所屬科目:技檢◆電腦軟體設計共同科目
(A)所要挖掘道路的總長度為 15 (B)1-2 路段是不必要挖掘 (C)2-5 路段是要挖掘 (D)共有 5 條路段是不必要挖掘 。
(A)2-3 路段是要挖掘 (B)0-4 路段是要挖掘 (C)3-4 路段是要挖掘 (D)2-5 路段是要挖掘 。
(A)1-2 (B)2-3 (C)3-5 (D)4-5 。
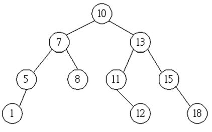
(A)異動後之 AVL Tree 其樹根為 7 (B)異動後之 AVL Tree 其樹根為 10 (C)異動後之 AVL Tree 其樹根為 11 (D)異動後之 AVL Tree 其樹根為 13 。
(A)異動後之 AVL Tree 其葉節點共 5 個 (B)異動後之 AVL Tree 其分支度為 1 之節點共 3 個 (C)異動後之 AVL Tree 其分支度為 2 之節點共 4 個 (D)異動後之 AVL Tree 其 Preorder 為 13, 7, 5,1,8,10,11,12,15,18 。
(A)需做一次 single rotation 及一次 double rotation (B)僅需做一次 single rotation(C)僅需做一次 double rotation (D)需做二次 single rotation 。
(A)異動後之 AVL Tree 其樹根為 10 (B)異動後之 AVL Tree 其樹根為 11 (C)異動後之 AVL Tree 其樹根為 12 (D)異動後之 AVL Tree 其樹根為 13 。
(A)異動後之 AVL Tree 其樹根節點為 12 (B)異動後之 AVL Tree 其葉節點共有 5 個(C)異動後之 AVL Tree 其分支度為 1 之節點共 4 個 (D)異動後之 AVLTree 其 Preorder 為 10,7,5,1,8,13,11,12,15,17,18 。
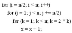
(A)θ(log n) (B)θ(n log n)(C)θ(n ) (D)θ(n2 ) 。
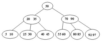
(A)插入鍵值(Key)50 於原始 B-tree,則此 B-tree 之節點共有 1 次分裂(Split) (B)插入鍵值(Key)20 於原始 B-tree,則此 B-tree 之節點共有 1 次分裂(Split)(C)插入鍵值(Key)25 於原始 B-tree,則此 B-tree 之高度會增加 (D)插入鍵值(Key)80 於原始 B-tree,則鍵值 45 是放在根(Root)節點內 。
(A)插入鍵值(Key)55 於原始 B-tree,則此 B-tree 之節點共有 1 次分裂(Split) (B)插入鍵值(Key)10 於原始 B-tree,則此 B-tree 之節點共有 1 次分裂(Split)(C)插入鍵值(Key)50 於原始 B-tree,則此 B-tree 之高度會增加 (D)插入鍵值(Key)60 於原始 B-tree,則鍵值 56 是放在根(Root)節點內 。
(A)插入鍵值(Key)20 於原始 B-tree,則此 B-tree 之節點共有 1 次分裂(Split) (B)插入鍵值(Key)65 於原始 B-tree,則此 B-tree 之節點共有 1 次分裂(Split)(C)插入鍵值(Key)80 於原始 B-tree,則此 B-tree 之高度會增加 (D)插入鍵值(Key)85 於原始 B-tree,則鍵值 60 是放在(51,52,53)節點內 。
(A)Complete Binary Tree (B)Heap (C)AVL Tree (D)B+ Tree 。
(A)該 B-tree 之分支度(Order)不可能為3 (B)該 B-tree 之分支度(Order)不可能為 5 (C)該 B-tree 之分支度(Order)可能為 2 或 3 或 4 (D)該 B-tree 之分支度(Order)可能為 3 或 4 或 5 。
(A)mysteryX(0)之結果為 0 (B)mysteryX(3)之結果為 8 (C)mysteryX(5)之結果為 240 (D)mysteryX(7)之結果為 5040 。
(A)mysteryY(0,0)之結果為 0 (B)mysteryY(0,0)之結果為 2 (C)mysteryY(0,0)之結果為 4 (D)mysteryY(0,0)之結果為 8 。
(A)mysteryY(0,3)之結果為 60 (B)mysteryY(0,3)之結果為 80 (C)mysteryY(0,3)之結果為 100 (D)mysteryY(0,3)之結果為 120 。
(A)mysteryY(1,0)之結果為 20 (B)mysteryY(1,0)之結果為 30 (C)mysteryY(1,0)之結果為 60 (D)mysteryY(1,0)之結果為 120 。
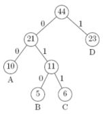
(A)A (B)B (C)C (D)D 。
(A)θ(log n) (B)θ(n log n)(C)θ(n2 ) (D)θ(n ) 。
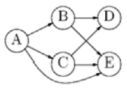
(A)ACDEB (B)ABDEC (C)ABDCE (D)AECDB 。
(A)ABCDE (B)ABCED (C)ACBED (D)AEBCD 。
(A)θ(n3 ) (B)θ(n2 log n)(C)θ(n(log n)2 ) (D)θ(n log n) 。