阿摩線上測驗
登入
首頁
>
環境規劃與管理
> 88年 - 88 專技高考_環境工程技師:環境規劃與管理#39243
88年 - 88 專技高考_環境工程技師:環境規劃與管理#39243
科目:
環境規劃與管理 |
年份:
88年 |
選擇題數:
0 |
申論題數:
5
試卷資訊
所屬科目:
環境規劃與管理
選擇題 (0)
申論題 (5)
一、我國在建立永續發展評量系統時應考慮那些特色?若以「環境狀態」為主要範疇時 ,那些指標可以做為永續性之評量指標?其分別包含之環境品質參數又為何? (25分)
二、試以一工程款達五千萬元新台幣以上之環境工程案為例(可舉廢水工程、自來水工 程、空氣污染防制、嗓音控制、河川污染整治、土壌污染復育、或垃圾處理等任何 一類為例),說明其施工管理之要項、填報表格類別與流程。(20分)
三、試比較「排放費制度」和「可轉讓排放許可證制度」之相異點與採用時機。(15分)
㈠比較「同等百分數處理效率管制」、「總費用最小的廢水處理管制」、「分區執 行同等百分數消減管制j三方案之處理費用。(20分)
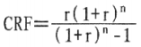
【已刪除】㈡若採用年利率r=0.10,試決定每100kg BOD排放應收多少排放費,才可以用排 放費制度以達到總費用最小的管制。(註:資本回收係數
(20分)
相關試卷
114年 - 114 地方政府公務、離島地區公務特種考試_四等_環保行政、環保技術:環境規劃與管理概要#134623
114年 · #134623
114年 - 114 地方政府公務特種考試_三等_環保技術:環境規劃與管理#134569
114年 · #134569
114年 - 114 地方政府公務、離島地區公務特種考試_三等_環保行政:環境規劃與管理#134524
114年 · #134524
114年 - 114 專技高考_環境工程技師:環境規劃與管理#133563
114年 · #133563
114年 - 114 公務升官等考試_薦任_環保技術:環境規劃與管理#133174
114年 · #133174
114年 - 114 公務升官等考試_薦任_環保行政:環境規劃與管理#133075
114年 · #133075
114年 - 114 高等考試_二級_環境工程:環境規劃與管理#131552
114年 · #131552
114年 - 114 高等考試_三級_環保行政:環境規劃與管理#128571
114年 · #128571
114年 - 114 高等考試_三級_環保技術:環境規劃與管理#128414
114年 · #128414
114年 - 114 普通考試_環保行政、環保技術:環境規劃與管理概要#128396
114年 · #128396