阿摩線上測驗
登入
首頁
>
技檢◆通信技術(電信線路)-乙級
> 114年 - 15600 通信技術(電信線路) 乙級 工作項目 04:電信相關法規 51-89(2025/12/22 更新)#135542
114年 - 15600 通信技術(電信線路) 乙級 工作項目 04:電信相關法規 51-89(2025/12/22 更新)#135542
科目:
技檢◆通信技術(電信線路)-乙級 |
年份:
114年 |
選擇題數:
39 |
申論題數:
0
試卷資訊
所屬科目:
技檢◆通信技術(電信線路)-乙級
選擇題 (39)
複選題
51. 幹配線光纜心數應依其網路配置架構設計之,下列設計原則何者正確?(A)採星形心線遞減路由方式時,自遞減點起之光纜心數為自該遞減點以下累計各引進點之引進光纜心數之總和之半 (B)採環狀路由方式時,光纜之心數為累計各引進點之引進心數總和之半 (C)採星形心線遞減路由方式時,光纜之心數為自該介接點以下累計各引進點之引進光纜心數之總和(D)採環狀路由方式時,光纜之心數為累計各引進點之引進心數總和 。
複選題
52. 下列何者為管與箱間接續施工注意事項 (A)塑膠管接入配線箱內時,該插入端應加熱成喇叭狀 (B)各水平配管與垂直幹管均需以正切方向引接入箱體 (C)水平配管與出線匣配接需牢固 (D)如引接之管外徑或截面積小於箱體預先留妥之口徑或開口時,應使用襯板固定之 。
複選題
53. 下列有關電桿引上管之敘述何者正確 (A)採用 D-80 或 D-50PVC 管 (B)彎曲部份用曲率半徑小於管外徑之 6 倍 (C)埋於地下部份用硬質塑膠厚管 (D)直管採用鍍鋅鋼管 。
複選題
54. 接地電阻值為_______時,符合一般建築物接地設備之接地電阻值規範。(A)10Ω (B)20Ω (C)30Ω (D)40Ω
複選題
55. 接地電阻值為_______時,符合設置電信室之建築物接地設備之接地電阻值規範。(A)5Ω (B)10Ω (C)15Ω (D)20Ω
複選題
56. 埋設於地下之接地銅極應包含_____極。(A)N (B)P (C)E (D)C
複選題
57. 電信保安接地設備不得與避雷針、電力系統接地設備共用。下列何者符合規範:電信保安接地設備與避雷針接地系統相距 (A)4m (B)8m (C)12m (D)16m 。
複選題
58. 電信總配線箱: (A)裝於室外應有防水處理設備 (B)箱體下緣應高於地面120 ㎝ (C)裝於室內箱體上緣應低於 180 ㎝ (D)下緣不得低於 30 ㎝ 。
複選題
59. 若電信室面積為 5 坪時,可引進電纜總對數為 (A)600 對 (B)800 對 (C)1000對 (D)1200 對 。
複選題
60. 若電信室面積為 10 坪時,可引進電纜總對數為 (A)1000 對 (B)4000 對 (C)5000 對 (D)6000 對 。
複選題
61. 垂直管道之管徑為 1 英吋時,其垂直電纜對數可為 (A)10 對 (B)20 對 (C)50對 (D)100 對 。
複選題
62. 垂直管道之管徑為 1.5 英吋時,其垂直電纜對數可為 (A)30 對 (B)50 對 (C)200 對 (D)300 對 。
複選題
63. 垂直管道之管徑為 2 英吋時,其垂直電纜對數可為 (A)50 對 (B)100 對 (C)300 對 (D)500 對 。
複選題
64. 毗連河川或山區道路新設管道時,應優先選擇於道路_________路旁埋設。(A)靠河岸側 (B)離河岸之另側 (C)靠山側 (D)離山之另側
複選題
65. 人孔依施工方式分為 (A)預鑄人孔 (B)現場澆置人孔 (C)沉箱式人孔 (D)堆疊式人孔 。
複選題
66. 充氣機依形式分為 (A)屋內型 (B)屋外型 (C)移動型 (D)固定型 。
複選題
67. 局引進方式有______等方式。(A)洞道 (B)管道 (C)直埋 (D)架空
複選題
68. 局內 PVC 成端電纜的對數有 (A)200 對 (B)300 對 (C)400 對 (D)600 對
複選題
69. 有關雙方拉線之設計,下列何者正確? (A)為防止電桿因風壓等負荷而致傾斜 (B)裝設在直線路或 170°以上之曲線路之電桿兩側 (C)與線路成直角裝設 (D)長距離線路及常受強烈颱風侵襲地段,每隔兩桿裝設一處 。
複選題
70. 地下配線電纜,用戶測得依用戶引進點之彙計 15 年預測用戶需要數,以_______電纜為單位,分別以適當規格之電纜,引上配接於配線箱。(A)10 對 (B)20 對 (C)30 對 (D)50 對
複選題
71. 市內線路依建設方式得分為地下或架空等形式,地下線路得分為 (A)洞道式 (B)管道式 (C)預鑄式 (D)直埋式 。
複選題
72. 下列哪些屬於光纖本質的傳輸損失 (A)吸收損失 (B)散射損失 (C)彎曲損失(D)連接損失 。
複選題
73. 有關光纖之特性參數,下列哪些敘述正確? (A)當單模光纖之光源波長低於光纖之截止波長(Cutoff Wavelength),光纖之波導特性不再是單模態 (B)光纖核心(Core)與纖殼(Cladding)之折射率差愈大數值孔徑愈大 (C)光纖數值孔徑愈大,愈容易耦合 (D)Graded-index 相較於 Step-index 多模光纖,光的散射較小 。
複選題
74. 屋內複合型端子板可加裝(插接)保安器是 (A)A 型 (B)B 型 (C)C 型 (D)D 型
複選題
75. 建築物屋內外電信設備工程技術規範中,屋內複合型端子板規格有______端子板。(A)10對 (B)20 對 (C)30 對 (D)40 對
複選題
76. FS-JF-LAP 電纜適用於社區型建築物間屋外主幹配線,具有防水功能是(A)外被覆 PE 黏積層鋁帶 (B)充膠 (C)充氧氣 (D)充氮氣 。
複選題
77. 有關總配線箱型號 A-06 之敘述,下列何者正確? (A)用戶側收容之端子數60 對 (B)經營者收容之端子數 60 對 (C)用戶側收容之端子數 30 對 (D)經營者收容之端子數 30 對
複選題
78. 有關宅內箱(主配線箱)B-23 之敘述,下列何者正確? (A)收容端子對數 30對 (B)收容垂直管數 3 管 (C)收容端子對數 20 對 (D)收容垂直管數 2 管
複選題
79. 有關 A-06 之箱體敘述,下列何者正確? (A)適用於拖線箱 (B)適用於總配線箱 (C)箱體深度 10 ㎝ (D)箱體深度 14 ㎝ 。
複選題
80. 有關 B-23 之箱體敘述,下列何者正確? (A)適用於主配線箱或宅內配線箱(B)適用於總配線箱 (C)箱體深度 10 ㎝ (D)箱體深度 14 ㎝ 。
複選題
81. 建築物屋內外電信設備設置技術規範中,下列敘述何者正確? (A)商場或市場用途大樓,每一攤位預設出線匣及電信插座 (B)醫院大樓之各辦公室、診療室、病房、服務台等在適當位置預設出線匣及電信插座 (C)浴室應設置出線匣及電信插座 (D)飯店、旅社大樓之辦公室、服務台及各客房預設出線匣及電信插座 。
複選題
82. 建築物屋內外電信設備設置技術規範中,下列敘述何者正確? (A)宅內配管內佈放一條電纜時,電纜的截面積不得超過管截面積的 53% (B)二條電纜時,電纜的截面積和不得超過管截面積的 45% (C)二條電纜時,電纜的截面積和不得超過管截面積的 31% (D)三條以上電纜時,電纜的截面積和不得超過管截面積的 40% 。
複選題
83. 有關建築物內電信地下引進管,下列敘述何者正確? (A)管材為PE(Polyethylene) (B)若有設置電信室時,應另增加引進管一管 (C)每一引進處之總管數以四管為原則 (D)預備管至少一管 。
複選題
84. 有關建築物內電信管線之引進,下列敘述何者正確? (A)應採雙路由引進(B)重要軍政機關、特殊建築物或單一路由引進不敷所需時,得採分散多路由引進 (C)不同路由引進之總配線箱(架、板)間應具有線架、配管至少兩管作為互相連接用 (D)透天式獨戶建築之電信管線,得集中二至八戶設一集中引進管 。
複選題
85. 有關建築物內電信管線之引進,下列敘述何者正確? (A)電纜與光纜得佈放於同一引進管 (B)光纜引進管至少設計一管 (C)光纜管徑為 52 ㎜ (D)架空引進時以一管為限,超過時應改為地下引進 。
複選題
86. 有關地下引進管,下列敘述何者正確? (A)需穿越排水溝時,以穿越排水溝底上方埋設為原則 (B)應由手孔之長側壁引入手孔 (C)必須做適當之防水措施,所有空管均應以管口塞塞住 (D)為防止水由地下引進管流入,採用ㄇ型排水管道措施 。
複選題
87. 有關地下引進管,下列敘述何者正確? (A)引進管各彎曲點彎曲角度之和不得超出 180 度 (B)地下引進管長度超過 25m 時,應於適當位置埋設手孔或拖線箱 (C)引進管之彎曲角度不得大於 90 度 (D)引進管之彎曲半徑應為管外徑之 3 倍以上 。
複選題
88. 埋設金屬接地棒,依接地電阻公式,欲明顯有效降低接地電阻值,下列敘述何者正確? (A)增加接地棒長度 (B)尋找較低大地電阻係數地點埋設或填加改良劑 (C)加大接地棒外圍直徑 (D)銅包鋼接地棒改為全銅材質 。
複選題
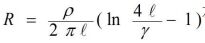
89.
左列接地電阻公式中 (A)
表示接地棒長度 (B)γ表示接地棒半徑 (C)ρ表示大地電阻係數 (D)ln 表示以 10 為底對數 。
申論題 (0)
相關試卷
114年 - 15600 通信技術(電信線路) 乙級 工作項目 08:有線電視 1-22(2025/12/22 更新)#135551
114年 · #135551
114年 - 15600 通信技術(電信線路) 乙級 工作項目 07:纜線障礙查測 1-55(2025/12/22 更新)#135550
114年 · #135550
114年 - 15600 通信技術(電信線路) 乙級 工作項目 06:用戶終端設備 1-32(2025/12/22 更新)#135549
114年 · #135549
114年 - 15600 通信技術(電信線路) 乙級 工作項目 05:線路工程 251-290(2025/12/22 更新)#135548
114年 · #135548
114年 - 15600 通信技術(電信線路) 乙級 工作項目 05:線路工程 201-250(2025/12/22 更新)#135547
114年 · #135547
114年 - 15600 通信技術(電信線路) 乙級 工作項目 05:線路工程 151-200(2025/12/22 更新)#135546
114年 · #135546
114年 - 15600 通信技術(電信線路) 乙級 工作項目 05:線路工程 101-150(2025/12/22 更新)#135545
114年 · #135545
114年 - 15600 通信技術(電信線路) 乙級 工作項目 05:線路工程 51-100(2025/12/22 更新)#135544
114年 · #135544
114年 - 15600 通信技術(電信線路) 乙級 工作項目 05:線路工程 1-50(2025/12/22 更新)#135543
114年 · #135543
114年 - 15600 通信技術(電信線路) 乙級 工作項目 04:電信相關法規 1-50(2025/12/22 更新)#135541
114年 · #135541