阿摩線上測驗
登入
首頁
>
環境化學與環境微生物學
> 90年 - 90-2 高等考試_三級_環境工程、環境檢驗、環保技術:環境化學與環境微生物學#46028
90年 - 90-2 高等考試_三級_環境工程、環境檢驗、環保技術:環境化學與環境微生物學#46028
科目:
環境化學與環境微生物學 |
年份:
90年 |
選擇題數:
0 |
申論題數:
10
試卷資訊
所屬科目:
環境化學與環境微生物學
選擇題 (0)
申論題 (10)
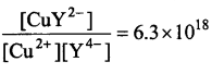
一、何謂螯合劑(chelating agent) ?螯合劑可能對環境造成什麼影響?若某廢水之pH值 為11,含Cxi(II)總濃度5 mg/1,並含過量未錯合EDTA,濃度為200 mg/1 (以 Na
2
H
2
C
10
H
12
O
8
N
2
• 2H
2
0表示,分子量為372),在此條件下,是否大部分Cu是以 EDTA錯合物形式存在?平衡後水合Cu(II)離子濃度為多少?(Cu
2+
和EDTA錯合之 CuY
2-
形成常數為K
1
=
(20 分)
㈠總鹼度及總酸度。
㈡二氧化碳酸度及碳酸根鹼度。
㈢主要碳酸物種的濃度。
三、大氣中臭氧(O
3
)如何產生?如何移去(removal) ?臭氧層對地球環境有何重要性? (20 分)
㈠微生物的儲存物質有那些種類?
(二)如何用簡單的方法得知微生物有那些儲存物質?
㈢儲存物質對微生物本身的功能為何?
㈣儲存物質與廢水處理的關係如何?
五、何謂混合族群?何謂純種菌株?如何由混合族群t得到純種菌株?假設有一混合族 群對某一化合物有很好的去除能力,但是卻由此混合族群中得不到具有去除此化合 物能力的純種菌株,請討論可能的原因。(20分)
相關試卷
114年 - 114 地方政府公務特種考試_三等_環境工程、環保技術、環境檢驗:環境化學與環境微生物學#134794
114年 · #134794
114年 - 114 專技高考_環境工程技師:環境化學與環境微生物學#133664
114年 · #133664
114年 - 114 公務升官等考試_薦任_環境工程、環保技術、環境檢驗:環境化學與環境微生物學#133117
114年 · #133117
114年 - 114 高等考試_二級_環境工程:環境化學與環境微生物學#131581
114年 · #131581
114年 - 114 高等考試_三級_環境工程、環保技術、環境檢驗:環境化學與環境微生物學#128512
114年 · #128512
113年 - 113 地方政府公務特種考試_三等_環境工程、環保技術:環境化學與環境微生物學#124475
113年 · #124475
113年 - 113 專技高考_環境工程技師:環境化學與環境微生物學#123903
113年 · #123903
113年 - 113 中央印製廠_新進人員甄試_環工工程員:環境化學、環境微生物學及廢棄物管理工程#123199
113年 · #123199
113年 - 113 高等考試_二級_環境工程:環境化學與環境微生物學#123082
113年 · #123082
113年 - 113 高等考試_三級_環境工程:環境化學與環境微生物學#121288
113年 · #121288