阿摩線上測驗
登入
首頁
>
環境化學與環境微生物學
> 90年 - 90 基層公務特種考試_三等_環保技術:環境化學與環境微生物學#46030
90年 - 90 基層公務特種考試_三等_環保技術:環境化學與環境微生物學#46030
科目:
環境化學與環境微生物學 |
年份:
90年 |
選擇題數:
0 |
申論題數:
9
試卷資訊
所屬科目:
環境化學與環境微生物學
選擇題 (0)
申論題 (9)
(一)Methanogens
(二) Nitrosomonas
(三)Methane-oxidizing bacteria
(四)Iron bacteria
(五)Hydrogen bacteria
二、某一純種的厭氧菌,醱酵作用產生甲酸、乳酸、醋酸、丁酸、琥珀酸、 酒精、二氧化破、氫氣(formic,lactic,acetic,butyric, succinic acid, ethanol, co2,h2),若此純種厭氧菌和甲烷菌組成混合族群,則此代謝產物會如 何改變,為什麽?(20分)
【已刪除】三、土壤中典型的硝化反應(Nitrification)之化學反應式如下:
假設此反應之[矿]等於0.3M碳酸水解之酸度(K
1
=4.45✖10
-7
,K2=4.69✖10
-11
)而0
2(aq)
為與大氣達平衡時之濃度(Henry’s constant為 1.28xl(T3 moles/1 . atm),此外反應達平衡時[N0
3
_
]為[NH
4
+
]之4倍,求 此反應之pE° 、E° (3分)、pE(3分)、E(3分)、△G° (4分)與 △G。
四、配製微生物培養基時,應滿足那些營養需求?(20分)
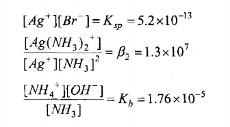
五、計算0.0200M氨水溶液中AgBr的溶解度。(20分) 已知平衡常數如下
相關試卷
114年 - 114 地方政府公務特種考試_三等_環境工程、環保技術、環境檢驗:環境化學與環境微生物學#134794
114年 · #134794
114年 - 114 專技高考_環境工程技師:環境化學與環境微生物學#133664
114年 · #133664
114年 - 114 公務升官等考試_薦任_環境工程、環保技術、環境檢驗:環境化學與環境微生物學#133117
114年 · #133117
114年 - 114 高等考試_二級_環境工程:環境化學與環境微生物學#131581
114年 · #131581
114年 - 114 高等考試_三級_環境工程、環保技術、環境檢驗:環境化學與環境微生物學#128512
114年 · #128512
113年 - 113 地方政府公務特種考試_三等_環境工程、環保技術:環境化學與環境微生物學#124475
113年 · #124475
113年 - 113 專技高考_環境工程技師:環境化學與環境微生物學#123903
113年 · #123903
113年 - 113 中央印製廠_新進人員甄試_環工工程員:環境化學、環境微生物學及廢棄物管理工程#123199
113年 · #123199
113年 - 113 高等考試_二級_環境工程:環境化學與環境微生物學#123082
113年 · #123082
113年 - 113 高等考試_三級_環境工程:環境化學與環境微生物學#121288
113年 · #121288