阿摩線上測驗
登入
首頁
>
技檢◆電腦軟體設計-C++-乙級
> 114年 - 11902 電腦軟體設計(C++) 乙級 工作項目 01:C++ 101-165(2025/12/16 更新)#134968
114年 - 11902 電腦軟體設計(C++) 乙級 工作項目 01:C++ 101-165(2025/12/16 更新)#134968
科目:
技檢◆電腦軟體設計-C++-乙級 |
年份:
114年 |
選擇題數:
65 |
申論題數:
0
試卷資訊
所屬科目:
技檢◆電腦軟體設計-C++-乙級
選擇題 (65)
101. 有關 C++語言多型的敘述,以下何者正確? (A)必須宣告使用指標變數(B)必須使用 Early Binding (C)Function 必須使用 Abstract 關鍵字 (D)必須定義 Pure Virtual Function 。
102. 下列之區塊,何者可以捕捉任何型態之例外? (A)catch(){ } (B)catch(...){ } (C)catch(*){ } (D)catch(exception){ } 。
103. catch 區塊最多可以有幾個參數? (A)0 (B)1 (C)2 (D)3 。
104. 欲將運算子<=超載,下列之函數名稱何者正確? (A)overload<= (B)<=new (C)operator<= (D)<=operator 。
105. 下列之運算子,何者可以定義超載? (A). (B).* (C):: (D)++ 。
106. 下列之運算子,何者可以定義超載(overload)? (A). (B):: (C)== (D)sizeof 。
複選題
107. 有關 C++語言的敘述,以下哪些為正確? (A)函式的參數傳遞可以透過Call by Value (B)函式中可以定義其他函式 (C)函式的參數傳遞可以透過Call by Address (D)可以用浮點數陣列表示字串 。
複選題
108. 有關 C++語言陣列(Array)的敘述,以下那些正確? (A)陣列的大小在程式執行時可以改變 (B)編譯器支援檢查所使用陣列之註標(Index)是否在宣告範圍中 (C)陣列在函數間是用位址傳遞 (D)陣列內可以存放其他陣列的位址 。
複選題
109. 有關 C++語言的敘述,下列那些為正確? (A)封裝(Encapsulation)使物件內的資料易於保護 (B)繼承(Inheritance)使程式易於修改 (C)多重繼承(Multiple Inheritance)是一較具爭議性的功能 (D)動態連結(DynamicBinding)增加程式的執行效率 。
複選題
110. 有關 C++語言遞迴(Recursion)的敘述,下列哪些為正確? (A)一般使用遞迴解決問題較使用迴圈解決問題,需要宣告更多的變數 (B)尾端遞迴(Tail- Recursion) 經過適當編譯後的執行效率可以與迴圈相同 (C)所有的遞迴函式均可以迴圈改寫 (D)遞迴函式的執行需要用到堆疊(Stack) 。
複選題
111. C++語言程式設計師釋放不用的記憶體空間,下列那些為正確? (A)使用delete 來釋放記憶體 (B)使用 System.gc()來釋放記憶體 (C)使用 free 來釋放記憶體空間 (D)不用管它,編譯器會自動處理 。
複選題
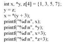
112. 以下 C++語言程式片段,執行後會印出那些值?
(A)0 (B)2 (C)4 (D)5 。
複選題
113. 以下 C++語言程式片段,執行後那些值會包括在程式輸出的一部份?
(A)16 (B)15 (C)23 (D)21 。
複選題
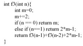
114. 關於以下 C++語言程式片段,下列敘述那些為錯誤?
(A)執行 f(3)回傳 14(B)執行 f (C)回傳 28(3)執行 f(5)回傳 41 (D)執行 f(5)回傳 49 。
複選題
115. 以下 C++語言程式片段,執行後那些值會包括在下列程式輸出的一部份?
(A)10 (B)20 (C)30 (D)40 。
複選題
116. 有一 C++類別 B 定義如下,其成員函式 x 無法被以下那些覆寫(Override)?
(A)private: double x(int x);(B)protected: int x(double x);(C)public: double x(double x); (D)public: double x(int x); 。
複選題
117. 以下 C++程式宣告,那些為正確? (A)int a[]={1, 2}; (B)char *a[3]; (C)chars[10]="test"; (D)int n=5, a[n] 。
複選題
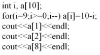
118. 下列 C++語言程式片段執行後,那些值包含在 s 的輸出中?
(A)1 (B)2 (C)3(D)4 。
複選題
119. 下列 C++語言程式片段執行後,那些值包含在 s 的輸出中?
(A)50 (B)70(C)90 (D)110 。
複選題
120. 下列 C++語言程式片段執行後,那些值包含在 s 的輸出中?
(A)1 (B)2 (C)3(D)4 。
複選題
121. 下列 C++語言程式片段執行後,執行後那些值會包括在程式輸出的一部份?
(A)1 (B)2 (C)3 (D)4 。
複選題
122. 下列 C++語言程式片段執行後,執行後那些值會包括在程式輸出的一部份?
(A)9 (B)8 (C)7 (D)6 。
複選題
123. 下列 C++語言程式片段,那些宣告正確? (A)int a[2][3]; (B)intb[][3]={0,1,2,3}; (C)int c[100][100]={0}; (D)intd[3][]={{1,2},{1,2,3},{1,2,3,4}} 。
複選題
124. 下列 C++語言程式片段,哪些函式宣告正確? (A)int* set(int*, int); (B)void func(); (C)string error(int); (D)char[10] sum(int*, int) 。
複選題
125. 下列 C++語言敘述,那些可以定義一種新的資料型別? (A)typedef struct{ int v; } v1; (B)typedef v2=int; (C)typedef int v3; (D)typedef v4: int 。
複選題
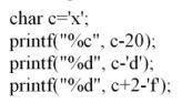
126. 執行完下列 C++語言程式片段後,那些是 printf 輸出的值?
(A)d (B)X (C)x-20 (D)20 。
複選題
127. 下列 C++語言程式片段中,那些可以正確執行? (A)char s1[10];s1="Ctest"; (B)char s2[]={'C', 't', 'e', 's', 't','\n'}; (C)char s3[20]="Ctest";(D)char *s4="Ctest\n" 。
複選題
128. 執行完下列 C++語言程式片段後,輸出結果為以下那些值?
(A)1 (B)4 (C)7(D)100 。
複選題
129. C++程式 f() 執行後,以下那些輸出描述正確?
(A)那一行印出 A, BB (B)( B )那一行印出 A, AB (C)那一行印出 B,B (D)( C )那一行印出 B,AB 。
複選題
130. C++語言程式 fr(15,6),執行後那些值會包括在下列程式輸出的一部份?(A)6 (B)3 (C)2 (D)1 。
複選題
131. 執行完下列 C++語言程式片段後,那些值會包括在下列程式輸出的一部份?
(A)0 (B)3 (C)5 (D)7 。
複選題
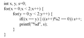
132. 執行完下列 C++語言程式片段後,那些值會包括在程式輸出的一部份?
(A)1 (B)3 (C)5 (D)7 。
複選題
133. 執行完下列 C++語言程式片段後,那些敘述正確?
(A)**p=40 (B)**(p+1)=20 (C)**p+3=30 (D)**(p+3)=30 。
複選題
134. 針對下列 C++語言 fn 程式,那些敘述錯誤?
(A)執行 fn("abcd"); 回傳 5(B)執行 fn(""); 會產生錯誤 (C)執行 char a[]={'a', 'b', 'c'}; fn(a); 會回傳 4(D)本程式無法編譯執行 。
複選題
135. 針對下列 C++語言 fn 程式,那些敘述正確?
(A)甲印出 1 (B)乙印出 2 (C)丙印出 8 (D)丁印出 2 。
複選題
136. 下列 C++程式碼中,那些為錯誤的指令?
(A)甲 (B)乙 (C)丙 (D)丁 。
複選題
137. 下列 C++程式碼中,那些為正確的指令?
(A)甲 (B)乙 (C)丙 (D)丁 。
複選題
138. 對於下列 C++程式碼之輸出,那些敘述為正確?
(A)甲輸出 1,乙輸出 10(B)丙輸出 1,丁輸出 202 (C)丙輸出 102,丁輸出 10 (D)丙輸出 1,丁輸出10 。
複選題
139. 下列 C++程式碼,那些指令不正確?
(A)甲 (B)乙 (C)丙 (D)丁 。
複選題
140. 下列有關 C++的敘述那些是正確的? (A)每個類別都需要一個複製建構子(Copy Constructor) (B)沒有設置複製建構子的類別仍然可以進行兩物件複製 (C)通常類別中包含陣列成員,並在宣告物件時需要做物件內容之複製,則需要宣告一複製建構子 (D)通常類別中包含指標(Pointer) 成員,並在宣告物件時需要做物件內容之複製,則需要宣告一複製建構子 。
複選題
141. 下列那些 C++指令需要使用複製建構子(Copy Constructor)?
(A)甲 (B)乙(C)丙 (D)丁 。
複選題
142. 對於下列 C++程式碼之輸出,那些敘述為正確?
(A)甲輸出 1,乙輸出 10(B)丙輸出 1,丁輸出 202 (C)丙輸出 102,丁輸出 10 (D)丙輸出 1,丁輸出10 。
複選題
143. 下列有關 C++的 vector 樣版類別敘述那些是正確的? (A)vector 是一種基本資料型別 (B)vector 提供泛型之功能 (C)vector 是一種容器(container) (D)vector 只提供 int 型別 。
複選題
144. 下列有關 C++的 vector 樣版類別的使用那些是正確的?
(A)甲 (B)乙 (C)丙(D)丁 。
複選題
145. 下列關於 C++的 vector 樣版類別的使用那些是錯誤的?
(A)甲 (B)乙 (C)丙(D)丁 。
複選題
146. 下列關於 C++的 list 的使用那些是錯誤的?
(A)甲 (B)乙 (C)丙 (D)丁 。
複選題
147. 下列有關 C++的 list 樣版類別敘述那些是正確的? (A)list 是一種容器(Container) (B)list 為雙向鏈結串列(Doubly Linked List) (C)list 僅提供循序存取功能 (D)list 可提供隨機存取功能 。
複選題
148. 下列有關 C++的 vector 與 list 樣版類別敘述那些是正確的? (A)vector 不具雙向串列(Doubly Linked List)功能 (B)vector 具 list 與 stack 的功能 (C)vector 僅提供循序存取功能 (D)vector 可提供隨機存取功能 。
複選題
149. 下列 C++程式中底線部份,下列敘述那些是錯誤的?
(A)甲應填入 char *(B)乙應填入 char * (C)甲應填入 class T (D)乙應填入 class T 。
複選題
150. v1 是 C++的 vector 樣版類別所宣告的一個物件,下列那些指令可用來隨機存取 v1 中註標(index)為 3 的資料: (A)v1.data[3] (B)v1.at (C)(3)v1[3](D)v1.data()[3] 。
複選題
151. 對於下列 C++的程式,那些敘述正確?
(A)當輸入為 3 則輸出為 2 (B)當輸入為 3 則輸出為 4 (C)當輸入為 3 則存取到非原陣列之內容,有可能發生錯誤或輸出不可預期的值 (D)當輸入為 1 則存取到非原陣列之內容,有可能發生錯誤或輸出不可預期的值 。
複選題
152. 使用下列 C++程式宣告,那些指令的輸出相同?
(A)s1=&s[4][1]; cout <<s1[0]<<endl; (B)s1=s[4]; cout <<s1[1]<<endl; (C)s2=&(s+4); cout<<(*s2)[1]<<endl; (D)s2=&s[4] ; cout <<(*s2)[1]<<endl; 。
複選題
153. 下列 C++程式之輸出為 string1,那些指令可填入空格底線部份?
(A)*dest= (B)dest[i]=sou[i] (C)sou[i]= (D)dest[i]= 。
複選題
154. 下列 C++程式輸出為 string1,下列敘述那些是錯誤的?
(A)甲應填入sou[i] (B)乙應填入*dest++=*sou++ (C)乙應填入*++dest=*++sou (D)乙應填入 dest[i]=sou[i] 。
複選題
155. 下列 C++程式輸出為 string1,那些敘述是錯誤的?
(A)甲應填入*sou (B)乙應填入*dest++=*sou++ (C)乙應填入 dest[i]=sou[i++] (D)乙應填入dest[i]=sou[++i] 。
複選題
156. 下列 C++程式中那些指令是錯誤的?
(A)甲 (B)乙 (C)丙 (D)丁 。
複選題
157. 下列 C++程式中那些指令是錯誤的?
(A)甲 (B)乙 (C)丙 (D)丁 。
複選題
158. 有關下列 C++程式輸出,那些錯誤?
(A)c1=255 (B)uc1=255 (C)c1=-255 (D)uc1=0 。
複選題
159. 有關下列 C++程式輸出,哪些錯誤?
(A)c1=-1 (B)uc1=-1 (C)c1=0 (D)c1=-128 。
複選題
160. 有關下列 C++程式輸出,哪些錯誤?
(A)c1=-1 (B)c2=-1 (C)c2=-32 (D)c1=-128 。
複選題
161. 有關下列 C++程式的敘述那些錯誤?
(A)輸出 s1==s2 (B)輸出 s1!=s2 (C)下列程式可判斷兩字串是否相等 (D)將 if…else 兩行程式改為 s1==s2 ? cout<< s1==s2 : cout<< s1!=s2 就可判斷兩字串是否相等 。
複選題
162. 有關下列 C++程式執行完畢後各變數的值,那些敘述正確?
(A)i=2 (B)k=3 (C)j=2 (D)k=2 。
複選題
163. 下列那些是 C++程式語言所具備的功能? (A)執行期型態訊息(Runtimetype information) (B)一次編譯,到處執行 (C)樣板 (template) (D)多重繼承 。
複選題
164. 對於 C++的關鍵字 virtual 及 private,表現出那個 C++特性? (A)virtual與封裝 (encapsulation)相關 (B)virtual 與多型(polymorphism)相關 (C)private 與封裝 (encapsulation)相關 (D)private 與多型(polymorphism)相關 。
複選題
165. 對於下列 C++程式的輸出,那些錯誤?
(A)c1.m1=0 (B)c1.m1=1 (C)c2.m1=0 (D)c2.m1=1 。
申論題 (0)
相關試卷
114年 - 11902 電腦軟體設計(C++) 乙級 工作項目 01:C++ 51-100(2025/12/16 更新)#134967
114年 · #134967
114年 - 11902 電腦軟體設計(C++) 乙級 工作項目 01:C++ 1-50(2025/12/16 更新)#134966
114年 · #134966
114年 - 114-2 全國技術士技能檢定學科_乙級:11902 電腦軟體設計(C++)#130227
114年 · #130227
111年 - 111-2 全國技術士技能檢定學科_乙級: 11902 電腦軟體設計(C++)#131398
111年 · #131398
110年 - 110-2 全國技術士技能檢定學科_乙級:11902電腦軟體設計(C++)#112843
110年 · #112843
109年 - 109-2 技術士技能檢定學科_乙級:11902電腦軟體設計(C++)#88238
109年 · #88238
108年 - 108-2 技術士技能檢定學科測試試題-乙級:11902 電腦軟體設計(C++)#81915
108年 · #81915