所屬科目:台電◆電工原理
9.在Y接平衡三相系統中,線電壓大小是相電壓大小之(A)倍(B)(C)倍(D)2倍
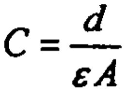
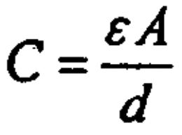
13.兩平行板面積為Am2,相距dm,介質的介電係數為εF/m 則此電容器之電容量為(A)(B)(C)(D)
14.下所示電路,a、b兩端之戴維寧等效電路的ETH及RTH分別為(A)6V、1Ω(B)3V,2Ω(C)5V,3Ω(D)4V ,2Ω
15.下圖中各電阻均為1Ω則Rab等於(A)(B)(-1)Ω(C)(D)
10.某負載之電壓與電流分別為伏特,安培,則此負載之阻抗為電感性。(A) O(B) X
7.有一交流電路之端電壓,其消耗有效功率為_____
8.下圖所示電路,當RL調至可得到最大功率時,電源供應之功率為_瓦特。
9.有一色碼電阻之四個色帶依序為紅、綠、橙、金則此電阻之誤差範圍為±_KΩ