所屬科目:醫學物理學與輻射安全
1. 某核醫藥物對生殖腺的危險度是, 則生殖腺的等效劑量為多少? (所有器官的總危險度 =, 全身等效劑量限值 =) (A) 66.6 (B) 82.5 (C) 100.0 (D) 200.0
2. 在計算飲水中一放射性同位素的最大許可濃度 (MPC) 時,與下列那一項的輻射物理特性相關? (A) 能量 (B) 質量 (C) 密度 (D) 體積
3. 在使用無屏膜型 X 光片做自動放射顯像術 (ARG) 時,全戶的入射量,以 10⁷ dpm/cm² 成像最佳。若以計數效率 10% 之 GM 計數器測得標本之輻射量為 10⁴ cpm/cm² 時,其曝光時間應為多少分鐘? (A) 50 (B) 100 (C) 500 (D) 1000
4. 利用焦斑-軟片距離為 100cm 為病人進行腹部照相,使用 100 mAs,現若改用移動式 X 光機為病人照相,焦斑-軟片距離僅為 65cm,若欲得到相同的光密度,則 mAs 為何? (A) 42.25 (B) 59.15 (C) 65.0 (D) 80.62
5. 金-198 的原子數目有 10¹⁰ 個,則經過 7 天後,還有多少金原子? (半衰期為 2.7 天) (A) 1.66×10⁸ (B) 1.66×10⁷ (C) 8.3×10⁷ (D) 8.3×10⁶
6. 在光電效應中,質量衰減係數的變化與作用物質的原子序 (Z) 及入射能量 (E) 呈下列何種關係? (A) Z⁴E¹ (B) Z²E² (C) Z²E⁻² (D) Z³E⁻³
7. 水對空氣的平均限制阻擋本領比,下列何種能量 (MeV) 的電子射束最大? (A) 6 (B) 9 (C) 12 (D) 15
8. 下列何種光子的反應不牽涉到能量的轉移? (A) 光電效應 (Photoelectric effect) (B) 合調散射 (Coherent scattering) (C) 康普吞散射 (Compton scattering) (D) 成對效應 (Pair production)
9. 當原子 L 層軌道電子被移走時所留下的空位,不可能由下列何層軌道的電子所填補? (A) K 層 (B) M 層 (C) N 層 (D) O 層
10. 在診斷用的 X 光系統,濾片 (Filters) 通常是用來過濾能量較低的光子,主要是透過下列何種效應? (A) 合調散射 (B) 光電效應 (C) 康普吞效應 (D) 成對效應
11. 原子數為個的 P-32,試問其重量約多少毫克? (A) (B)(C) (D)
12. 一樣本經閃爍計數器得 5.8×10⁴ cpm。若加入 100μl 標準甲苯 (1.80×10⁶ dpm/ml) 再測,則為 1.7×10⁵ cpm,試問該樣本的放射活度為多少 dpm? (A) 6.2×10⁴ (B) 9.4×10⁴ (C) 5.8×10⁵ (D) 7.6×10⁵
13. 某 5 公斤的腫瘤接受 α 粒子之核種照射劑量為 0.5 Gy,試問該腫瘤吸收多少焦耳的能量? (α 的射質因數 = 20) (A) 2.5 (B) 10.0 (C) 50.0 (D) 100.0
14. 在單光子斷層攝影 (SPECT) 重組影像中,每個像素 (Pixel) 所代表的值為: (A) 組織密度 (B) 衰減因子 (C) 吸收因子 (D) 放射性同位素在某組織器官的濃度
15. 下列有關正子電腦斷層攝影的敘述,何者不正確? (A) 影像解析度主要取決於閃爍晶體的大小 (B) 不需要使用準直儀 (C) 沒有無感時間 (D) 訊雜比與 SPECT 相較下較好
16. 當 X 光管的焦斑到軟片的距離從 90 cm 增為 100cm,則欲得到相同的軟片密度時,mAs 應增加多少? (A) 5% (B) 11% (C) 15% (D) 23%
17. 在 X 光攝影中,下列何種輻射可以提供檢查病患的有用資料? (A) 散射輻射 (B) 主輻射 (C) 滲漏輻射 (D) 二次輻射
18. 在單一曝露,15 kW 的 X 光管在 80 kVp 下,最大的 mA 值為何? (A) 187.5 (B) 262.5 (C) 324.4 (D) 362.5
19. 以下何者最接近 10 MeV 的電子射束在水中的阻擋本領 (Stopping power) (MeV · cm²/g)? (A) 0.15 (B) 2.18 (C) 3.33 (D) 10
20. 1 g 的純有 1143 Ci,所以的比活度為 1143 Ci/g,但是實際上應為多少 cGy? (A) ~50 (B) ~100 (C) ~200 (D) ~500
21. 的 γ 射線在鉛中的直線衰減係數為,則其在鉛中的半値層為多少公分? (A) 0.75 (B) 1.05 (C) 1.43 (D) 1.52
22. 自旋 (Spin) 係用於磁振造影技術中很重要的一個物理現象;下列有關自旋的敘述,何者不正確? (A) 核子自旋只能為整數或零 (B) 如果質量數與原子序皆為偶數,則核子自旋為零 (C) 若質量數為偶數,但原子序為奇數,則核子自旋為整數 (D) 電子自旋數永遠為 1/2
23. 有一迴旋加速器之外屏蔽劑量率為: 伽瑪 15μGy/hr,熱中子 2μGy/hr,快中子 10μGy/hr,則其聯合輻射的等效劑量為多少? (加權因數: 熱中子 = 5,快中子 = 10) (A) 27 μGy/hr (B) 125 μGy/hr (C) 125 μSv/hr (D) 250 μSv/hr
24. 臨床上最常作為熱發光劑量計 (TLD) 的材料為: (A) CaF2 (B) LiF (C) CaSO4 (D) Li2B4O7
25. 在磁振造影中,梯度磁場最主要的功用是: (A) 產生均勻磁場 (B) 減少 T1 時間 (C) 選擇切片厚度及位置 (D) 產生化學位移
26. 在下列何種狀況下,X 光射束第二半値層會大約相等於第一半値層? (A) 入射 X 光射束為單一能量 (B) 入射 X 光射束能量為連續光譜 (C) 入射 X 光能量小於 kVp (D) 以上狀況不可能發生
27. X 光機所產生之 X 光通常需以射束限制器 (Beam restricting device) 來調整射束之範圍,下列有關使用射束限制器之敘述何者錯誤? (A) 可相對降低給予病人之輻射 (B) 可以改進影像之對比度 (Contrast) (C) 減少散射輻射之量 (D) 增加散射輻射之量
28. 在磁振造影中,增加主磁場強度會導致: (A) T1 減少 (B) T2 減少 (C) SNR 通常會增加 (D) TE 會增加
29. 在磁振造影中的倒置-恢復 (Inversion-recovery) 脈衝波序,第一個先用到的倒置脈衝 (Inversion pulse) 是多少度的射頻脈衝 (RF pulse)? (A) 90° (B) 180° (C) 270° (D) 360°
30. 在 MRI 中,射頻 (RF) 脈衝最主要的目的是: (A) 改變核磁化矩的方向 (B) 產生主磁場 (C) 改變組織的 T1 (D) 減少假影
31. 依據底片的 H&D 曲線顯示,欲產生光密度值 (O.D.) 為 1,所需要的曝露量為 25 mR,則此底片之速度為多少? (A) 1 (B) 25 (C) 40 (D) 200
32. 於不可預料情況下接受超過劑量限度之曝露稱為: (A) 意外曝露 (B) 緊急曝露 (C) 特殊曝露 (D) 計畫特別曝露
33. 下列何項設備,不受磁振造影儀器磁場的影響? (A) 直線加速器 (B) 超音波檢查儀 (C) 洗片機 (D) 伽瑪攝影機
34. 鉛原子 K 層軌道電子的束縛能為 88 keV,則下列何種能量 (keV) 的光子與其產生光電效應的機率最大? (A) 80 (B) 90 (C) 100 (D) 120
35. 2 ml 溶液中含有 1 mCi 的 -標誌某胺基酸,若其比活度 (S.A.) 為 150 mCi/mmole,則該胺基酸的濃度為多少 mM? (A) 7.50 (B) 5.50 (C) 3.30 (D) 2.50
36. 有一核種其平均壽命 (Mean life) 為 1008 天,則其衰變常數 (λ) 大約為多少? (A) (B) (C) (D)
37. 根據原子的結構理論在最內層軌道上 (K 層) 的電子數目最多容許值為: (A) 2 (B) 4 (C) 8 (D) 18
38. 反質子為帶負電荷的質子,若一個質子和一個反質子發生互毀時,會放出多少能量? (A) 1.022 MeV (B) 2.044 MeV (C) 1.86 GeV (D) 3.72 GeV
39. 下列何種反應會附帶產生兩個 0.511 MeV 幾乎成 180° 方向行進的射線? (A) 成對效應 (B) 光電效應 (C) 康普吞效應 (D) 制動輻射的產生
40. 100 MeV 的光子與物質產生作用,下列何者的反應機率最大? (A) 光電效應 (B) 康普吞效應 (C) 成對效應 (D) 游離與激發
41. 若鉛柵的中間空隙厚度為 380μm,鉛條厚度為 60μm,則預期的主穿透 (Anticipated primary transmission) 為何? (A) 15.8% (B) 72.7% (C) 84.2% (D) 86.4%
42. 10 MeV 的電子,其質量是靜止電子質量的幾倍? (A) 1.4 (B) 10.5 (C) 20.6 (D) 30.7
43. 下列關於濾片的敘述,何者正確? (A) 不會改變 X 光的品質 (B) 不能濾去低能 X 光 (C) 不會改變低能 X 光的穿透力 (D) 高能 X 光射束不受影響
44. 影像增感屏包封在一真空的玻璃管內,其含有的基本組件中,不包括下列何者? (A) 輸入磷質與光陰極 (B) 靜電聚焦鏡 (C) 加速陽極 (D) 光電倍增管
45. 在磁振造影中,下列那一項不會因檢查部位不同而有所差別? (A) 由氫核所發出的射頻 (B) RF 脈衝之間的間隔時間 (C) 梯度磁場的脈波程序 (D) RF 脈衝的頻寬
46. 國際輻射防護委員會,簡稱什麼? (A) IRPA (B) ICRU (C) ICRP (D) NRPB
47. 如果把伽瑪攝影機的碘化鈉閃爍體,由 0.5 吋的晶體改為 0.25 吋的晶體,假設每張影像的總計數不變,⁹⁹mTc 的影像會有下列何種變化? (A) 影像背景值增加 (B) 病人移動的現象明顯增加 (C) 偵測效率會降低 (D) 空間解析度變高
48. 在加速器中常用到鎘作為屏蔽的一部分,其目的是要屏蔽下列何種輻射? (A) 制動輻射 (B) 中子 (C) 電子 (D) 伽瑪射線
49. 有一直徑 100μm 的雷射射束欲將 14 in×17 in 的軟片數字化,則畫素形式 (Pixel format) 為何? (1 in = 2.54 cm) (A) 2048×4096 (B) 2048×5120 (C) 3072×4096 (D) 3600×4400
50. 在伽瑪能譜中使用脈高分析儀 (Pulse height analyzer, PHA) 的主要原因是下列何者? (A) 鑑別不同種類之同位素 (B) 過濾散射光子 (C) 增加能譜之靈敏度 (D) 去除背景計數
51. 已知 10 MeV 的電子在水中的射程 R 及制動輻射產率 B 分別為 4.917 g/cm² 及 0.0404,求 10 MeV 電子在水中的平均阻擋本領等於多少 MeVcm²/g? (A) 1.34 (B) 1.95 (C) 2.46 (D) 4.96
52. Cs-137 的 γ 射線對鉛的半値層為 0.5 cm,試求該 γ 射線對鉛之質量衰減係數為多少 cm²/g? (鉛密度為 11.4 g/cm³) (A) 0.12 (B) 0.23 (C) 0.54 (D) 0.86
53. 在評估某種輻射的生物效應時,是以下列何種標準輻射的生物效應所需劑量做為比值? (A) α (B) β (C) X (D) 中子
54. 已知拍攝一 X 光片之操作條件為 74 kVp 與 100 mAs,試問在其產生 X 光之過程中有若干個電子與陽極靶起作用? (A)(B)(C)(D)
55. 有一診斷用的儀器所產生的輻射能量約為 137 keV,試問其產生的輻射是屬於下列何者? (A) 超音波輻射 (B) 紫外線輻射 (C) 紅外線輻射 (D) X 射線
56. 電子射束與物質產生游離與激發反應是依賴何種力的相互作用? (A) 庫倫力 (B) 重力 (C) 核力 (D) 浮力
57. 某病患肺部接受 3×10³ 侖目 (rem) 的胸部 X 光攝影劑量,則該病患得肺癌之機率為多少? (肺的危險因數為 2×) (A)(B)(C)(D)
58. 距離活度為 2 居里的鈷 60 點射源 2 米處的劑量率約為多少 mSv/h? (鈷-60 的 Γ = ) (A) 13.7 (B) 6.9 (C) 4.5 (D) 3.4
59. X 光或伽馬射線與物質作用,在產生康普吞效應時一定會產生下列何種輻射? (A) 散射輻射 (B) 紫外輻射 (C) 紅外輻射 (D) 制動輻射 (Bremsstrahlung)
60. 能量 200 keV 的光子與水作用,不可能發生下列那一種效應? (A) 光電效應 (B) 康普吞效應 (C) 成對效應 (D) 合調散射
61. 有關 LET 的敘述,下列何者正確? (A) 代表荷電粒子的射程 (B) 代表直線能量之吸收 (C) 低 LET 時,氧效應不明顯 (D) LET 值與粒子的入射動能有關
62. 焦耳 (Joule) 為導出單位,其基本單位的形式為: (A) (B)(C)(D) kg · m² · s2
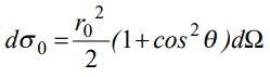
63. 湯姆遜散射 (Thomson scattering) 的微分截面,其中 dΩ 為立體角,試問半球的立體角等於多少球面度 (sr)? (A) 1π (B) 2π (C) 3π (D) 4π
64. 光子在物質中的吸收劑量等於質能吸收係數 (Mass energy-absorption coefficient) 乘以光子的什麼? (A) 通量 (Fluence) (B) 通量率 (Fluence rate) (C) 能通量 (Energy fluence) (D) 能通量率 (Energy fluence rate)
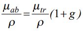
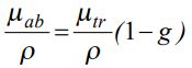
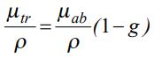
65. 質能轉移係數 (Mass energy-transfer coefficient,)、質能吸收係數 (Mass energy-absorption coefficient,μab/ρ) 與制動輻射的平均分數 (g) 之關係為: (A) (B)(C)(D)
66. 假如鉛塊在鈷-60 照射下的半値層為 1.3 cm,如果要使射線穿透劑量剩下 12.5%,需要多少公分的鉛塊? (A) 0.65 (B) 1.3 (C) 2.6 (D) 3.9
67. 下列何者為光子通量率 (Fluence rate) 的定義 (N: 光子數,a: 光子通過的面積,hv: 光子能量,t: 時間)? (A)(B)(C)(D)
68. 有關貝克 (Bq) 的特性,下列敘述何者正確? (A) 活度的國際制單位 (SI unit) (B) 和物質原有數量成反比 (C) 與物質的衰變常數成反比 (D) 與放射線種類有關
69. 假設侖琴 (R) 對雷得 (rad) 的轉換係數為 0.873,則 5 侖琴的曝露會在空氣中產生多少雷得的劑量? (A) 0.873 (B) 4.365 (C) 5 (D) 5.72
70. 下列何種反應可以被當成光子與自由電子之間的碰撞反應? (A) 成對效應 (B) 光電效應 (C) 康普吞效應 (D) 游離與激發
71. 一個在移動的正電荷所產生的磁力場與電力場的方向成下列何種關係? (A) 相同方向 (B) 相互垂直 (C) 相反方向 (D) 無一定的方向
72. 下列何者不是電磁輻射的特性? (A) 沒有質量與電荷量 (B) 以光速前進 (C) 可能會受到磁場的影響而偏轉方向 (D) 可見光屬於電磁波
73. 將所有入射光子的能量均轉給電子的過程,稱為: (A) 互毀效應 (B) 光電效應 (C) 康普吞效應 (D) 成對效應
74. 下列何者不為物理的基本單位? (A) 公斤 (kg) (B) 牛頓 (nt) (C) 安培 ( A ) (D) 秒 (sec)
75. 氡-222 的半衰期為 3.83 天,請問經過幾天後其活性剩下原來的 1/8? (A) 7.66 (B) 11.49 (C) 15.32 (D) 19.15
76. 有關制動輻射 (Bremsstrahlung) 的特性,下列何者不是? (A) 為連續能譜 (B) 由與原子核作用所產生 (C) 與電子能量無關 (D) 由電子的動能轉變而來
77. 成對效應大多發生在光子與何者之間的電磁場? (A) 軌道上自由電子 (B) K 層軌道電子 (C) 整個原子 (D) 原子核
78. 10 貝克 (Bq) 約相等於多少 Ci? (A)(B)(C) (D) 3.7×10⁷
79. 1 keV 的伽瑪射線被碘化鈉閃爍偵檢器吸收後,在光電倍增管的光陰極大約可以產生多少個光電子? (A) 1~5 (B) 100~500 (C) 501~1000 (D) 1001~10000
80. 已知 100 keV 的光子在水中的直線衰減係數,求其半値層約等於多少 cm? (A) 1.44 (B) 2.59 (C) 3.45 (D) 4.08