阿摩線上測驗
登入
首頁
>
技檢◆營造工程管理-甲級
> 115年 - 18000 營造工程管理 甲級 工作項目 08:土方工程 1-47(2026/01/02 更新)#136017
115年 - 18000 營造工程管理 甲級 工作項目 08:土方工程 1-47(2026/01/02 更新)#136017
科目:
技檢◆營造工程管理-甲級 |
年份:
115年 |
選擇題數:
47 |
申論題數:
0
試卷資訊
所屬科目:
技檢◆營造工程管理-甲級
選擇題 (47)
1. 標準貫入試驗貫入打擊數通常用 ______符號表示。(A)P (B)Q (C)M (D)N
2. 三軸試驗 CU 是指______試驗。 (A)不壓密、不排水 (B)壓密、排水 (C)壓密、不排水 (D)不壓密、排水
3. 土壤液化潛在可能發生於______地質基地。 (A)岩質 (B)砂質 (C)黏土 (D)礫石
4. 方格法計算土方邊長為 2 公尺,各方格角挖深如下圖示,求土方為
(A)16.8m
3
(B)18m
3
(C)18.8m
3
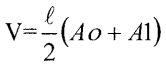
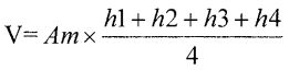
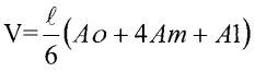
(D)19.2m
3
。
5. 主動土壓力之計算如下圖示,土壤 r=1.8T/m
2
,
=30°,C=0(地下水在 2m 以下),h=2m,主動土壓力為
(A)1.2T/m (B)1.8T/m (C)3.6T/m (D)7.2T/m 。
6. 孔隙比(void ratio,e)係指土壤孔隙體積 Vv 對 (A)土粒實體積 Vs 之比 (B)土壤總體積 V 之比 (C)含水體積 Vw 之比 (D)含氣體積 Va 之比 。
7. 土壤分類中沉泥質砂用 (A)GW (B)ML (C)SC (D)SM 。
8. 土壤分類中 CL 係指 (A)優良級配砂 (B)低壓縮性黏土 (C)有機質黏土 (D)不良級配礫石 。
9. 土壤中水之滲流速度 (A)與水頭成正比 (B)與透水係數成反比 (C)與水頭成反比 (D)與水力坡降成反比 。
10. 地下室開挖,當軟弱黏土地盤因開挖背面土壤重量與支承該土重之下部黏土抵抗力不足,失去穩定而發生開挖底面土壤上升之現象稱為 (A)管湧 (B)隆起 (C)砂湧 (D)液化 。
11. 下列何者擋土工法之施作,正常情況下水密性最高者為 (A)鋼版樁 (B)水泥砂漿樁 (C)鋼軌樁 (D)連續壁 。
12. 在地下開挖中,於安全支撐上加強舖設鋼梁,供施工機具及車輛行駛之區域稱為 (A)施工便道 (B)控制臺 (C)構台 (D)支撐 。
13. CBR 加州承載比試驗法係依據______之規定辦理。 (A)AASHTO T193 (B)AASHTO T191 (C)CNS(D)ACI
14. 填方最大粒徑尺寸,不得大於每層厚度 (A)1/4 (B)1/3 (C)1/2 (D)2/3 。
15. 構造物回填,每層厚度不得大於 (A)15 公分 (B)25 公分 (C)30 公分 (D)40 公分 。
16. 構造物回填,每層壓實密度不得低於 AASHTO T-180 方法 C 所決定最大乾密度之 (A)90% (B)95% (C)85% (D)98% 。
17. 構造物周圍回填材料,如用石塊或礫石摻料回填時,最大粒徑不得大於(A)5 (B)8 (C)10 (D)12 公分。
18. 路堤土方分層填築,分層夯實時,每層厚度不得超過 (A)45 公分 (B)30 公分 (C)20 公分 (D)15 公分 。
19. 當粒料之含水量,達到某一限度時,則密度也達到最大此含水量稱為 (A)最大含水量 (B)最少含水量 (C)最佳含水量 (D)平均含水量 。
20. 工地土壤之壓實度(%)為下列何者? (A)
(B)
(C)
(D)
。
21. 用砂質土壤 100,000M
3
與硬岩 20,000M
3
做為填方之用,假設砂質土壤之變化率為 L=1.2,C=0.90,硬岩 L=1.65,C=1.4,其搬運為______M
3
。 (A)118,000(B)123,000 (C)148,000 (D)153,000
22. 某路之填方為 10000m
3
,附近之借土區為礫石,求其借土邊之體積應為若干?假設礫石之變化率 L=1.15,C=0.9 (A)4,878m
3
(B)8,696m
3
(C)11,111m
3
(D)11,500m
3
。
23. 壓氣沉箱工法,因考量人類所能承受之最大氣壓限度,所以壓氣沉箱施工之深度極限約為多少公尺以內為限? (A)15 (B)25 (C)35 (D)45 。
24. 土積圖之性質,若曲線向下係表示 (A)挖方 (B)半填半挖 (C)填方 (D)維持不變 。
25. 砂樁法之施工:在軟弱之基礎上先舖上一層厚約多少公分之透水砂層?(A)30~60 (B)40~80 (C)50~100 (D)60~120 。
26. 邊坡之傾斜度,常以水準距離與垂直高度之比表示之,例如 2:1 之邊坡,若水準距離為 10 公尺,其垂直高度為若干? (A)5 公尺 (B)6 公尺 (C)8公尺 (D)10 公尺 。
27. 以下那一種土方計演算法較為準確? (A)平均底面積法 (B)稜柱體公式 (C)稜柱體校正法 (D)平均高度計演算法 。
28. 邊坡高度超過多少公尺時,宜設計階段式邊坡及縱向排水? (A)3 (B)4 (C)5(D)6 。
29. 土方計演算法中稜柱公式為______ (A)
(B)
(C)
(D)V=(A×B)/(4×H) 。
複選題
30. 土方運棄時應考慮下列哪些事項? (A)防止污水溢出 (B)土方量應越多越好(C)運送過程應加速行駛 (D)運送時應防止土方外漏 。
複選題
31. 下述何者為土方開挖斷面計算方法? (A)等高線斷面法 (B)三角線斷面法 (C)方格法 (D)平均等高法 。
複選題
32. 有關土石方開挖作業應注意重點,下列敘述何者正確? (A)挖方應自下而上順序開挖 (B)開挖工作進行中應隨時保持良好排水狀況 (C)邊坡有不穩定之材料均應予以挖除或移除 (D)露天開挖作業應設作業主管 。
複選題
33. 填土後需配合進行滾壓夯實作業,以達到規定之壓實密度,有關滾壓夯實施工管理重點,下列敘述何者不正確? (A)填土滾壓時,土質越濕越佳,以利滾壓作業之進行 (B)所填土壤中,如含有硬土塊,須用適當之工具妥為打碎鋪平,並酌量灑水後用適當機具滾壓之 (C)滾壓作業應沿路堤縱向進行,由中心線漸向外緣滾壓,務使每一部分均獲致相等之壓實效果 (D)填方滾壓完成後應做工地密度試驗,如試驗結果未達規定壓實密度時,應繼續滾壓,或以翻鬆灑水或翻曬涼乾後重新滾壓之方法處理,務必達到規定壓實密度為止 。
複選題
34. 地下室開挖過程中,部分地層會因開挖面無法抵抗受壓水層之向上浮力,而造成開挖面隆起,連帶影響中間樁及內支撐系統之安全,此類型破壞不易發生於下列何種地質條件? (A)開挖面底部為一較薄之砂土層,且其下為受壓水層 (B)開挖面底部為一較厚之黏土層,且其下為受壓水層 (C)開挖面底部為一較薄之黏土層,且其下為受壓水層 (D)開挖面底部為一較厚之砂土層,且其下為受壓水層 。
複選題
35. 有關土方工程施工的敘述,下列哪些為錯誤? (A)所有挖方除隧道外,應自下而上順序開挖 (B)挖方除利用於填方外,其餘棄土之遠運及棄置地點,除另有規定外,由承包商自覓,日後如有損害他人權益發生糾紛或違反環保規定,概由承包商自行負責 (C)斜坡開挖期間視土質情況需要於開挖坡面鋪設防水帆布或噴漿護坡,以避免崩塌 (D)鋤土機與拖斗挖泥機開挖土方的方式為前進形式 。
複選題
36. 有關土方工程施工之敘述,下列哪些為正確? (A)測定工地密度可使用砂錐法、橡皮薄膜法及核子密度法 (B)各層滾壓完成後,應先作全面目視檢查,可利用 CBR 試驗或工地密度試驗 (C)工地密度試驗之地點應以隨機方法決定 (D)當以石料為主要材料填築路堤,以及填築至路基頂面、級配料頂面時,可採用工地密度檢驗來確認填築之壓實度 。
複選題
37. 下列哪些為土方挖方之土石分類? (A)軟泥土 (B)普通土 (C)砂礫土 (D)硬岩 。
複選題
38. 填築道路路堤所需之材料可取自下列哪些來源? (A)路幅開挖 (B)基礎開挖(C)營建回收 (D)借土 。
複選題
39. 填築填方各層滾壓完成後應作壓實度檢驗,下列哪些試驗法可檢驗工地密度? (A)全面目視檢查 (B)砂錐法 (C)核子密度儀法 (D)滾壓檢驗法 。
複選題
40. 下列哪些為地盤改良之主要目的? (A)增加地盤之承載力 (B)抑制地盤之變形 (C)增加地盤之透水性 (D)維持與增進地盤之耐久性 。
複選題
41. 土壤分類中篩分析試驗所使用之篩號與混凝土細粒料篩分析之標準篩號不完全相同,下列哪些篩號是兩種試驗皆使用者? (A)#4 (B)#16 (C)#40 (D)#100 。
複選題
42. 土壤試驗使用之阿太堡試驗可獲得下列哪些土壤性質之指標? (A)液性限度 (B)液性指數 (C)縮性限度 (D)塑性指數 。
複選題
43. 下列哪些係屬於地質調查鑽孔作業內容? (A)地盤之承載力 (B)擾動與原狀土壤之取得 (C)水質樣本之採取 (D)地下水位觀測井之安裝 。
複選題
44. 有關原狀土樣之敘述,下列哪些為正確? (A)採取原狀土樣之目的,為取得受到極少擾動,且最接近土壤實際狀況之土壤組成樣本 (B)如套管係以錘擊方式打入地層,則取樣應於套管尖端以下 30cm 處進行 (C)取樣器應緩慢放入套管底部,並使用夯錘打擊取樣器壓入土層,使土壤填塞薄管取樣器內之長度 (D)加蓋密封後,土樣管應避免過度暴露於熱、振動、撞擊及其他不利情況 。
複選題
45. 有關點井工法應用的原理、時機與適用性的敘述,下列哪些為正確? (A)採用高度真空排水的原理 (B)適用於沉泥地盤的地層 (C)使用於需要強制集中地盤水分的時機 (D)採用重力排水的原理 。
複選題
46. 下列哪些屬於直接基礎? (A)樁基礎 (B)獨立基腳 (C)聯合基腳 (D)沉箱基礎 。
複選題
47. 在地下水處理工法中,下列哪些屬於重力式排水工法? (A)西姆式深井排水法 (B)電氣滲透排水法 (C)深井排水法 (D)集水坑排水法 。
申論題 (0)
相關試卷
115年 - 18000 營造工程管理 甲級 工作項目 11:機電及設備 51-78(2026/01/02 更新)#136022
115年 · #136022
115年 - 18000 營造工程管理 甲級 工作項目 11:機電及設備 1-50(2026/01/02 更新)#136021
115年 · #136021
115年 - 18000 營造工程管理 甲級 工作項目 10:結構體工程 51-80(2026/01/02 更新)#136020
115年 · #136020
115年 - 18000 營造工程管理 甲級 工作項目 10:結構體工程 1-50(2026/01/02 更新)#136019
115年 · #136019
115年 - 18000 營造工程管理 甲級 工作項目 09:地下工程(含基礎工程) 1-42(2026/01/02 更新)#136018
115年 · #136018
115年 - 18000 營造工程管理 甲級 工作項目 07:假設工程及施工機具 51-84(2026/01/02 更新)#136016
115年 · #136016
115年 - 18000 營造工程管理 甲級 工作項目 07:假設工程及施工機具 1-50(2026/01/02 更新)#136015
115年 · #136015
115年 - 18000 營造工程管理 甲級 工作項目 06:測量及放樣 51-114(2026/01/02 更新)#136014
115年 · #136014
115年 - 18000 營造工程管理 甲級 工作項目 06:測量及放樣 1-50(2026/01/02 更新)#136013
115年 · #136013
115年 - 18000 營造工程管理 甲級 工作項目 05:工程管理 51-89(2026/01/02 更新)#136012
115年 · #136012