阿摩線上測驗
登入
首頁
>
技檢◆化工-乙級
> 114年 - 12300 化工 乙級 工作項目 01:物理化學 51-100(2025/12/16 更新)#135068
114年 - 12300 化工 乙級 工作項目 01:物理化學 51-100(2025/12/16 更新)#135068
科目:
技檢◆化工-乙級 |
年份:
114年 |
選擇題數:
50 |
申論題數:
0
試卷資訊
所屬科目:
技檢◆化工-乙級
選擇題 (50)
51. 有關氣體焦耳‧湯木生係數(
,Joule-Thomson),下列敘述何者錯誤? (A)
會隨壓力增加而增加 (B)
隨溫度增加,其係數先增後減 (C)
(D)理想氣體時,
(湯木生係數) 。
52. 系統在定壓下所吸收之熱量,是用來增加系統的 (A)內能 (B)焓 (C)功函數(D)自由能 。
53. 對熱力學第一定律之敘述,下列何者錯誤 (A)能量不滅定律 (B)ΔE=Q-W(C)理想氣體恆溫下壓縮其內能無變化 (D)理想氣體絕熱膨脹溫度升高 。
54. 將 100g,25℃的水置於彈卡計中,並加入 150g,40℃之溫水,均勻混合後水溫變為 32℃,則彈卡計之水當量約為若干克 (A)68 (B)71 (C)77 (D)81 。
55. 下列何種條件下,反應永遠為自發反應 (A)ΔH 為負,ΔS 為負 (B)ΔH 為正,ΔS 為正 (C)ΔH 為負,ΔS 為正 (D)ΔG 為正,ΔH 為負 。
56. 一莫耳的氫氣置於密閉容器中,在何種條件下具有最大熵值 (A)22.4L 及30℃ (B)5.8L 及 30℃ (C)35L 及 30℃ (D)35L 及 35℃ 。
57. 「所有自然過程皆為不可逆程序」是屬於熱力學何種定律 (A)第一定律(B)第二定律 (C)第三定律 (D)第零定律 。
58. 計算在 300K 及 600K 間操作之可逆熱機之最大理論效率為若干 (A)100%(B)50% (C)25% (D)12.5% 。
59. 兩溫度差為ΔT
1
與ΔT
2
之對數平均值等於 (A)(ΔT
2
+ΔT
1
)/
2
(B)(ln ΔT
2
+ln ΔT
1
)/2 (C)ln(ΔT
2
/ΔT
1
)/(ΔT
2
-ΔT
1
) (D)(ΔT
2
-ΔT
1
)/ln(ΔT
2
/ΔT
1
) 。
60. 一莫耳 0℃之冰,於 25℃之大氣中溶解成水,此過程為下列何種情況 (A)非自然過程 (B)可逆自然過程 (C)不可逆自然過程 (D)ΔS(熵變化量)小於零 。
61. 下列何者並非討論氣體動力論時所做的假設 (A)氣體分子間的引力可以忽略 (B)氣體的平均動能與絕對溫度成正比 (C)壓力是氣體分子碰撞器壁所造成 (D)氣體的內能為溫度的函數與體積無關 。
62. 於同溫同壓下,氣體的擴散速率(u)與分子量(M)之間的關係為 (A)u
1
M
1
2
=u
2
M
2
2
(B)u
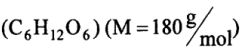
1
M
1
=u
2
M
2
(C)u
1
2
M1=u
2
2
M
2
(D)u
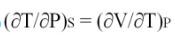
1
M
2
=u
2
M
1
。
63. 下列關於理想氣體的敘述,何者錯誤 (A)溫度升高,氣體分子的平均速率增加 (B)定溫下,將氣體壓縮,則氣體分子的平均速率增加 (C)在相同的溫度下,不同的氣體其分子的平均動能相同 (D)同溫下,分子量較大的氣體其分子平均速率小於分子量較小者 。
64. 理想氣體於同溫下,下列敘述何者正確 (A)平均動能相同 (B)於同體積下具有相同的莫耳數 (C)每莫耳體積皆為 22.4L (D)平均速率相同 。
65. 氣體動力方程式為 (A)
(B)
(C)
(D)
。
66. 已知反應 2NO
2
+F
2
→2NO
2
F 的反應機構為 NO
2
+F
2
→NO
2
F+F (慢) NO
2
+F→NO
2
F (快),則反應的速率式為何? (A)R=k[NO
2
]
2
[F
2
] (B)R=k[NO
2
F][F](C)R=k[NO
2
][F
2
] (D)R=k[NO
2
F] 。
67. 在常溫附近的化學反應速率,通常為溫度每升高 10℃其反應速率變為原來的幾倍 (A)2 倍 (B)10 倍 (C)500 倍 (D)1000 倍 。
68. 碘酸鉀與亞硫酸氫鈉之藍色碘時鐘反應中,其相關敘述下列何者錯誤 (A)溶液呈現藍色是碘與澱粉作用結果 (B)需有過量的碘離子與 KIO
3
作用 (C)反應溫度需保持在 85℃ (D)碘酸鉀與亞硫酸氫鈉能迅速生成碘離子 。
69. 以濃度的對數值與時間作圖,可得一直線關係,則可以證明此反應為幾級反應 (A)零級反應 (B)一級反應 (C)二級反應 (D)三級反應 。
70. 二級反應半生期的公式為下列那項?(k:表反應速率常數,Co:表反應物的初濃度) (A)1/(k‧Co) (B)Co/2k (C)0.693/k (D)Co/k 。
71. 溫度(T)對反應速率常數(k)的關係可以用阿倫尼亞斯方程式(Arrheniusequation)表示之(a 與 b 為特定正值常數)亦即 (A)logk=a-bT (B)logk=a+(b/T) (C)logk=a-(b/T) (D)logk=a+bT 。
72. 下列哪種方式可增加反應速率 (A)降低壓力 (B)降低接觸面積 (C)提高溫度(D)增大反應器容量 。
73. 下列何種條件有利於汽提操作 (A)高溫低壓 (B)高溫高壓 (C)低溫高壓 (D)低溫低壓 。
74. 乾燥的方法中,若以乾燥空氣與物料接觸,將水分移走之法稱為 (A)間接乾燥 (B)直接乾燥 (C)吸附乾燥 (D)冷凍乾燥 。
75. 25℃時乙醇在 CCl
4
及 H
2
O 中的分配係數 K=C(CCl
4
)/(C(H
2
O)=0.020,今有 1.0g 乙醇溶於 50mL 水及 50mL 的 CCl
4
溶液,則水層中含有乙醇多少克 (A)0.010 (B)0.025 (C)0.12 (D)0.98 。
76. 取尿素
及葡萄糖
分別溶於等重的水中欲使兩溶液的沸點相同,則葡萄糖的重量須為尿素的幾倍 (A)30(B)3 (C)2 (D)1/3 。
77. 利用沸點上升測定分子量,於下列哪一項操作下須作補償 (A)非揮發性物質 (B)可混合均勻形成溶液的物質 (C)於水中能解離的物質 (D)可溶於溶劑的物質 。
78. 電解質溶液的電導率與下列何者無關 (A)電解質的種類 (B)溫度 (C)壓力 (D)溶液的濃度 。
79. 下列何者不是測量離子遷移數(Transport number)的方法 (A)希特夫法(Hittorff's method) (B)電位掃描法(Electropot-ential scanning method) (C)介面移動法(Moving boundary method) (D)電動勢法(Electromotive forcemethod) 。
80. 下列何者不是莫耳電導率(Molarconductivity)的單位 (A)
(B)
(C)
(D)
。
81. 已知丹尼爾電池(即鋅銅電池)在 25℃時的標準電動勢(Standard emf)為1.10V,則該電池之氧化還原反應平衡常數值為 (註 log2=0.3,log3=0.4771)(A)
(B)
(C)
(D)
。
82. 已知
的標準還原電位分別為-0.257V 和-0.280V,又當
=1.0m 及
=0.5m 時,則下列電池
的電動勢(emf)為(ln5=1.609;ln10=2.303) (A)0.0141V (B)0.319V (C)0.0408V (D)-0.528V 。
83. 已知
的標準還原電位分別為 0.771V 和0.536V,則下列反應
的標準電位為 (A)1.307V (B)0.235V (C)-1.307V (D)-0.235V 。
84. 下列何者不屬於溶液的依數性質(Colligative property) (A)沸點上升 (B)蒸氣壓下降 (C)凝固點下降 (D)解離度 。
85. 氣體分子在固體表面上的吸附量 (A)會隨溫度的上升而上升 (B)會隨溫度的上升而下降 (C)會隨壓力的上升而下降 (D)與溫度和壓力無關 。
86. 物理吸附的結果不能用來量測多孔物質的 (A)總表面積 (B)顆粒直徑 (C)孔洞直徑 (D)孔洞體積 。
87. 物理吸附的吸附過程 (A)總是放熱 (B)總是吸熱 (C)有時候放熱、有時候吸熱 (D)不會有熱量變化 。
88. 下列何者不是化學吸附的特性 (A)為單層吸附 (B)吸附具選擇性 (C)可量測多孔物質的總表面積 (D)具有較高的吸附熱 。
89. 固體的等壓莫耳熱容量
與等容莫耳熱容量
的關係為 (A)
=R(R 為氣體常數) (B)
m=R (C)
=0 (D)
=0 。
90. 焦耳-湯木生實驗(Joule-Thomson experiment)是在何種程序下進行的(A)等溫程序 (B)等容程序 (C)等壓程序 (D)絕熱程序 。
91. 下列何人與熱力學第三定律的提出無關 (A)能斯特(Nernst W.) (B)路易斯(Lewis G.N.) (C)阿瑞尼斯(Arrehenius S.) (D)西蒙(Simon F.E.) 。
92. 下列何者不屬於麥斯威爾關係式(Maxwell relations)的結果?(T:溫度;V:體積;P:壓力;S:熵) (A)
(B)
(C)
(D)
。
93. 下列熱力學函數關係式何者不正確?(T:溫度;V:體積;P:壓力;U:內能;S:熵;H:焓;A、G:自由能) (A)U=U(S,V) (B)H=H(S,P) (C)A=A(T,V) (D)G=G(V,P) 。
94. 下列熱力學函數關係式,何者不正確?(T:溫度;V:體積;P:壓力;U:內能;S:熵;H:焓;A、G:自由能) (A)
(B)
(C)
(D)
。
95. 下列何者不屬於卡諾循環(Carnot cycle)的步驟 (A)等溫膨脹 (B)絕熱膨脹(C)等壓壓縮 (D)絕熱壓縮 。
96. 已知卡諾循環(Carnot cycle)在 100℃與 200℃之間操作,若其在高溫處吸熱 100kJ,則功(Work)為 (A)-50kJ (B)50kJ (C)21kJ (D)-21kJ 。
97. 下列何者不能表示化學勢(Chemical potential)?(T:溫度;V:體積;P:壓力;U:內能;S:熵;H:焓;A、G:自由能;n:莫耳數) (A)
(B)
(C)
(D)
。
98. 在一密閉系統中,各組成分 i 存在於 1、2、‧‧‧、π相中,則相平衡的條件為?(T:溫度;P:壓力;S:熵;μ:化學勢) (A)
(B)
(C)
(D)
。
99. 下列部分分解反應達平衡時,其自由度(Degree of freedom)為何?
(A)0 (B)1 (C)2 (D)3 。
100. 在定壓下,雙成分氣液平衡的兩相共存區,其自由度(Degree offreedom)為何 (A)3 (B)2 (C)1 (D)0 。
申論題 (0)
相關試卷
114年 - 12300 化工 乙級 工作項目 08:化工廠管理 1-53(2025/12/16 更新)#135086
114年 · #135086
114年 - 12300 化工 乙級 工作項目 06:工業儀器 51-101(2025/12/16 更新)#135085
114年 · #135085
114年 - 12300 化工 乙級 工作項目 06:工業儀器 1-50(2025/12/16 更新)#135084
114年 · #135084
114年 - 12300 化工 乙級 工作項目 05:單元操作 351-385(2025/12/16 更新)#135083
114年 · #135083
114年 - 12300 化工 乙級 工作項目 05:單元操作 301-350(2025/12/16 更新)#135082
114年 · #135082
114年 - 12300 化工 乙級 工作項目 05:單元操作 251-300(2025/12/16 更新)#135081
114年 · #135081
114年 - 12300 化工 乙級 工作項目 05:單元操作 201-250(2025/12/16 更新)#135080
114年 · #135080
114年 - 12300 化工 乙級 工作項目 05:單元操作 151-200(2025/12/16 更新)#135079
114年 · #135079
114年 - 12300 化工 乙級 工作項目 05:單元操作 101-150(2025/12/16 更新)#135078
114年 · #135078
114年 - 12300 化工 乙級 工作項目 05:單元操作 51-100(2025/12/16 更新)#135077
114年 · #135077