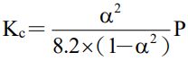
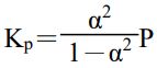
複選題
15. 附圖(甲)~(戊)表示元素性質與原子序關係,橫軸為原子序(Z),縱軸為元素的某種性質(Y)。

現有五種性質,敘述如下:
(Ⅰ) C、N、O、F的第二游離能;
(Ⅱ) H、He、Li、Be的第一游離能;
(Ⅲ) O²⁻、F⁻、Na⁺、Mg²⁺的離子半徑;
(Ⅳ) F、Cl、Br、I的電子親和力絕對值;
(Ⅴ) V、Cr、Mn、Fe基態原子中的不成對電子個數。
試問(Ⅰ)~(Ⅴ)性質與(甲)~(戊)關係圖搭配,哪些 正確 ? (A) (Ⅰ)與(丁)曲線符合 (B) (Ⅱ)與(戊)曲線符合 (C) (Ⅲ)與(丙)曲線符合 (D) (Ⅳ)與(乙)曲線符合 (E) (Ⅴ)與(甲)曲線符合