阿摩線上測驗
登入
首頁
>
技檢◆化工-乙級
> 114年 - 12300 化工 乙級 工作項目 04:質能均衡 1-45(2025/12/16 更新)#135075
114年 - 12300 化工 乙級 工作項目 04:質能均衡 1-45(2025/12/16 更新)#135075
科目:
技檢◆化工-乙級 |
年份:
114年 |
選擇題數:
45 |
申論題數:
0
試卷資訊
所屬科目:
技檢◆化工-乙級
選擇題 (45)
1. 在 SI 制,下列何者為壓力的單位 (A)kg/cm
2
(B)Pa (C)psi (D)mmHg 。
2. 下列何者不是熱的單位 (A)J (B)kg‧m
2
/s
2
(C)N‧m (D)kg‧m/s
2
。
3. 1.0g/cm
3
=Xkg/m
3
,其中 X 為 (A)10.0 (B)100.0 (C)1000.0 (D)
。
4. 一個三成分的混合物系統,若有兩個液相及一氣相共存,則該系統有幾個自由度 (A)1 (B)2 (C)3 (D)4 。
5. 液體在圓管內流動,其雷諾數(Reynoldsnumber)定義為
,其中 D 為圓管直徑,u 為流體速度,ρ為流體密度,μ為流體黏度,則Re 單位為何 (A)N‧m (B)m
2
/h (C)m
3
/h (D)無單位 。
6. 凡德瓦(Vander Waals)方程式為(P+n
2
a/V
2
)(V-nb)=nRT,其中 P 表示壓力,V 表示體積,T 表示溫度,n 表示氣體之莫耳數,R 為理想氣體常數,則 b 的單位為何 (A)atm‧m
2
/mol
2
(B)atm‧m/mol‧K (C)m
3
/mol (D)無單位 。
7. 壓力 1.0atm 不等於 (A)760mmHg (B)1.01325×10
5
Pa (C)1kgf/cm
2
(D)14.696psi 。
8. 某生產程序中每小時須使用 1000kg 的 60wt%硫酸,若該 60wt%的硫酸是以 80wt%的濃硫酸與 30wt%的稀硫酸混合而成,欲得到上述所需的硫酸量,須對混合器輸入多少 kg/h 之 80wt%濃硫酸 (A)200 (B)300 (C)400 (D)600 。
9. 一連續蒸餾塔在一大氣壓下,每小時須分離 3000kg 之苯與甲苯的混合物,已知進料中苯之質量分率為 0.40,塔頂產品中苯之質量分率為0.80,塔底產品中甲苯之質量分率為 0.80,則塔底產物應為多少 kg/h?(A)500 (B)1000 (C)2000 (D)2500 。
10. 汽水瓶內之二氧化碳氣體的平衡壓力是 4.0atm,若在溫度 25℃下,二氧化碳溶於水中的亨利常數(Henry's constant)
為 0.03mol/L‧atm,則二氧化碳的水中溶解度為多少mol/L (A)1.2 (B)0.5 (C)0.12 (D)0.05 。
11. 下列何者是旁繞程序(Bypass process)最主要的目的 (A)減少輸入物質流 (B)緩衝操作程序 (C)維持均勻物料供應 (D)提高物料回收 。
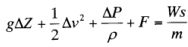
12. 有關力學能的能量均衡式
之適用性,下列敘述何者不正確? (A)適於開放系統 (B)適於穩定狀態 (C)適於可壓縮流體 (D)適於程序中無化學反應 。
13. 在含有迴流(Recycling)的程序中,若進入或反應所產生的某一物質未隨產物流出,將造成該物質在程序中累積而無法達到穩態操作,解決之道為 (A)增加繞流(Bypass) (B)增加清除流(Purge stream) (C)增加混合操作 (D)加入分離設備 。
14. 溫度 25℃,壓力 1atm 之空氣含有分壓為 7mmHg 之水蒸氣,若 25℃之飽和水蒸氣為 21mmHg,則該空氣之相對溼度為多少 (A)100% (B)67% (C)50%(D)33% 。
15. CH
4
+2O
2
→CO
2
+2H
2
O,其中是以 32g 的甲烷與 32g 的氧作用,該反應中的限制反應物(Limiting reactant)為何者 (A)CH
4
(B)O
2
(C)CO
2
(D)H
2
O 。
16. 已知空氣中氧的體積百分比為 21,若 1.0mol 的純甲烷燃燒需要氧氣量是2.0mol,則其理論空氣量約為多少 mol (A)2.5 (B)6.0 (C)9.5 (D)12.5 。
17. 燃燒反應中,通常取下列何者為結質(Tie component)? (A)氧 (B)氮 (C)空氣(D)二氧化碳 。
18. 對於產率,下列敘述何者錯誤? (A)產率是針對特定生成物而言 (B)產率以進料的反應物為基準 (C)進料的反應物必須參與反應 (D)產率不可能大於100% 。
19. 在恆溫恆壓下,某氣體組成(體積百分比,vol%)如下:CO
2
=9.1%,CO=0.2%,O
2
=4.6%,N
2
=86.1%,則 CO
2
之莫耳百分率為多少 (A)9.1 (B)0.1 (C)2.1 (D)條件不足無法計算 。
20. 液體的平衡蒸氣壓為下列何者的函數 (A)壓力 (B)溫度 (C)體積 (D)面積 。
21. 水蒸氣表中,焓值的參考溫度為 (A)0℉ (B)0℃ (C)0K (D)25℃ 。
22. 莫利爾(Mollier)圖是_______所作之圖。 (A)焓—熵 (B)焓—溫度 (C)熵—濃度 (D)熵—溫度
23. 氣象報告所報之濕度為 (A)相對濕度 (B)絕對濕度 (C)百分濕度 (D)一般濕度 。
24. 10wt%蔗糖水溶液以 10 噸/小時的速率進入蒸發器,如欲產生 50wt%的蔗糖水溶液,則每小時需移除多少噸的水蒸氣 (A)2 (B)4 (C)6 (D)8 。
25. 某一溫度下,混合氣體中水蒸氣的分壓,與同溫度下純水之蒸氣壓之比值,稱為該混合氣體在此溫度下的何種溼度 (A)相對濕度 (B)絕對濕度 (C)百分濕度 (D)一般濕度 。
26. 某個壓縮過程中,冷媒從 10inHg 的表壓力,被壓縮到 125psi 的表壓力,則此過程中,冷媒壓力的增加量為多少 (A)147psi (B)129.91psi (C)1033.6H
2
O (D)0.5atm 。
27. 質量為 320lb 的物體,從地面被吊上距地面 185ft 高的大樓屋頂時,若忽略其他磨擦等損耗,求作功量為多少 (A)600Btu (B)592ft-lb (C)59200ft-lb(D)59200Kcal 。
28. 某 2.0bar 的穩定壓力,作用在面積為 0.02m
2
的活塞上,而將活塞推動了0.08m,則該壓力的作功量為多少 J (A)160 (B)32 (C)320 (D)16 。
29. 某冰塊以 150kg/m 的速率溶解,求該冰塊可提供多少 KW 之冷卻速率?(冰塊之解熱為 335J/g) (A)2.5 (B)83.75 (C)13.96 (D)837.5 。
30. 空氣壓縮機儲氣桶的體積為 0.2m
3
,內部有 40℃之空氣,若桶內空氣的絕對壓力為 7.5bar,則桶內之空氣質量為多少 kg?(註:空氣之分子量為28.9) (A)1.67 (B)3.34 (C)0.835 (D)0.223 。
31. 在一標準大氣壓力下,某空氣之乾球溫度為 70℉,其露點為 50℉,已知50℉之飽和水蒸汽壓力為 0.178psia,大氣壓力為 14.7psia,則每磅乾空氣所攜帶之水分為多少磅 (A)0.00762 (B)0.0122 (C)0.762 (D)1.22 。
32. 關於濕球溫度測量實務及理論,何者錯誤 (A)濕球溫度計溫度下降是因為外界空氣帶走被覆在球端之水分 (B)濕球溫度計之球端必須以濕布包覆在其表面 (C)濕布巾之水被蒸發後,應經常補充不使乾燥 (D)為避免外界空氣熱的傳送干擾,空氣之流速愈小愈好 。
33. 下列何種情形,使得空氣的乾球溫度、濕球溫度及露點三者相同 (A)空氣的三相點 (B)當濕度達乾球濕度之飽和濕度時 (C)當濕球溫度不再降低時 (D)當濕球溫度計之球端被覆之砂布水分不再蒸發時 。
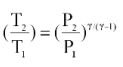
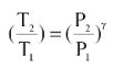
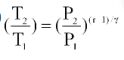
34. 設某氣體之 Cp,m/Cv,m=γ,原先溫度 T
1
,壓力 P
1
,經絕熱過程後,變成 T
2
、P
2
,則其溫度與壓力之關係為 (A)
(B)
(C)
(D)
。
35. 下列何者是氣體壓力與體積於絕熱過程中之變化關係?其中,γ=Cp,m/Cv,m,P 為壓力,V 為體積 (A)PV=const (B)
(C)
const (D)
。
複選題
36. 下列何者屬於能量進出系統的方式? (A)物質的流動 (B)化學反應 (C)熱量(D)功 。
複選題
37. 下列何者為無化學反應的程序? (A)氫化 (B)乾燥 (C)混合 (D)酯化 。
複選題
38. 已知有一化學反應
,若 B 的轉化率為 60%且 C 的生成速率為10.0mol/min,下列敘述何者正確? (A)B 為過量試劑 (B)B 為限量試劑 (C)B的進料為 12.5mol/min (D)B 的進料為 10.0mol/min 。
複選題
39. 有關乙烷(C
2
H
6
)完全燃燒的敘述,下列何者正確? (A)產物以 CO
2
及 H
2
O為主 (B)每燃燒 1 莫耳 C
2
H
6
需消耗 3.5 莫耳 O
2
(C)每燃燒 1 莫耳 C
2
H
6
可獲得 3 莫耳 CO
2
(D)反應後的總莫耳數會減少 。
複選題
40. 已知化學反應式為 2A 3B+C,若 A 的輸入流率為 100 莫耳/小時,且 A的轉化率為 80%,則每小時可獲得 (A)60 莫耳的 B (B)120 莫耳的 B (C)20莫耳的 C (D)40 莫耳的 C 。
複選題
41. 有一 100kg 水溶液內含 20%(重量百分率)的 A,經蒸發後可獲得 50%水溶液,下列敘述何者正確? (A)蒸發掉的水重為 40kg (B)蒸發後水溶液內 A重為 20kg (C)蒸發後水溶液重為 60kg (D)蒸發掉的水重為蒸發後水溶液重的 1.5 倍 。
複選題
42. 有一水溶液內含 20%(重量百分率)的 A,經加水稀釋後獲得 100kg 的 5%水溶液,下列敘述何者正確? (A)原水溶液重 25kg (B)原水溶液內 A 重為5kg (C)加入的水重為 55kg (D)加入的水重為原水溶液重的 3 倍 。
複選題
43. 有一 100kg 濕樣品,含水重量百分率為 60%,經乾燥程序使含水量降至20%,下列敘述何者正確? (A)須移去水 50kg (B)乾燥後樣品重 50kg (C)乾燥後樣品重 60kg (D)乾燥後樣品內的水重 10kg 。
複選題
44. 在定壓下,欲藉精餾將含有 A 與 B 的 100kg 溶液分離,若進料中 A 的質量分率為 0.6,餾出物與餾餘物中 A 的質量分率分別為 0.8 與 0.3,則可獲得 (A)餾出物 40kg (B)餾出物 60kg (C)餾餘物 40kg (D)餾餘物 60kg 。
複選題
45. 有關一般化學反應之質能平衡敘述,下列何者正確? (A)反應後剩下的反應物稱為限量試劑 (B)轉化率是針對反應物而言 (C)所有生成物的產率必相等 (D)產率可用來衡量製程的效率 。
申論題 (0)
相關試卷
114年 - 12300 化工 乙級 工作項目 08:化工廠管理 1-53(2025/12/16 更新)#135086
114年 · #135086
114年 - 12300 化工 乙級 工作項目 06:工業儀器 51-101(2025/12/16 更新)#135085
114年 · #135085
114年 - 12300 化工 乙級 工作項目 06:工業儀器 1-50(2025/12/16 更新)#135084
114年 · #135084
114年 - 12300 化工 乙級 工作項目 05:單元操作 351-385(2025/12/16 更新)#135083
114年 · #135083
114年 - 12300 化工 乙級 工作項目 05:單元操作 301-350(2025/12/16 更新)#135082
114年 · #135082
114年 - 12300 化工 乙級 工作項目 05:單元操作 251-300(2025/12/16 更新)#135081
114年 · #135081
114年 - 12300 化工 乙級 工作項目 05:單元操作 201-250(2025/12/16 更新)#135080
114年 · #135080
114年 - 12300 化工 乙級 工作項目 05:單元操作 151-200(2025/12/16 更新)#135079
114年 · #135079
114年 - 12300 化工 乙級 工作項目 05:單元操作 101-150(2025/12/16 更新)#135078
114年 · #135078
114年 - 12300 化工 乙級 工作項目 05:單元操作 51-100(2025/12/16 更新)#135077
114年 · #135077