所屬科目:教甄◆化學專業/化工科
1. 27℃、1 大氣壓下,將 40.0 g 的固體 PbI2 加入 1000 mL 的純水中。經充分攪拌,並靜置一段時間後,取出上層澄清液 體,並測得其滲透壓為 0.15 atm。則在 1 大氣壓、27℃時,PbI2 的溶度積常數(Ksp)最接近下列哪一個數值? (A)3.2✖10-5 (B)8.0✖10-6 (C)3.2✖10-7 (D)3.2✖10-8 (E)8.0✖10-9
2. 下列比較何者正確? (A)鍵角:H3O +>H2O>OF2 (B)碳與碳鍵長:鑽石>苯>富勒烯 (C)莫耳燃燒熱:乙炔>乙烯>乙烷 (D)碳與碳間鍵能:C2H2 >C2H4 >CaC2 (E)碳與碳間鍵結軌域:丙二烯為 sp2,苯酚為 sp2,環己烷為 sp3
3. 下列各溶液中何者加入澱粉溶液會有顯著的藍色出現? (A)I2(s) + NaOH(aq) (B)H2O2(aq) + KI(aq) + KOH(aq) (C)KI(aq) + KIO3(aq) (D)O2 + KI(aq) (E)KI(aq) + KIO3(aq) + H+ (aq)
4. 下列各平衡系中,劃線物質之原平衡濃度為 C1 (mol/L),當施加( )內的措施,再次達平衡的濃度為 C2(mol/L),則下列敘 述何者正確? (A) H2 (g)+I2 (g) ⇌2HI(g) (擴大容器體積),C2>C1 (B)AgCl(s) ⇌ Ag(aq) ++Cl- (aq)(加入濃氨水),C1>C2 (C) N2O4(g)⇌ 2NO2(g)(升高溫度),C1>C2 (D)PbCl2(s) Pb2+ (aq)+2Cl- (aq)(加入 KI(s)),C2>C1 (E) SrCO3(s) ⇌ CO2(g) + SrO(s)(定容下加少量水),C2>C1
5. 取甲醇及 2-丙醇之混合物共 1.08 公克,與 0.50 M 過錳酸鉀的硫酸溶液反應,反應至所產生的產物均不能再被氧化時, 共耗去過錳酸鉀 44 毫升,求混合物中甲醇的重量百分率為多少%?(A)36.4 (B)44.4 (C)48 (D)55.6 (E)63.6
6. 下列有關離子及分子的敘述,何者錯誤? (A)水合的質子 H3O +,最安定的形狀為三角錐形 (B)CO32-為平面三角形且具有共振結構 (C)NH4 +與 BF4 -皆為四面體 形狀 (D)臭氧的形狀為角形且分子具有極性 (E)因為 PCl5 為穩定的分子,所以同族元素的氮,也可形成穩定的 NCl5 分子
7. 今各取 0.10 莫耳:冬青油、阿司匹靈、柳酸、苯甲醇、鄰-甲基苯甲酸、苯酚等六種物質與下列物質反應,則下列敘述何 者錯誤? (A)加入同濃度氯化鐵反應可產生紫色錯合物者有三種,皆含有苯酚結構 (B)常溫常壓下,可與過量小蘇打反應產生氣 體者有三種,且產生的氣體體積皆相同 (C)六種物質皆可與氫氧化鈉反應,完全反應生成鹽類時,以柳酸所需的體積最 多 (D)常溫常壓下,六種物質皆可與過量金屬鈉反應產生氫氣,又以柳酸產生氫氣的莫耳數最多 (E)加入過錳酸鉀的 硫酸水溶液,可反應者有兩種
8. 苯之烷基取代物 C7H8,若分子中有二個氫被氯取代,則最多可形成幾種不同的異構物? (A)11 (B)10 (C)9 (D)8 (E)7
9. 甲:糖水,乙:食鹽水,丙:酒精水溶液。在 1atm 下,甲、乙、丙之凝固點相等,則下列敘述何者錯誤? (A)重量莫耳濃度:甲=乙=丙 (B)一大氣壓下沸點:甲=乙>丙 (C)在 1atm 下沸點時的飽和蒸汽壓:甲=乙=丙 (D)在 1atm 下,加熱甲、乙、丙達沸騰時,繼續加熱,沸點均會升高 (E)在 1atm 下,加熱甲、乙、丙達沸騰時,繼續加熱,飽和蒸汽壓不變
10. 實驗桌上有三瓶試藥,只知其為氯化鈉、氯化銀及氯化亞汞,但因標籤脫落,難以辨識。陳同學從三瓶中各取出少許, 分別置入甲、乙、丙三支試管,再以蒸餾水及濃氨水進行檢驗,所得結果如下表所示:根據其檢驗結果,試問甲、乙、丙三試管所含的物質依序各為何? (A)氯化鈉、氯化亞汞、氯化銀 (B)氯化銀、氯化鈉、氯化亞汞 (C)氯化亞汞、氯化鈉、氯化銀 (D)氯化鈉、氯化銀、氯化亞汞 (E)氯化銀、氯化亞汞、氯化鈉
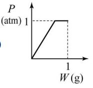
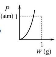
11. 在 1 L 的真空容器中,溫度保持 100°C,逐漸注入 1 g 的水,並測量其內部的壓力,則下列示意圖哪一個最能表示容器內 部水的質量(W)與壓力(P)的關係? (A) (B) (C) (D) (E)
12. 液態水的莫耳生成熱為−285.8 千焦。2 莫耳液態過氧化氫分解成氧氣與液態水時放出能量 196.4 千焦,下列敘述何者不正 確? (A)當 1 克液態過氧化氫分解成氧氣和液態水時,可放出能量 2.89 千焦 (B)液態過氧化氫的莫耳生成熱為−187.6 千焦 (C)當 2 莫耳氫完全燃燒時,可放出能量 285.8 千焦 (D)液態過氧化氫分解為水及氧氣的熱化學反應式中的 ΔH 應為負值 (E)液態水和氧氣反應產生一莫耳液態過氧化氫的反應熱為 98.2 千焦
13. 下列關於 S2−、Cl−、Ar、K +和 Ca2+等五種原子或離子,哪一敘述錯誤? (A)電子數相等 (B)S2−的總電子數為 16 (C)最外層電子所在的軌域相同 (D)半徑大小為 S2−>Cl−>Ar>K +>Ca2+ (E)Cl− (g)→ Cl(g)+e −所需要的能量為電子親和力,其數值在所有元素中最大
14. 已知在標準狀態下,CO 與 CO2 的莫耳生成熱分別為-110.2 kJ/mol 及-393.5 kJ/mol。今有 12.0 克的碳燃燒後得 7.0 克的 CO 與 33.0 克的 CO2,則在此過程中,約有多少熱量(kJ)釋出? (A)84.7 (B)137.5 (C)248.2 (D)322.7 (E)457.8
15. 甲基丙烯酸甲酯中∠HC(sp2 )C(sp2 )為 a、∠HC(sp2 )H 為 b,石墨中碳原子間的鍵角為 c,請問 a、b、c 三個鍵角由大至小 排列,何者正確? (A)a>b>c (B)b>a>c (C)c>a>b (D)c>b>a (E)a>c>b
16. 今取一未知純度之 K 金 50.0 克,與足量之稀硝酸反應,於常溫常壓下,收集到唯一之含氮之氣體 4.9 升,試問此合金中 金的重量百分率為何? (A)38.1% (B)48.1% (C) 51.9% (D) 61.9% (E) 67.8%
17. 右圖是殺蟲劑芬普尼的結構;據此,一個芬普尼分子所含的所有氮原子共有幾對孤對電子? (A)2 (B)4 (C)6 (D)8 (E)10
18. 有一容器裝有 X2、Y2兩種雙原子的氣體分子,其莫耳數比為 1:2,在定溫定壓下反應,反應完成後體積變為原來的1/2,若該反應只有一種產物,並且為氣體,則該氣體產物的分子式可能為何? (A)X2Y (B)XY (C)XY2 (D)X3Y2 (E)X2Y3
19. 取 CrCl3.5NH3(s) 0.01mol 溶於 100 g 水中,則下列敘述何者正確? (A)此錯離子僅有一種結構 (B)若加入足量 Ag+ (aq)可產生 4.305gAgCl(s) (C)此溶液之沸點為 100.01536°C (D)此溶液之凝固點為-0.372°C (E)錯離子中心原子配位數為 4
20. 已知 Zn(OH)2、Mg(OH)2 的 Ksp 各為 a、b,則在二者共同飽和溶液中[Zn2+ ]=? (A)(B) (C) (D)(E)
21. 上完體育課後同學們回到教室休息,此時教室的溫度為 37°C,相對溼度為 80%,因同學感覺悶熱,便將門窗關閉打開冷氣,設定溫度為 27°C,相對溼度為 50%,教室體積為 190 m3(已知 37°C 水的飽和蒸氣壓為 40 mm-Hg,27°C 水的飽和 蒸氣壓為 20 mm-Hg),經一段時間後,室內溫度已維持 27°C,相對溼度 50%,試求冷氣機大約除去多少公斤的水? (A)3.8 (B)4.2 (C)4.6 (D)5.0 (E)5.4
22. 2A(g) → 2B(g)+C(g)的反應在定溫定容下,最初放入 0.5 atm 的 A,經一段時間後,容器內總壓隨時間變化如附表。此反應對 A 而言其反應級數為若干? (A)零級 (B)一級 (C)二級 (D)三級 (E)四級
23. 碳與某元素 X 所形成的 CXn 分子中,各原子的電子總數為 74,而價殼層電子(最外層電子)總數為 32,則 n 等於下列 的哪一數值? (A)1 (B)2 (C)3 (D)4 (E)5
24. 若以奧士華法製備硝酸,試問產生 12.6g 的 HNO3 需要多少 g 的反應物? (A)9.8 (B)13.6 (C)16.2 (D)19.6 (E)22.6
25. 若將某重量之麥芽糖在酸性條件下加熱完全水解並中和後,再加入斐林試劑,完全反應後產生 20g 沉澱物,試問麥芽糖 有多少 g? (A)16 (B) 24 (C) 32 (D)40 (E)48
26. 依據下列表列,下列哪些正確? (A)丙、己、壬皆增大 (B)甲不變,乙增大,丙增大 (C)丁增大,戊不變,己增大 (D)甲、丁、庚皆增大 (E)庚不變,辛增大,壬增大
27. 當 Ni(NH3)42+ 與濃 HCl 反應時,可得兩種皆具相同化學式 Ni(NH3)2Cl2 的化合物(Ⅰ、Ⅱ),化合物Ⅰ與稀 HCl 煮沸可得化合 物Ⅱ;而化合物Ⅰ之溶液與草酸反應可形成 Ni(NH3)2(C2O4)(化合物Ⅲ),但化合物Ⅱ並不與草酸反應,則有關化合物Ⅰ、Ⅱ 的敘述哪些正確? (A)化合物Ⅰ結構為 (四面體);化合物Ⅱ結構為(四面體) (B)化合物Ⅰ結構為 (平面四邊形);化合物Ⅱ結構為 (平面四邊形) (C)化合物Ⅲ結構為(D)化合物Ⅲ結構為(E)化合物Ⅰ與Ⅱ為順反異構物
28. 下列關於各組化合物之比較,哪些正確? (A)酸性:HCl>HClO4>HClO3>HClO (B)鹼性:NaH>CsH>RbH>KH (C)同為 0.1M 時各酸的 pH 值: HF>HCl>HBr>HI (D)鹼性:O2->NH2 ->NO2 - (E) pH 值同為 2 的下列各酸濃度大小:〔CH3COOH〕>〔HNO2〕>〔HBr〕
29. 有關新平橡膠的敘述哪些正確? (A)單體是 CH2=CH-C(CH3)=CH2 (B)單體係由乙烯乙炔和氯化氫縮合反應而得 (C)主要原料為乙炔、氯化氫 (D)若聚 合度為 n,則 1 莫耳新平橡膠中含 3n 莫耳雙鍵 (E)單體俗稱氯丁二烯,新平橡膠稱聚氯丁二烯
30. 鉀與氯氣反應形成氯化鉀,其化學反應式和反應熱如式 1 所示:下表是相關過程的能量變化(ΔH0):根據以上資料,試問下列敘述,哪些正確? (A)甲+乙+丙+丁+戊=-437 kJ/mol (B) 甲>0 (C) 乙>0 (D)丙>0 (E)以相同質量的鉀與氯氣完全反應產生氯化鉀,則氯為限量試劑
31. 化學鍵結對於分子的物理或化學性質有決定性的影響,而混成軌域是解釋化學鍵最常用的理論之一。下列關於混成軌域 的敘述,哪些正確? (A)乙炔的參鍵包含 2 個 σ 鍵與 1 個 π 鍵 (B)乙烯中的 π 鍵是由 2 個碳原子的 sp2 混成軌域重疊而形成 (C)乙炔中的碳原 子有 2 個 sp 混成軌域,其分子形狀為直線 (D)水分子的形狀為彎曲形,其氧原子的 4 個 sp3 混成軌域中,有 2 個具有孤 電子對 (E)三氯化硼中,硼原子有 3 個能量相同的 sp2 混成軌域,分別與 3 個氯的 3p 軌域鍵結,形成 3 個 σ 鍵
32. 兩個容積相等的燒瓶用細管相連接(細管體積省略),在 27°C 下置入 0.6 mol 的氧氣,壓力為0.5 atm。現將其中一個燒瓶浸入 327°C 油浴中(如圖),另一燒瓶仍為 27°C,下列敘述哪些正確? (A)最後壓力為 0.67 atm (B)一個燒瓶體積為 29.52 升 (C)327°C 之燒瓶有 0.4 mol 氧氣 (D)二瓶中氧分子之平均動能比 為 2:1 (E)27°C 之燒瓶的氧氣分子數占全部氧氣分子數的23
33. 請問下列性質的大小順序,哪些正確? (A)電子親和力:F>Cl>Br>I (B)鍵能:H2>Cl2>Br2>F2>I2 (C)沸點:HI>HF>HBr>HCl (D)熔點:NH3>SbH3>AsH3>PH3 (E)水溶液鹼性:三甲胺>二甲胺>甲胺>氨>苯胺
34. 已知 H3PO4 的三個解離步驟之解離常數為 Ka1=7.1×10-3,Ka2=6.2×10-8, Ka3=4.4×10-13,則下列 0.1 M H3PO4溶液中各物種濃度的關係式中,哪些正確? (A)[H3PO4]+[H2PO4 - ]+[HPO42- ]+[PO43- ]=0.1 M (B)[H2PO4 - ]+2[HPO42- ]+3[PO43- ]+[OH- ]=[H+ ] (C)[H2PO4 - ]≒[H+ ]≒4.2×10-3 M (D)[HPO42- ]≒6.2×10-8 M (E)[PO43- ]≒1.2×10-18 M
35. 附圖為由硼砂(Ba2B4O7.10H2O)製備硼元素(熔點:2076 ℃)的方法:下列關於附圖的敘述,哪些正確? (A)步驟①的產物 B(OH)3,屬於單元酸 (B)步驟②不屬於氧化還原反應 (C)步驟③的反應式最簡整數的係數和為 9 (D)步驟④屬於氧化還原反應 (E)步驟⑤較易得到高純度的硼,是因為在高溫下進行時可以將硼汽化後再冷 凝收集
(1)ABS 塑膠
(2)達克綸 (每小格 2 分,共 4 分)
(1) 若溶解於水的空氣不計,7°C 時量筒內的空氣有多少莫耳?
(2) 82°C 時水的飽和蒸氣壓為多少 atm? (每小格 3 分,共 6 分)
(1) 請寫出此反應方程式。(2 分)
(2) 本實驗之實驗流程中何以需加入飽和碳酸氫鈉溶液?(3 分)
(3) 本實驗分離所得之阿司匹靈,欲檢驗其是否尚含有柳酸雜質,需以何試劑試驗?請一併說明判斷標準以及關鍵之產 物可能為何?(3 分)
(4) 本實驗之產率為多少?(2 分)