所屬科目:醫學二:100題 ( 包括生理學,生化學,藥理學,病理學等科目及其臨床相關知識 )
1. 下列有關血紅素(hemoglobin)的敘述何者正確? (A)變性血紅素(methemoglobin)含有兩個鐵離子() (B)正常成年人的血紅素含有兩條α鏈與兩條δ鏈 (C)血紅素只能攜帶氧氣(O₂) (D)血紅素、肌紅素(myoglobin)與細胞色素C(cytochrome C)均含有血基質(heme)
2. 在動物實驗中測出菊糖(inulin)在動脈血漿的濃度是15mg/L,在腎靜脈血漿的濃度是12mg/L,此動物 的濾過分數(filtration fraction)值是: (A)0.12 (B)0.15 (C)0.20 (D)0.40
3. 在動脈粥狀硬化的早期病灶當中所出現的foam cell是屬於下列何種細胞? (A)含大量LDL的巨噬細胞(macrophages) (B)含大量chylomicron的巨噬細胞 (C)含大量VLDL的血管內皮細胞 (D)含大量IDL的血管平滑肌細胞
4. 若第一秒用力呼氣呼出的容積為FEV₁,用力呼氣全程所呼出的氣量為FVC,相較於正常人,限制性 肺病(restrictive lung disease)的病人會有: (A)較小的FVC與FEV₁/FVC比值 (B)較大的FVC與FEV₁/FVC比值 (C)較小的FVC與近乎正常的FEV₁/FVC比值 (D)近乎正常的FVC與較小的FEV₁/FVC比值
5. 下列有關NMDA(N-methyl-D-aspartate) receptor和AMPA(α-amino-3-hydroxy-5-methyl-4-isoxazoleproprionate) receptor之比較,何者不正確? (A)在生理情況下,兩者皆為神經傳導物質glutamate之受體 (B)兩者皆為陽離子通道,且皆對鈣離子有相若且顯著之通透性 (C)在生理情況下,兩者被活化時多是傾向於造成膜電位之去極化(depolarization)而非過極化(hyperpolarization) (D)NMDA receptor主要只見於神經元,而AMPA receptor則可存在於神經元和神經膠細胞(glial cells)
6. 腸道細菌的過度繁殖會導致貧血的主要原因為何? (A)缺鐵 (B)失血 (C)因細菌將內生因子(intrinsic factor)分解,使之無法與Vit. B₁₂結合 (D)因菌毒素使胃壁細胞無法分泌內生因子 (E)因細菌與Vit. B₁₂結合,使Vit. B₁₂在腸道的吸收不足 (F)因菌毒素破壞了Vit. B₁₂內生因子在黏膜細胞的受體
7. 高頻率的聲音主要是興奮那一部位的毛細胞? (A)靠近耳蝸管的基部(base) (B)耳蝸管的中間部位 (C)靠近耳蝸管的頂部(apex) (D)耳蝸管的所有部位
8. 下列那一項不是骨骼肌與平滑肌之共同點? (A)含有myosin及actin (B)肌細胞質內之鈣離子濃度之上升導致肌肉收縮 (C)myosin light chain kinase控制肌肉收縮 (D)ATP為肌肉收縮所需能量之直接來源
9. 惡性貧血(pernicious anemia)的成因為: (A)缺鐵 (B)無法吸收維生素B12 (C)失血(D)紅血球生成素分泌不足
10. 正常情況下,下列何者之清除率可代表腎臟之腎絲球濾過率? (A)三酸甘油酯(triglyceride) (B)鈉離子(sodium) (C)菊糖(inulin) (D)尿素(urea)
11. 人工節律器(pacemaker)的功用在: (A)刺激心室收縮 (B)刺激心房收縮 (C)刺激心房及心室同時收縮 (D)防止心室收縮
12. 食道之弛緩不能(achalasia)與食道下部缺乏何種神經元有關? (A) Substance P-containing neuron (B) Bombesin-containing neuron (C)VIP-containing neuron (D)Neurotensin-containing neuron
13. 住在玉山頂一段期間後,會使氧與血紅素的解離曲線(oxygen dissociation curve)向右邊移動,這表示 血紅素與氧結合的能力: (A)增加 (B)降低 (C)不變 (D)先增加後降低
14. 下列何種激素的主要生理作用之一為促進胰臟分泌富含HCO₃⁻的胰液? (A)胰泌素(secretin) (B)胃抑胜肽(gastric inhibitory peptide) (C)膽囊收縮素(CCK) (D)血管活性胜肽(VIP)
15. 正常情況下,自小腸進入大腸的水分當中約有多少會被大腸吸收? (A)5% (B)10% (C)30% (D)90%
16. 病人因腦中風,發生失語症(aphasia),雖然對別人說的話都還聽得懂,但自己卻很少說話。偶而說話, 句子都很簡短,而且句中也常有文法錯誤之處(grammatical errors)。此病人大腦最可能受傷之區域為: (A)Broca area (B)Wernicke area (C)Arcuate fasciculus (D)Angular gyrus
17 褪黑素(melatonin)係由何種神經傳導物所合成的? (A)多巴胺(dopamine) (B)血清張力素(scrotonin) (C)腎上腺素(epinephrine) (D)γ-胺基丁酸(GABA)
18 水晶體失去彈性時會造成: (A)散光眼 (B)遠視眼 (C)老花眼 (D)白內障
19 冠狀動脈血流量(coronary blood flow)在心週期的那一時期最大? (A)等體積收縮期(isovolumetric contraction period) (B)等體積舒張期(isovolumetric relaxation period) (C)噴血期(ejection period) (D)充血期(filling period)
20 下列何者會促進第一型類胰島素生長因子(insulin-like growth factor-1)的分泌? (A)糖皮質激素(glucocorticoid) (B)胰島素分泌不足 (C)生長激素(growth hormone) (D)醛固酮(cortisol)
21 細胞內成熟的mRNA可由下列何者催化促成? (A)Abzyme (B)Exoribonuclease (C)Ribozyme (D)Cys.
22 下列何種胺基酸之側鍵在生理的酸鹼度(pH)時帶有負電荷? (A)Ala. (B)Asn. (C)Asp. (D)Cys.
23 乳酸脫氫酶(lactate dehydrogenase; LDH)由4個次單元組成,而每一次單元可為M或H形,則LDH可以有幾種同功酶(isozyme)? (A)2 (B)3 (C)4 (D)5
24 當鈉鉀腺苷三磷酸酶(Na+,K+-ATPase)受到強心劑毛地黃素(digitalis)的抑制時,細胞內的那些離子濃度會增加? ①鈉 ②鉀 ③鈣 ④鎂 (A)①② (B)①③ (C)②③ (D)②④
25 下列何種反應為阿斯匹靈(aspirin)抑制環化加氧酶(cyclooxygenase)的作用機制? (A)Acetylation (B)Hydroxylation (C)Oxidation (D)Reduction
26 下列那一選項所列的單糖具表異構物(epimers)的關係? (A)Glucose, mannose, fructose (B)Glucose, mannose,galactose (C)Ribose,ribulose, fucose (D)Deoxyribose, ribose, galactose
27 在人體內膽固醇合成路徑中,催化“速率限制步驟”的酵素是 (A)HMG-CoA synthase (B)HMG-CoA synthetase (C)HMG-CoA oxidase (D)HMG-CoA reductase
28 當細胞內含有1mM ATP,0.4mM ADP和0.2mM AMP時,其能量載滿度(energy charge)之值為何? (A)0.875 (B)0.750 (C)0.600 (D)0.150
29 抗癌藥氟尿嘧啶(5-fluorouracil)被認為是“自殺型抑制劑”,它可抑制下列何種酵素? (A)Dihydrofolate reductase (B)Tetrahydrofolate reductase (C)Thymidylate synthase (D)Ribonucleotide reductase
30 在肌肉的收縮過程中,採用下列何種能源及代謝方式可以在單位時間(秒)內產生最多的ATP? (A)肌肉的glycogen代謝至CO2 (B)肌肉的glycogen代謝至lactate (C)肝臟的glycogen代謝至CO2 (D)脂肪組織的fatty acids代謝至CO2
31 一氧化氮合成酶(NOS)可催化下列何者和氧作用而產生NO? (A)L-Arginine (B)L-Citrulline (C)Spermidine (D)Spermine
32 下列何者為人類營養上的必須胺基酸? (A)Glycine (B)Alanine (C)Tyrosine (D)Lysine
33 嘧啶(pyrimidine)環上的氮原子在其生合成時源自於下列何項化合物組合? (A)Glutamine 和NH3 (B)Carbamoyl phosphate 和glutamate (C)Aspartate 和carbamoyl phosphate (D)Glutamine 和glutamate
34 下列何種胞器負責糖化作用和蛋白質的分類? (A)Lysosome (B)Golgi apparatus (C)Mitochondria (D)Peroxisome
35 下列何種抗生素其抑制蛋白質合成的原理是因為和aminoacyl-tRNA的化學結構式相似之故? (A)Tetracycline (B)Chloramphenicol (C)Puromycin (D)Erythromycin
36 鈣離子在細胞外的濃度約為在細胞內的幾倍? (A)5至10 (B)50至100 (C)500至1,000 (D)5,000至10,000
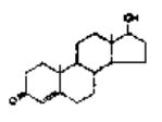
37 具有下列構造式之化合物為一種: (A)Androgen (B)Estrogen (C)Glucocorticoid (D)Mineralocorticoid
38 具有下列構造式之化合物為: (A)Dopa (B)Dopamine (C)Norepinephrine (D)Epinephrine
39. 常吃生的蛋白容易導致下列何種維生素的缺乏? (A)Avidin (B)Biotin (C)Niacin (D)Thiamin
40. 下列何者維生素不能當做抗氧化劑? (A) Ascorbic acid (B)Vitamin A (C)Vitamin E (D) Vitiamin K
41. 靜脈麻醉藥物ketamine作用的分子機轉是阻斷下列何種受體? (A)GABAA (B)5-HT (C)NMDA (D)乙醯膽鹼(acetylcholine)
42. 高血壓婦女在服用angiotensin converting enzyme(ACE)抑制劑後,最常見的副作用是 (A)低血糖 (B)頭暈 (C)咳嗽 (D)月經停止
43. 下列何者為刺激腎臟產生紅血球生成素(erythropoietin)之主要因素? (A)低血氧 (B)缺氧 (C)低鉀症 (D)鹼中毒
44. 干擾素(interferons)具有對抗病毒與誘發免疫反應之作用,其中那一型干擾素對於提升免疫功能最強? (A)α (B)β (C)γ (D)δ
45. 器官移植後使用的cyclosporine之作用為: (A)抑制interleukin 之生合成 (B)抑制嘌呤之生合成 (C)抑制嘧啶之生合成 (D)Alkylate DNA
46. 下列何項在嬰兒比成人大? (A)Inulin清除率 (B)P-Aminohippuric acid清除率 (C)總身體水份對體重之比率 (D)肝臟代謝藥物能力
47. 下列何種藥物會抑制warfarin之代謝? (A)Disulfiram (B)Ethchlorvynol (C)Phenytoin (D)Glutethimide
48. 下列何者與胰島素製劑併用時,可能會掩蓋病人低血糖的症狀而導致危險? (A)Cimetidine (B)Diazepam (C)Propranolol (D)Griseofulvin
49. 下列有關bromocriptine之敘述中,何者不正確? (A)可抑制正常人肢端肥大症病人之生長荷爾蒙的分泌 (B)可用於治療泌乳激素分泌的腺瘤 (C)可用於治療帕金森氏疾病 (D)有姿態性低血壓之副作用
50. 下列何者俗稱FM-2? (A) Secobarbital (B)Amphetamine (C)Flunitrazepam (D)Cocaine
51. 患有妊娠性高血壓的婦女適合使用下列那種降血壓藥物來控制血壓? (A) Methyldopa (B)Propranolol (C)Prazosin (D)Lisinopril
52. 下列何者抑制xanthine oxidase而减少uric acid的合成,被用來治療痛風? (A)Probenecid (B)Colchicine (C)Allopurinol (D) Indomethacin
53. 藥物過敏可分四型,那一型主要牽涉T淋巴球? (A)第一型 (B)第二型 (C)第三型 (D)第四型
54. 患有重肌無力症(myasthenia gravis)之病人使用下列何種抗生素會加重其肌肉無力之病情? (A)Neomycin (B)Tetracycline (C)Clindamycin (D)Penicillin
55. 下列何者為acetaminophen過量中毒最嚴重的毒性作用? (A)腎臟毒性 (B)中樞神經毒性 (C)抑制呼吸功能 (D)肝臟毒性
56. 下列何種藥物組合最適宜治療間日瘧(plasmodium vivax)感染? (A)Quinine+pyrimethamine (B)Clindamycin+quinine (C)Chloroquine+primaquine (D)Metronidazole+proguanil
57. 一藥物之平均清除率為2.5L/h/70kg,要維持有效標的(target)濃度10mg/L,則對-70kg病人每12小時需靜脈輸注多少維持劑量? (A)25mg (B)30mg (C)50mg (D)300mg
58. 下列何種受體不在細胞膜上? (A) Aldosterone receptor (B)Glycine receptor (C)Histamine receptor (D)Transforming growth factor-beta(TGF β) receptor
59. 藥物A之血漿中衰期(t½)為2小時,當連續輸注此藥達穩定血中濃度2mg/ml後停止輸注,則至少要等幾小時後血中濃度才會大約降至0.12mg/ml? (A)4 (B)15 (C)6 (D)8
60. 下列有關基因療法之敘述,何者不正確? (A)目前最流行之策略為添加非變異之基因進入細胞 (B)Retrovirus為主之載體只能轉送DNA至分裂中的細胞 (C)Adenovirus為主之載體能轉送DNA至非分裂中的細胞 (D)Plasmid為主之載體轉送DNA之效率最高
61. 有一研究欲探討三種降血壓藥物中,那種對停經後的婦女較為有效。現找來90位已停經婦女,隨機指派到三組中之一,每組30人,測量每個人服藥前後血壓差值,請問以下何種分析較為適合? (A)變異數分析 (B)每兩組做一次t檢定,共做三次 (C)每兩組做一次成對檢定,共做三次 (D)卡方檢定
62 以下有關迴歸分析(regression)的敘述何者為非? (A)可以用來檢測兩個變數之間的線性關係 (B)迴歸分析是要找出能解釋所收集到資料的最好直線 (C)迴歸分析中依變項的資料必須是互相獨立的 (D)迴歸分析中一定要包含斜率與截距
63 在檢定男女平均身高是否相同時,以下何者不會影響檢力? (A)P-值 (B)男生樣本的變異數 (C)女生樣本的變異數 (D)男女生兩個樣本平均值的差距
64 某研究調查17~18歲青少年的平均身高,抽樣100位青少年後初步分析得知樣本平均值為168,樣本變異 數為64,請問以下何者最接近平均身高的95%信賴區間? (A)(160,176) (B)(152,184) (C)(167.2,168.8) (D)(166.4,169.6)
65 有一新發明之化學療法,能在治療一週後使腫瘤縮小至少一半以上,現有23位病患接受此治療,並測量 治療前後其腫瘤的變化大小,請問應使用以下何種分析? (A)兩個獨立樣本的檢定 (B)成對檢定 (C)變異數分析 (D)卡方檢定
66 定期職業健檢發現異常時,除治療外,應該立即: (A)要病人趕快回到工作崗位 (B)將病人解僱 (C)通令全廠不准聲張 (D)糾正或改善工作環境
67 民國84年起實施的隨汽油徵收空氣污染防制費,在空氣污染管制策略上,是屬於: (A)經濟誘因管制 (B)命令及控制式管制 (C)喚醒民眾自覺 (D)產業與政府對立
68 有害事業廢棄物的處理,最佳的方法是: (A)物理處理 (B)化學處理 (C)固化 (D)減量
69 職業衛生與安全中,最後考慮的是: (A)取代原料、設備及製程 (B)密閉、隔離、掩蔽 (C)個人防護 (D)通風排氣
70 強調「知覺」和「領悟」,不單以刺激反應聯結的學習,例如利用想像來逐漸消滅因對刺激敏感而 產生的恐懼,或運用合理性的思考方式代替非理性的想法來解除情緒困擾,是屬於: (A)反應性制約理論 (B)操作性制約理論 (C)社會學習理論 (D)認知學習理論
71 以下何者不是目前國內門診醫療的特色? (A)利用率高 (B)病人教育多 (C)處方用藥多 (D)抗生素使用多
72 以下何種健康保險支付制度最難控制醫療費用的上漲? (A)論服務量計酬 (B)論病例計酬 (C)論人計酬 (D)總額預算制
73 全民健康保險是一種社會保險,所以應該: (A)拒絕「帶病投保」 (B)民眾自由納保,不予強制 (C)高危險群保費高 (D)就醫時給予同等醫療照護
74 在1982年爆發台灣全島大流行,而於2000年終於和西太平洋地區同時宣布根除的傳染病是: (A)麻疹 (B)德國麻疹 (C)小兒麻痺 (D)登革熱
75 若要用個案對照研究法,探討開車打行動電話是否容易造成車禍,個案是警察局汽車車禍報案的案例, 對照組應選擇: (A)警察局家庭暴力的案例 (B)車禍隔週同一時間地點的駕車者 (C)個案的鄰居 (D)急診室非車禍的內科病人
76 做「肥胖症」的個案對照研究,發現喝紅茶是肥胖症的危險因子,後來發現,喝紅茶的人多喜歡加 奶精和糖,調整這二個因子後,喝紅茶和肥胖症的關係就消失了。在這個例子中,奶精和糖扮演什麼 角色? (A)干擾因子 (B)修飾因子 (C)變化因子 (D)促成因子
77 科學測量上的「信度」(reliability)好,是指: (A)真值與測量值的一致性高 (B)系統性誤差高 (C)隨機誤差高 (D)重複測量結果的一致性高
78 以下何者是「因果判定」的必要基準? (A)一致性 (B)合理性 (C)時序性 (D)劑量一反應關係
79 科學的基本思考方式中,以下何項敘述符合「猜測與否證法」? (A)先有觀察才有假說 (B)好的定理是經由多次否證而未被推翻的 (C)歸納法是合乎邏輯的 (D)科學基於證實假說
80 流行病學的研究和應用 (A)須兼具「方法」和「實質知識」 (B)只限於疾病的探討 (C)醫療服務政策評估無法應用 (D)關心「狀態」多於「事件」