阿摩線上測驗
登入
首頁
>
研究所、轉學考(插大)-應用數學
> 87年 - 87 淡江大學 轉學考 應用數學#56404
87年 - 87 淡江大學 轉學考 應用數學#56404
科目:
研究所、轉學考(插大)-應用數學 |
年份:
87年 |
選擇題數:
0 |
申論題數:
6
試卷資訊
所屬科目:
研究所、轉學考(插大)-應用數學
選擇題 (0)
申論題 (6)
【已刪除】1
【已刪除】2. Given the force F=xyi - y
2
j,find the work done by F along the paths indicated in Fig. 1 from (0,0) to (2,1). (20%)
3. Solve differential equation x
2
y' - 2xy = 1/x. (20%)
【已刪除】(a)
【已刪除】(b)
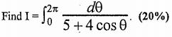
【已刪除】5.