阿摩線上測驗
登入
首頁
>
技檢◆用電設備檢驗-乙級
> 114年 - 16600 用電設備檢驗 乙級 工作項目 04:裝表工作 1-59(2025/12/23 更新)#135641
114年 - 16600 用電設備檢驗 乙級 工作項目 04:裝表工作 1-59(2025/12/23 更新)#135641
科目:
技檢◆用電設備檢驗-乙級 |
年份:
114年 |
選擇題數:
59 |
申論題數:
0
試卷資訊
所屬科目:
技檢◆用電設備檢驗-乙級
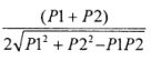
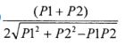
選擇題 (59)
1. 三相三線 110V 2.5A 附 PT、CT 瓦時計,與 1S-1L 電流線圈相互作用之電壓線圈接線端子為何? (A)P2-P3 (B)P1-P2 (C)P3-P1 (D)P1-P3 。
2. 三相四線 110V 2.5A 附 CT、PT 瓦時需量計,與 2S-2L 電流線圈相互作用之電壓線圈接線端子為何? (A)P1-P0 (B)P2-P0 (C)P1-P2 (D)P2-P1 。
3. 用兩瓦特計測量三相電功率得 W1=1000W,W2=500W 則其電功率為多少 W? (A)1500 (B)1250 (C)1000 (D)500 。
4. 用兩瓦特計測量三相電功率得 W1=1000W,W2=500W 則其功率因數為多少%? (A)33.3 (B)50 (C)75 (D)86.6 。
5. 三相高壓用戶,裝設 12000/120V(PT),20/5A(CT),電表 Kh 為1.2(Wh/rev),當電表圓盤轉 10 轉須 48 秒,則該用戶 6 小時之用電量為多少度? (A)960 (B)1840 (C)2160 (D)2440 。
6. 如圖示高壓電表組之接線,若 D 線頭接於電表 1S 端子,則電表 P1 端子應接於何線?
(A)A (B)B (C)C (D)E 。
7. 某用戶裝設單相二線式電度表,瓦時常數為 500rev/kWh,現場發現圓盤旋轉 10 轉所需時間為 36 秒,則當時負載為多少W? (A)500 (B)1000 (C)1500 (D)2000 。
8. 某高壓用戶契約容量 500kW,下列那一套電表較適合裝用? (A)三相三線220V 2.5A 電表附 600/5A CT (B)三相三線 110V 2.5A 電表附 11000/110VPT、30/5A CT (C)三相三線 110V 2.5A 電表附 22000/110V PT 50/5A CT(D)三相三線 220V 500A 電表 。
9. 用兩瓦特計測三相馬達電功率,若兩瓦特計讀數為 P1=1000 瓦、P2=0瓦,則功率因數為多少%? (A)100 (B)80 (C)50 (D)30 。
10. 在電表圓盤之對稱兩側鑽有兩小孔之目的為何? (A)信號檢視 (B)校正圓盤 (C)增加美觀 (D)防止潛動 。
11. 三相三線式二元件瓦時計,同一組元件電壓與電流間相角差為何? (A)90°+θ (B)90°-θ (C)60°+θ或 60°-θ (D)30°+θ或 30°-θ 。
12. 某用戶某月抄表電度,瓦時計 600 度,乏時計 800 度,則該戶負載之平均功率因數為多少%? (A)60 (B)70 (C)80 (D)90 。
13. 有效電度表接成逆相序時,其圓盤轉向為何? (A)正轉 (B)逆轉 (C)停轉 (D)時正轉時逆轉 。
14. 瓦時計電壓線圈的構造為何? (A)匝數少,線徑細 (B)匝數少,線徑粗 (C)匝數多,線徑細 (D)匝數多,線徑粗 。
15. 乏時計在功率因數等於 1 時,圓盤動作為何? (A)停轉 (B)逆轉 (C)轉慢 (D)轉得最快 。
16. 利用兩只單相瓦特表測量三相功率時,其總功率表示式為何? (A)P1+P2(B)
(C)
(D)
。
17. 利用兩只單相瓦特表測量三相功率時,其總無效功率為何? (A)P1+P2 (B)
(C) (P1-P2) (D)
。
18. 利用兩只單相瓦特表測量三相功率時,其功率因數為何? (A)P1+P2 (B)
(P1+P2) (C)
(D)
。
19. 用戶用電設備裝置規則之整套型變比器設計圖符號為何? (A)
(B)
(C)
(D)
。
20. 三相三線式 220V 供電用戶,若其電業供電變壓器採燈力併供系統,則機械式電表 S 相對地電壓為多少伏特? (A)110 (B)190 (C)220 (D)380 。
21. 電度表接線箱,其箱體若採用鋼板者,其厚度應在多少公厘以上? (A)1.2 (B)1.6 (C)2.0 (D)3.2 。
22. 電度表之裝設,離地面高度應在 1.8 公尺以上,2.0 公尺以下為最適宜,如現場場地受限制,施工確有困難時得予增減之,惟最高不得超過多少公尺? (A)2.3 (B)2.5 (C)2.7 (D)3.0 。
23. 電度表之裝設(非埋入牆壁內),離地面高度應在 1.8 公尺以上,2.0 公尺以下為最適宜,如現場場地受限制,施工確有困難時得予增減之,惟最低不得小於多少公尺? (A)0.8 (B)1 (C)1.2 (D)1.5 。
24. 電度表採埋入牆壁內裝設者,其最低高度可為多少公尺? (A)1.8 (B)1.5 (C)1.2 (D)0.9 。
25. 電度表容量在 60 安以上或方型電度表(非插座型)之電源線線徑在多少平方公厘以上者,其電源側非接地導線應加裝隔離開關? (A)14 (B)22 (C)50(D)60 。
26. 電度表不得裝置於下列何種處所? (A)乾燥地點 (B)門口之附近 (C)易於抄表地點 (D)有塵埃之地點 。
27. 為利電度表接線得設電度表接線箱,每具電度表接線箱裝設電度表超過多少只時須加裝分段設備? (A)6 (B)10 (C)12 (D)20 。
28. 自幹線分歧至集中電度表之次幹線,如其長度超過 8 公尺,其次幹線安培容量不得低於幹線安培容量之多少倍? (A)1/4 (B)1/3 (C)1/2 (D)1 。
29. 匹配電度表裝設之變比器,其二次線接地之接地導線應使用多少平方公厘以上絕緣線? (A)2.0 (B)3.5 (C)5.5 (D)14 。
30. 高壓以上用戶,合計設備容量一次額定電流超過多少安培者,其受電配電盤原則上應裝有電流表及電壓表? (A)20 (B)30 (C)40 (D)50 。
31. 要測量高壓斷路器的跳脫及閉合動作時間,須使用下列何種儀器? (A)週波試驗器 (B)高壓直流耐壓測試器 (C)電驛測試器 (D)絕緣功率因數試驗器 。
32. 3 相 3 線 22.8kV 用戶計量用比壓器 22kV/110V、比流器 200/5 A,該月電表累積的度數為 30 度,其實際該月用電度數為多少度? (A)600 (B)1200 (C)6,000 (D)240,000 。
33. 電子式電表潛動之檢定檢查在額定頻率及額定電壓之 110﹪,如無電流通過電流線圈,不得有多少個以上之脈波輸出? (A)1 (B)2 (C)3 (D)4 。
複選題
34. 接觸電阻試驗適用於下列何種高壓設備? (A)斷路器 (B)開關 (C)避雷器 (D)電容器 。
複選題
35. 下列何者為斷路器作閉合及跳脫時間試驗之目的? (A)檢查電驛設定時間(B)了解斷路器動作次數 (C)檢查三相開閉時間差異 (D)確認跳脫時間是否正確 。
複選題
36. 想得知變壓器絕緣油絕緣劣化情形,可進行以下何者試驗? (A)耐壓試驗(B)介質電力因數試驗 (C)電阻係數試驗 (D)酸價試驗 。
複選題
37. 保護電驛特性試驗,需分別調整輸入電流為標置電流的百分之多少? (A)100 (B)200 (C)300 (D)500 。
複選題
38. 想了解低壓電路之絕緣情形,可使用下列何者儀器? (A)絕緣電阻計 (B)洩漏電流計 (C)低阻計 (D)接地電阻試驗器 。
複選題
39. 下列何者為保護電驛用比流器規格? (A)0.3B1.8 (B)5P20 (C)10P20 (D)C800 。
複選題
40. 下列何者保護電驛(代號)需自比流器引接輸入電流信號? (A)67 (B)51(C)27 (D)81H 。
複選題
41. 為及早發現設備潛在的危害,可於系統不停電狀態下時使用紅外線攝錄影像分析儀檢測電力設備,下列何者為紅外線測溫設備主要對象? (A)變壓器 (B)匯流排 (C)高壓斷路器 (D)過電流電驛 。
複選題
42. 使用介質電力因數試驗器測量變壓器,下列何者數值可計算判斷出該變壓器絕緣劣化情形? (A)電壓 (B)洩漏電流 (C)瓦特損失 (D)頻率 。
複選題
43. 下列何者為高壓斷路器試驗項目? (A)介質電力因數試驗 (B)接觸電阻 (C)匝比測定 (D)耐壓試驗 。
複選題
44. 下列敍述何者不是使用零相比流器(ZCT)之目的? (A)量測大電流 (B)檢出零相電流量 (C)量測功率 (D)測大電壓 。
複選題
45. 電壓表特性與使用,下列何者為正確? (A)輸入阻抗愈大愈準確 (B)Ω/V值愈大,靈敏度愈高 (C)測量電壓時,應與被測線路串接 (D)直流電壓表可串聯電阻器擴大其量測範圍 。
複選題
46. 電流表特性與使用,下列何者為正確? (A)理想電流表內阻應是愈小愈好(B)電流表之分流電阻愈小,其可測得之電流量愈大 (C)電流表應與欲測電路串聯 (D)直流電流表可串聯電阻器擴大其量測範圍 。
複選題
47. 使用高阻計,下列何者為正確? (A)用來量測絕緣電阻 (B)可量測接觸電阻 (C)應將被測物之電路電源切開 (D)輸出交流電壓可分 250V、500V 或1000V 等級 。
複選題
48. 三用電表使用上之描述下列何者為正確? (A)三用電表顯示之交流電壓為最大值 (B)不需直接將儀表連接於電路上,即可獲得欲量測值 (C)量測電阻時,於尚未接觸到被測物時因為開路,面板上電阻刻度值應指示在無限大 (D)用電阻檔量測時,被測電路不得帶電 。
複選題
49. 一般儀表依動作型式可分類為哪些? (A)探測儀表 (B)指示儀表 (C)記錄儀表 (D)積算儀表 。
複選題
50. 下列敘述何者為正確? (A)靈敏度用來表示儀表能測量到多麼小數值的程度 (B)準確度用來表示測量值與真實值接近程度 (C)精密度用來表示測量值究竟能鑑別到百分之幾的程度 (D)解析度用來表示反映儀表之最小輸入量 。
複選題
51. 比流器二次側額定電流為 5 安培,下列比流器之負擔敍述何者正確? (A)B-1 表示輸出 25VA (B)B-4 表示輸出 400VA (C)C100 表示輸出 25VA (D)C400 表示輸出 400VA 。
複選題
52. 下列何者不是電工儀表上交直流兩用之符號? (A)
(B)
(C)
(D)
。
複選題
53. 使用儀表應注意事項有哪些? (A)對被測物之特性(如電壓值、電流值等)不甚了解時,應先以低檔位量測 (B)測量信號較小之物理量,應使用靈敏度高之儀表 (C)使用中之儀表若發覺所選用之適用檔位有錯誤時,應先將儀表與被測物分開,再調整檔位 (D)引線越短越好 。
複選題
54. 惠斯登電橋其內部結構為下列何者元件組成? (A)電阻器 (B)交流電壓源(C)直流電壓源 (D)檢測器 。
複選題
55. 保護電驛用比流器之準確度可使用下列那些規格? (A)5P20 (B)10P20 (C)5P5 (D)10P5 。
複選題
56. 保護電驛用比壓器其準確度有下列那些? (A)1P (B)3P (C)6P (D)12P 。
複選題
57. 下列那些保護電驛(代號)需自比壓器引接輸入電壓信號? (A)67 (B)51(C)27 (D)81 。
複選題
58. 電度表檢定項目包含下列那些項目? (A)絕緣 (B)潛動 (C)始動 (D)極性 。
複選題
59. 電表用變比器檢定項目包含下列那些項目? (A)準確度 (B)耐電壓 (C)始動(D)極性 。
申論題 (0)
相關試卷
114年 - 16600 用電設備檢驗 乙級 工作項目 06:用電法規運用 51-102(2025/12/23 更新)#135644
114年 · #135644
114年 - 16600 用電設備檢驗 乙級 工作項目 06:用電法規運用 1-50(2025/12/23 更新)#135643
114年 · #135643
114年 - 16600 用電設備檢驗 乙級 工作項目 05:填寫檢驗報告 1-26(2025/12/23 更新)#135642
114年 · #135642
114年 - 16600 用電設備檢驗 乙級 工作項目 03:用電設備裝置檢驗 151-196(2025/12/23 更新)#135640
114年 · #135640
114年 - 16600 用電設備檢驗 乙級 工作項目 03:用電設備裝置檢驗 101-150(2025/12/23 更新)#135639
114年 · #135639
114年 - 16600 用電設備檢驗 乙級 工作項目 03:用電設備裝置檢驗 51-100(2025/12/23 更新)#135638
114年 · #135638
114年 - 16600 用電設備檢驗 乙級 工作項目 03:用電設備裝置檢驗 1-50(2025/12/23 更新)#135637
114年 · #135637
114年 - 16600 用電設備檢驗 乙級 工作項目 02:基本技能 51-110(2025/12/23 更新)#135636
114年 · #135636
114年 - 16600 用電設備檢驗 乙級 工作項目 02:基本技能 1-50(2025/12/23 更新)#135635
114年 · #135635
114年 - 16600 用電設備檢驗 乙級 工作項目 01:電工常識 101-149(2025/12/23 更新)#135634
114年 · #135634