所屬科目:北水◆工程力學及流體力學
1.有關簡諧運動之敘述,下列何者錯誤? (A)一往復直線運動的物體,其加速度的大小與位移成正比但方向相反,則此一運動謂之簡諧運動 (B)簡諧運動應用在等角速度圓周運動的物體在直徑方向的投影,任一位置的速度及加速度的求法 (C)簡諧運動的速度最大值發生位置在中立點上 (D)簡諧運動的加速度最大值發生位置在中立點上
2.有關保守力與位能以及機械能不滅定理之敘述,下列何者錯誤? (A)如果作用在質點的力僅與質點所在之位置有關,而與質點的速度與加速度無關,則此力所作的功與質點 自一點移動至另一點所依循的路徑無關時,此力稱為保守力 (B)質點所受的重力、彈簧力與摩擦力均為保守力 (C)當一保守力作用在一質點時,此力就具有作功的能力,此能力可藉一個僅與位置有關的函數來量測,此 函數稱為力的位能 (D)機械能不滅定理僅當質點在保守力作用下發生,故為一般能量不滅定律之特例
3.有一邊長為 2m 之正六邊形邊上施六個力,如【圖 3】所示,對中心 O 點的合力矩為多少?
(A) 2 3 Pm (B) 3 3 Pm (C) 4 3 Pm (D) 6 3 Pm
4.有一軸承如【圖 4】,若 F1=20.0N ,R1=1.0m ,F2=15.0N, R2=0.5m,淨力矩為多少?
(A)淨力矩 2.5 Nm (B)淨力矩5.0 Nm (C)淨力矩 7.5 Nm (D)淨力矩 12.5 Nm
5.如【圖 5】所示,設繩與滑輪之間無摩擦;物體各平面的摩擦係數均為 0.3,請問恰可使物體滑動的 P 值須大於多少?
(A) P>100N (B) P>80N (C) P>140N (D) P>240N
6.有關動量守恆定律應用條件,下列敘述何者錯誤? (A)動量守恆定律嚴格成立的條件是物體係受到的合外力為零 (B)當系統內部的物體之間相互作用的內力遠遠大於外力,相對於內力,可以忽略外力,此時動量守恆定律 近似成立 (C)若在某一個方向上,合外力的分量為零,則該方向的動量守恆,即動量在該方向的分量守恆 (D)牛頓定律適用在微觀粒子作高速運動(速度接近光速)的情況
7.若有一作用力的水平分力大小等於其作用力的 0.8 倍,則下列敘述何者正確? (A)垂直分力等於水平分力的 0.6 倍 (B)垂直分力等於水平分力 (C)垂直分力等於水平分力的 0.8 倍 (D)垂直分力等於水平分力的 0.75 倍
8.若有一組合梁所受外力 P=40kgf,如【圖 8】所示,當其維持平衡時,在 A、B、C、D 四點的反作用 力,分別為 ,則下列敘述何者正確?
(A) (B) (C)(D)
9.若有一組合梁所受外力如【圖 9】所示,AB 桿件中央承受一 20kgf 力,B 點為銷釘,C 點則有 P=50kgf 的作用力,D 點承受之反力大小為何?
(A) 20 kgf (B) 20√ 2 kgf (C) 40 kgf (D) 40√ 2 kgf
10.如【圖 10】所示,有一抽水機抽水量 Q=0.1cms,水塔高水位 h=15m,則抽水機功率應為多少?
(A) 5hp (B) 10hp (C) 19.73hp (D) 39.45hp
11.依據福祿數 F1 之大小,水躍型式的敘述,下列何者錯誤? (A)波狀水躍(undular jump):發生於 F1 = 1 ~ 1.7 時。這種水躍的消能率很低,約在 10%以下 (B)振擺水躍(oscillating or transition jump):發生於 F1 = 2.5 ~ 4.5 時。消能率可達 20%~45% (C)穩定水躍(Steady or stabilized jump):發生於 F1 = 1.7 ~ 2.5 時。消能率較低,約在 20%以下 (D)強烈水躍(Steady or choppy jump):發生於 F1 > 9 時。水面波浪洶湧,消能率可達 85%
12.如【圖 12】所示,有一 180∘ 彎管置於地上,其流量 Q=0.1cms,P1=20kpa,求固定彎管所需之力 kN?
(A) 3390 (B) 3590 (C) 3790 (D) 3990
13.某水泵浦進口直徑為 50 cm,出口直徑為 25 cm,質量流率為 1000 kg/s,請問出進口流速差異為多少倍? (A) 2 (B) 4 (C) 6 (D) 8
14.有關孔蝕現象(Cavitation),又稱氣穴現象、氣蝕現象或空洞現象的敘述,下列何者錯誤? (A)指的是在流動的液體中氣相的孔穴,亦即極小的無液體空間(「氣泡」或「空隙」),產生與消滅的一種 物理現象,是力作用在液體的結果 (B)液體受到壓力的快速改變時會產生孔穴,此時的壓力通常相當低,除了液體本身的蒸汽壓,可以說是真空 (C)當環境的高程變高,孔穴分裂產生強力的衝擊波 (D)泵的葉輪和彎曲處,此處最容易有液體瞬間的方向改變發生孔蝕現象
15.水在直徑 2.5cm 的水平不銹鋼管中穩定地流動,管長 25M,管中平均流速 1m/s (水的黏滯係數為 s,密度為 1000kg/m3,重力加速度 g 為 9.81m/s2 ),請問該不銹鋼管兩端之水頭損失(head loss)為多少? (A) 15cm (B) 17cm (C) 25cm (D) 37cm
16.水在直徑 2.5cm 的水平不銹鋼管中穩定地流動,管長 25M,管中平均流速 1m/s (水的黏滯係數為,密度為 1000kg/m3,重力加速度 g 為 9.81m/s2 ),請問該不銹鋼管兩端須克服之壓降所 需功率(pumping power requirement)為多少? (A) 0.42(W) (B) 0.62(W) (C) 0.82(W) (D) 1.42(W)
17.有關較高速流體之阻力的敘述,下列何者錯誤? (A)流體阻力(又稱後曳力)是物體在流體中相對運動所產生與運動方向相反的力 (B)阻力方程式可計算物體在較高速(雷諾數 Re > ~1000)流體下的阻力 (C)流體阻力與速度成正比 (D)流體阻力與密度成正比
18.脆性材料受扭轉而斷裂,則其破壞應力應屬於: (A)壓應力 (B)拉應力 (C)彎矩應力 (D)剪應力
19.如【圖 19】所示,假設桿件自重及節點摩擦力均忽略不計,求 E 點支撐反作用力之合力值為何?
(A) 100N (B) 200N (C) 269.26N (D) 233.61N
20.三均值箱子,重量皆為 W,長度為 a,如【圖 20】所示,求不使其傾倒,最上層箱子可伸出之最大 距離 d 為何?
(A) 1/2a (B) 2/3a (C) 3/4a (D) a
21.一端載有集中載重 P 之懸臂梁,其梁長 l 如【圖 21】所示,E 為彈性係數,I 為慣性矩,求最大撓度 為何?
(A) (B) (C) (D)
22.兩等重量物體同時從同一高度釋放,其中一個以水平拋出,另一個自由落下,若空氣阻力不計,則 下列敘述何者正確? (A)自由落下者先著地 (B)水平拋出者先著地 (C)兩者同時著地 (D)何者先著地需視水平拋出速度決定
23.三維空間剛體保持平衡所需滿足之平衡方程式數目為何? (A) 3 (B) 4 (C) 6 (D) 9
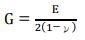
24.一直徑為 60mm,長 3m 之實心金屬軸,受一扭力矩 T=800 N×m 扭轉,則此軸最大剪應力為何? (A) 20.32MPa (B) 22.18Mpa (C) 23.45Mpa (D) 18.86Mpa
25.如【圖 25】所示,無筋混凝土方柱,高 5m,欲承受軸力 30t,混凝土體積重為 2400kg/m3,容許應 力 50kg/cm2,求所需最小邊長 B 為多少公分?
(A) 24 (B) 24.5 (C) 24.2 (D) 4.8
26.已知抽水機消耗之功率與流體流量、流體密度、流體黏滯係數、旋轉葉片直徑、旋轉葉片轉速有關 係。請問使用無因次分析前述之關係時,總共有幾組無因次參數? (A)一組 (B)二組 (C)三組 (D)四組
27.有關浮體敘述,下列何者正確? (A)為自身體積相等的液體體積 (B)浮體淹沒的重量等於液體體積 (C)排開同體積液體重量與其浮體重量相等 (D)液體的重量取決於容器的體積
28.雷諾傳輸定理(Reynolds transport theory)中,所指控制體積之定義為何? (A)每單位時間流體之體積 (B)流場中設定一固定體積大小的範圍作為控制系統 (C)一種控制設備內之體積大小 (D)流體控制裝置之體積
29.壓力管流中圓形管線內流量之次要損失的敘述,下列何者正確? (A)微不足道 (B)可忽略不計 (C)由管線配件引起的局部干擾造成 (D)由摩擦阻力引起
30.假設一圓柱形杯體內裝半滿之液體,杯體繞通過杯底圓心之旋轉軸穩定旋轉。請問原本水平之液體 表面,現因旋轉之緣故呈現的穩定自由液面為何? (A)雙曲面 (B)圓球面 (C)橢圓面 (D)拋物面
31.管流中之能量損失可概分為主要能量損失(major loss)及次要能量損失(minor loss)。請問主要能量損失與下列何者無關? (A)管線轉折 (B)重力加速度 (C)流速 (D)管長
32.皮托管(Pitot tube)如【圖 32】所示,求流速為何?(註:B 點位於管壁,A 點位於管中心)
(A) 3.75 m/s (B) 1.71 m/s (C) 1.05 m/s (D) 2.86 m/s
33.一桿兩端固定,桿之膨脹係數為 ,彈性係數為 E,斷面積為 A,長度為 L,溫度之變化為△T ,請 問熱應變量為何? (A)α AE(△T) (B)α LE(△T ) (C)α L(△T ) (D)α LAE( △T)
34.材料性質中,彈性係數 E、蒲松比ν與剛性模式 G 三者間之關係式為何? (A) (B) (C) (D)
35.如【圖 35】之組合樑,當其維持平衡時,則 D 點之反作用力為何?
(A) 50kg (B) 100kg (C) 150kg (D) 300kg
36.請問【圖 36】之樑的靜不定度數為:
(A) 2 (B) 3 (C) 4 (D) 5
37.底為 b,高為 h 之三角形,如【圖 37】所示。則此三角形對 x 軸之面積迴轉半徑(radius of gyration of an area)為多少?
38.如【圖 38】所示之兩組力偶同時作用於一剛體 AB,其與下列何者效果相同? (力的單位同為 kg;AC = CD = DB = 2m)
39.如【圖 39】所示,一長度為 2m 之剛體直桿 AB,桿上 C 點承受一力矩 24kN-m,若 AB 桿處於平衡 狀態,則桿端力偶 P 須為:
(A) 12kN (B) 24kN (C) 26kN (D) 48 kN
40.如【圖 40】所示之變斷面均質彈性金屬桿,彈性係數 E=200kN/mm2,其中 AB 段之斷面積為 600mm2, BC 段之斷面積為 300mm2,在端點 C 施加 600kN 之拉力,其受力方向之總伸長量為:
(A) 2mm (B) 3.5mm (C) 5mm (D) 7.5mm
41.有一重 40kgf 之鐵塊置於具摩擦力的粗糙斜面上,其受力情形如【圖 41】所示,若欲使該鐵塊不致 往下滑動,則鐵塊與糙斜面間之靜摩擦係數最少須為:
(A) 0.38 (B) 0.44 (C) 0.50 (D) 0.56
42.對均質彈性材料而言,若 E 為其彈性係數,G 為其剪力彈性係數,則下列何者是不可能存在的? (A) E=2.3G (B) E=2.6G (C) E=2.8G (D) E=3.6G
43.利用慕迪圖(Moody chart)查圓形管路的摩擦係數(f)時,需要下列何項參數? (A)流速、管徑與絕對粗糙度 (B)黏滯係數、管徑、與溫度 (C)雷諾數、管徑與絕對粗糙度 (D)雷諾數、黏滯係數與絕對粗糙度
44.水躍(hydraulic jump)狀態是下列哪種現象的發生? (A)能量釋放 (B)水位下降 (C)沉澱傳輸 (D)壓力調整
45.於「明渠(open-channel)流」中產生的微小振幅單一靜止波,其波速有何特性? (A)與重力加速度成反比 (B)正比於流體深度之平方根 (C)與流體密度有關 (D)與波振幅之平方根有關
46.有關流體動黏度(dynamic viscosity) 與密度相關性質之敘述,下列何者正確? (A)流體動黏度與密度的比值稱為運動黏度(kinematic viscosity) (B)流體動黏度與密度皆不受溫度的影響 (C)流體動黏度受溫度的影響,密度與溫度無關 (D)流體密度受溫度的影響,動黏度與溫度無關
47.水在一大型開口貯槽中,經由泵抽至液面高度差 12 m 的另一個大型開口貯槽中,若系統中的管徑 為 15 cm,總管長為 120 m,忽略在入口、出口以及肘管部分的次損失係數,而圓管的摩擦因子(f)假設定 值且相等為 0.02。請估算總水頭為多少? (A) 13 m (B) 15 m (C) 21 m (D) 28 m
48.矩型渠道中,流量為每秒 15 立方公尺,渠寬為 3 公尺,曼寧係數為 0.015,坡度為 0.0036。請問水 深為何? (A) 0.76 公尺 (B) 1.51 公尺 (C) 1.90 公尺 (D) 2.28 公尺
49.如【圖 49】所示之供水系統中,管內平均流速為 3 m/s,已知管內摩擦因子為 0.03。求出下列供水系 統之總壓損(head loss)為何?
(A) 56.3 m (B) 51.7 m (C) 8.6 m (D) 25.8 m
50.如【圖 50】所示,水中閘門欲關閉此閘門應於閘栓(stop)處施與多少力矩?
(A) 10.7 kN-m (B) 107 kN-m (C) 1070 kN-m (D) 10700 kN-m