阿摩線上測驗
登入
首頁
>
研究所、轉學考(插大)-流體力學
> 89年 - 89 淡江大學 轉學考 流體力學#56434
89年 - 89 淡江大學 轉學考 流體力學#56434
科目:
研究所、轉學考(插大)-流體力學 |
年份:
89年 |
選擇題數:
0 |
申論題數:
5
試卷資訊
所屬科目:
研究所、轉學考(插大)-流體力學
選擇題 (0)
申論題 (5)
1 . (20%) In a two-dimensional, planar flow of an incompressible fluid,the x-component of velocity is given by
u = x
2
+ x - 2y
Can you find an expression for v?
2. (20%) The velocity field of a steady, incompressible flow is given as
V = (3x
2
- 2xy)i + (y
2
- 6xy + 3 yz
2
)j -(z
3
+ xy
2
)k.
Determine the pressure gradient at the position (x,y,z) = (2,3,1),
3. (20%) Calculate the circulation about the square enclosed by x = ±1 and y = ±1 in the xy-plane for the two-dimensional flow given by V = (3x
2
+ y)i - (6xy + x)j
【已刪除】4. (20%) A steady,two-dimensional, incompressible flow occurs between two fixed plane surfaces spaced at a distance b apart. The velocity profile is a parabola with its vertex at the center line. Determine the stream
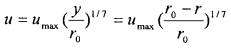
【已刪除】5. (20%) For turbulent flow in a smooth pipe with pVD/μ < 10
5
,the velocity profile in the turbulent core can be approximated by the following power equation:
where y and r are respectively the distances measured from the pipe wall and the pipe axis, and ro is the radius of the pipe. What is the average velocity V of this pipe flow if expressed in u
max
?
相關試卷
110年 - 110 國立臺灣大學_碩士班招生考試_土木工程研究所水利工程組(一般生)、土木系水利組(在職生):流體力學(C)#125259
110年 · #125259
110年 - 110 國立臺灣大學_碩士班招生考試_部分系所:流體力學(D)#105721
110年 · #105721
110年 - 110 國立中央大學_碩士班招生考試_大氣科學學系大氣物理:流體力學#105489
110年 · #105489
110年 - 110 國立清華大學碩士班考試入學試題_工程與系統科學系/乙組:流體力學#104987
110年 · #104987
110年 - 110 國立中山大學_碩士暨碩士專班招生考試_海科系碩士班選考:流體力學#104399
110年 · #104399
110年 - 110 國立中央大學_碩士班招生考試_土木工程學系/水資源工程組(一般生):流體力學#103900
110年 · #103900
110年 - 110 國立中央大學_碩士班招生考試_環境工程研究所/乙組(一般生):流體力學#103842
110年 · #103842
110年 - 110 國立臺灣大學_碩士班招生考試_海洋所物理與化學與地物組(3組聯招):流體力學(H)#100948
110年 · #100948
110年 - 110 國立臺灣大學_碩士班招生考試_部分系所:流體力學(F)#100938
110年 · #100938
110年 - 110 國立臺灣大學_碩士班招生考試_應用力學研究所乙組:流體力學(A)#100922
110年 · #100922