 氰鈷胺(cyanocobalamin)是一人工合成的維生素 B12,自然界中不存在,其性質穩定且價廉, 市面上大多以此形式的營養補充品販賣。此配位化合物以鈷離子為中心,配位共價鍵以虛線表 示,結構如右圖,結構中有一個磷酸殘基,帶一 個負電荷,且鈷離子形成共價配位後仍帶有一個 殘留的正電荷。請依據附圖判斷,氰鈷胺配位中 心的鈷離子氧化數為何? (A) 0 (B)+1 (C)+2 (D)+3 (E)+4
5. 若將配製並標定完成的氫氧化鈉溶液分裝成兩瓶,其中一瓶在 「新鮮條件」下用以滴定 0.1 M 鹽酸,其所得滴定曲線如右圖實線所示(橫軸為氫氧化鈉溶液的滴加體積,縱軸為混合溶液 的 pH 值)。另一瓶則在空氣中暴露一個月後(假設體積無明顯蒸發),再用以滴定相同體積與濃度的鹽酸,所得滴定曲線為虛線。若將兩者的滴定曲線疊合,請判斷以下哪一張疊合圖最符合實際實驗結果? (A)(B)(C)(D)(E)
6. 某學生將丙烯與某酸性試劑反應,觀察到產物中溴原子主要加在末端碳原子上,而非中央碳原子。若該反應在室溫下進行,請推論實驗過程中,造成此現象的起因為何? (A) 使用 HBr,且反應在無光照的環境中進行 (B) 使用 HBr,且反應液中含有過氧化物 (C) 使用 HCl,且反應溶劑為水 (D) 使用 HBr,但加入了過量的濃硫酸以促進反應速率 (E) 使用 HI,並在反應中加入金屬催化劑如 Pt 或 Pd
7. 製造直鏈高分子(如高密度聚乙烯或聚丙烯)時,會使用 Ziegler-Natta 催化劑。所謂的 Ziegler-Natta 催化劑是指以下哪一種?(A) 三氯化鐵(FeCl₃)(B) 三乙基鋁 + 四氯化鈦(Al(C₂H₅)₃ + TiCl₄)(C) 鉑黑(Pt black)(D) Raney 鎳(雷尼鎳)(E) 濃硫酸(H₂SO₄)
8. 取一含有 I2的溶液 120.00 毫升,加入少許澱粉液使溶液呈藍色,再加入 0.120 M 的 Na2S2O3溶液 25.00 毫升恰可使溶液褪色,則原溶液中含 I2的重量為多少克?(I=127) (A)0.191 (B)0.381 (C)0.762 (D)1.52 (E)3.04
9. 有一未知濃度的過氧化氫水溶液 3.00 克,在其中加入過量的 KI 酸性溶液、少許澱粉液。當生成碘分子時,再以 0.40 M 的硫代硫酸鈉(Na2S2O3)水溶液滴定至藍色消失,發現共用去 30.00 mL 的滴定液,試問原過氧化氫水溶液中 H2O2的重量百分率為何?(A)3.4% (B)6.8% (C)17% (D)34% (E)68%
10. 在 0.1 M 的 PtCl4溶液 1 升中逐漸加入 NaCl 時會形成配位數 6 的錯離子,且已知形成配位數 6 的平衡常數比原本配位數 4 的還大。則當加入 NaCl 0.08 mol 時,Pt4+中有多少百分率形成錯離子? (A)20% (B)30% (C)50% (D)60% (E)80%
1. 下列關於物質其中心原子混成軌域、形狀及磁性敘述,哪些正確? (A) Ni(CO)4為 sp3混成軌域,具順磁性 (B) Cu(NH3)42+形狀為四面體,具逆磁性 (C) PBr3為 sp3混成軌域,形狀為三角錐形 (D) I3 —為 dsp3 混成軌域,形狀為直線形 (E) Ag(S2O3)23—為 sp2 混成軌域,形狀為彎曲形
2. 下列分子或離子中,哪些具有順反異構物?(A) Pt(NH3)2Cl2 (B) N2H4 (C) Na2Co(H2O)2Cl4(D) HOOCCHCHCOOH (E) N2O4
3. 取定量的甲烷與不足量的氧氣燃燒,當甲烷與氧氣皆完全耗盡時,生成一氧化碳、二氧化碳及水蒸氣,將其產物通過乾燥劑後,測得乾燥劑增重 36 克,而剩餘的氣體重 37.6 克,則下列敘述哪些正確? (A) 原有的甲烷為 32 克 (B) 原有的氧氣重 57.6 克 (C) 燃燒生成的一氧化碳重 26.4 克 (D) 本反應方程式經平衡後,其最簡單係數和為 29 (E) 若氧氣足夠時,最多可產生二氧化碳 88 克
4. 下列關於催化劑的敘述,哪些正確?(A) 加入催化劑可提升生成物的產率(B) 加入催化劑可讓正逆反應的活化能皆降低,使反應加快(C) 催化劑能參與反應,改變反應機構(D) 催化劑能改變反應的低限能,也會改變分子動能分布曲線,使反應加快(E) 加入不同的催化劑,有可能使相同的反應物,在不同反應條件下,生出不同種類的生成物
5. 在過渡金屬錯合物中,有些配體可以透過其π電子系統與金屬中心形成配位鍵。以下哪些配體能夠透過其π電子或π*軌域與金屬中心發生顯著的配位作用?(A) 乙烯(C₂H₄) (B) 苯(C₆H₆) (C) 氯離子(Cl⁻)(D) 一氧化碳(CO) (E) 氨(NH₃)
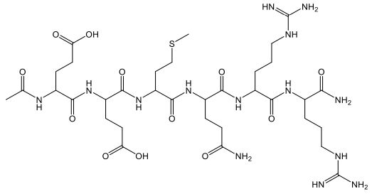
6. 阿基瑞林(Argireline)為一種非天然多胜肽,是肉毒桿菌素(Botulinum Toxin)中 一段蛋白質的模擬片段。由於分子量較小,可透過塗抹方式經皮吸收,以淡化臉部皺紋,免除傳統注射的疼痛與風險。其化學結構如圖所示,左端為乙醯化 (Acetylation)之 N 端,右端則為醯胺化(Amidation)之 C 端。 根據其結構判斷,下列何者正確? (A) 阿基瑞林是六肽 (B) 由六種不同的胺基酸組成 (C) 結構中具有五個胜肽鍵 (D) 結構中具有七個醯胺鍵 (E) 多胜肽的 N 端位於結構式的右側
7. 毒蕈鹼(muscarine)是一種從毒蠅傘蕈(fly agaric)中分 離出的毒素,其結構類似神經傳導物質乙醯膽鹼 (acetylcholine),能與神經細胞膜上的 G 蛋白偶聯受體 (G protein-coupled receptors, GPCRs)結合,使副交感神經過度興奮,甚至可能導致心臟驟停。關於毒蕈鹼的有機化學結構,下列敘述何者正確? (A) 具有乙醯結構 (B) 具有四級銨結構 (C) 具有環酮結構 (D) 具有二級醇結構 (E) 化學式為 C9H20O2N +
8. 下列敘述哪些正確?(NH3之 Kb=1.8×10-5) (A) 1 M NH3 40 mL 和 1 M HCl 60 mL 混合後,[H+ ]=0.2 M (B) 1 M NH3 50 mL 和 1 M HCl 50 mL 混合後,[H+ ]=10-7 M (C) 1 M NH3 60 mL 和 1 M HCl 40 mL 混合後,[OH- ]=9×10-6 M (D) 上述( A )( B )( C )之溶液均可作為緩衝液 (E) 1 M NH3 50 mL 和 1 M HCl 50 mL 混合後,[OH- ]約為 0.5 M
9. 在 1 atm 下,下列溶液均為 1 m:(甲)C2H5OH(aq) (乙)NaCl(aq) (丙)CH3COOH(aq)(丁)C6H12O6(aq),則下列選項何者正確?(A) 沸點高低:乙>丙>丁>甲(B) 凝固點高低:甲>丁>丙>乙(C) 蒸氣壓:甲>丁>丙>乙(D) 滲透壓:乙>丙>丁>甲(E) 蒸氣壓下降量:乙>丙>丁
10. 在常溫下將 N2O4 與 NO2之混合氣體注入 2 L 之密閉容器中使達平衡狀態,今將容器體積 V 增倍為 2V,並維持為 2V,且溫度維持不變,則達新平衡時 (A) N2O4的莫耳分率變大 (B) 系統的顏色變淡 (C) 系統的 PV(壓力與體積的乘積)值不變 (D)濃度比變大 (E) 系統的平衡常數(Kc)減少
(1) 請寫出 Downs cell 和 Hall–Héroult process 的陰極半反應式,並寫出兩者的助熔劑。
(2) 請解釋當溫度升高時,反應速率增加的主要原因及次要原因為何?
(1) 最初容器內的氮氣與水分子的莫耳數比為多少?
(2) 當活塞下壓至體積為 5 升時,容器總壓變為多少 atm?
(3) 承上題,此時凝結的水占原有水蒸氣量的比例為多少?
3. 反應 N2O4(g)⇌2NO2(g)在 T(K),V 升的密閉器(體積固定)中達到平衡,此時 N2O4之分解率為 20%,平衡系之總壓為 P1(atm),當溫度升至 3T(K),N2O4在該容器中之分解率為 80%,平衡系之總壓為 P2 (atm),求 P1:P2 為多少?
(1) 酸性條件下,亞硫酸鉀水溶液與過錳酸鉀水溶液反應(淨離子反應式)
(2) 鋅粉與稀硝酸反應(全反應式)
(1) 當 Fe2+ (aq)及 Sn2+ (aq)完全氧化後,此時過錳酸鉀還剩下多少莫耳?
(2) 合金中含鐵的重量百分率為何?
(1) 請求出此反應之反應速率定律式及反應速率常數值(含單位)。
(2) 此反應可能之反應機構(甲、乙)如下,請選擇最合適的答案並說明原因。(甲) 2A⇌E(慢);E+B⇌C+D (快)(乙) A+B⇌E(快);E+A⇌C+D (慢)
(1) 異丙苯的氧化:異丙苯在氧氣作用下可氧化為過氧化物 X,請畫出化合物 X 的結構式。
(2) 酸催化分解反應:化合物 X 在酸催化下分解,產生化合物 A 與苯酚。請畫出化合物 A 的結構式與英文名稱。
(3) 某化合物的合成:兩倍當量的苯酚與化合物 A 反應,可在酸催化下生成化合物C,請畫出化合物 C 的結構式。提示:此反應為苯酚的對位與化合物 A 進行縮酮反應(ketal formation reaction)。
(4) 聚合物的合成:化合物 C 與光氣(phosgene)反應會生成一種高分子聚合物 D,該聚合物常見於安全帽的透明擋風罩,請畫出光氣的結構式。
(5) 承(4),請畫出聚合物 D 的結構式。
8. 本市兩所高中的科學社團,於本學期接連發生「銀鏡反應實驗」中試管破裂與輕微爆炸之通報事件,推測與實驗條件與殘留物有關。請問造成爆炸的最可能原因,是起因於哪種化合物,在高濃度的強鹼(氫氧化鈉)下形成,請寫出該化合物的化學式。
(1) 為使滴定達到最準確的結果,應該設計達當量點時鉻酸根離子的濃度應為多少 M?
(2) 應於滴定前,在被滴定液中加入多少毫莫耳的鉻酸鉀,以便在當量點時達成此濃 度?
(3) 此時應加入多少毫克的鉻酸鉀?
(1) 滴定的結果,可間接推論步驟 I.中,尚留存未反應的溴分子為多少毫莫耳?
(2) 此待測的10 mL苯酚水溶液中含有苯酚多少毫克?
(1) 請繪出 L-抗壞血酸與一當量鹼反應後所形成的共振結構式。
(2) 請繪出 L-抗壞血酸與弱氧化劑(例如碘液)反應後所產生的氧化態結構式。
(1) [H+]=?
(2) HB 之 α?
(3) [A2- ]=?
(1) 剛配製好的 A、B、C、D 四種緩衝溶液 pH 值由小到大的順序為________ 。
(2) A、B、C、D 四者的緩衝能力由小到大的順序為________ 。