阿摩線上測驗
登入
首頁
>
環境化學與環境微生物學
> 88年 - 88-1 專技高考_環境工程技師:環境化學與環境微生物學#50016
88年 - 88-1 專技高考_環境工程技師:環境化學與環境微生物學#50016
科目:
環境化學與環境微生物學 |
年份:
88年 |
選擇題數:
0 |
申論題數:
6
試卷資訊
所屬科目:
環境化學與環境微生物學
選擇題 (0)
申論題 (6)
一、石油之化學組成爲何?石油污染對生態環境有何不良影響?簡述微生物分解石油之 兩種機制。(20分)
二、優養化產生的條件有那些?並試舉出可做爲水體營養程度的指標。(20分)
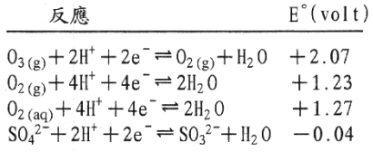
【已刪除】三、在空氣污染控制程序中,主要程序之一爲去硫步驟。是將廢氣中二氧化硫氣體 (SO
2(g)
)溶入水中形成亞硫酸(H
2
SO
3
)。然後將鹼加入水中使亞硫酸解離成亞硫酸根 離子(SO
3
2-
)。隨後再將亞硫酸根離子氧化成硫酸根離子。請計算此氧化作用之自由 能(AG)。(20分)
已知:T=25℃ I(離子強度)=0.1 [O
2(aq)
] = 2x10
-4
M
[SO
4
2-
] :[SO
3
2-
]=100: 1
四、革蘭氏陰性(G-)和革蘭氏陽性(G+)細菌之細胞壁構造有何不同?爲何革蘭氏陰性細 菌對抗生素較革蘭氏陽性細菌有抵抗力?(20分)
【已刪除】 ㈠
【已刪除】 ㈡
相關試卷
114年 - 114 地方政府公務特種考試_三等_環境工程、環保技術、環境檢驗:環境化學與環境微生物學#134794
114年 · #134794
114年 - 114 專技高考_環境工程技師:環境化學與環境微生物學#133664
114年 · #133664
114年 - 114 公務升官等考試_薦任_環境工程、環保技術、環境檢驗:環境化學與環境微生物學#133117
114年 · #133117
114年 - 114 高等考試_二級_環境工程:環境化學與環境微生物學#131581
114年 · #131581
114年 - 114 高等考試_三級_環境工程、環保技術、環境檢驗:環境化學與環境微生物學#128512
114年 · #128512
113年 - 113 地方政府公務特種考試_三等_環境工程、環保技術:環境化學與環境微生物學#124475
113年 · #124475
113年 - 113 專技高考_環境工程技師:環境化學與環境微生物學#123903
113年 · #123903
113年 - 113 中央印製廠_新進人員甄試_環工工程員:環境化學、環境微生物學及廢棄物管理工程#123199
113年 · #123199
113年 - 113 高等考試_二級_環境工程:環境化學與環境微生物學#123082
113年 · #123082
113年 - 113 高等考試_三級_環境工程:環境化學與環境微生物學#121288
113年 · #121288