阿摩線上測驗
登入
首頁
>
高考◆理综◆湖北省
> 92年 - 2003年普通高等学校招生全国统一考试(全国卷) 理科综合能力测试#14097
92年 - 2003年普通高等学校招生全国统一考试(全国卷) 理科综合能力测试#14097
科目:
高考◆理综◆湖北省 |
年份:
92年 |
選擇題數:
22 |
申論題數:
12
試卷資訊
所屬科目:
高考◆理综◆湖北省
選擇題 (22)
1.取适量干重相等的4份种子进行不同处理:(甲)风干,(乙)消毒后浸水萌发,(丙)浸水后萌发,(丁)浸水萌发后煮着冷却,消毒。然后分别放入4个保温瓶中。一段时间后,种子堆内温度最高的是 ( ) (A)甲 (B)乙 (C)丙 (D)丁
2.植物叶片从幼到老的整个生命活动过程中 ( ) (A)有机物输出也输入,矿质元素只输入 (B)有机物只输出,矿质元素只输入 (C)有机物只输出,矿质元素输入也输出 (D)有机物与矿质元素都既输入,又输出
3.下列关于叶绿素合成和功能的叙述。错误的是 ( ) (A)光是叶绿素合成的必要条件 (B)低温抑制叶绿素的合成 (C)矿质元素影响叶绿素的合成 (D)提取的叶绿素溶液,给予适宜的温度、光照和CO2,可进行光合作用
4.一只成年雄狗仍然保持幼年的体态,且精神萎靡、反应迟钝、行动呆笨,无求偶行为, 其原因是 ( ) (A)睾丸发育不全 (B)甲状腺功能低下 (C)生长激素分泌不足 (D)生长激素分泌不足、睾丸发育不全
5.据图判断,下列叙述不符合生态学原理的是 ( ) (A)物质经过了多级利用,实现了良性循环 (B)每一级生产环节都获得产品,提高了生态经济效益 (C)由于食物链延长,能量逐级损耗,系统总能量利用效率降低 (D)由于各级产物都可以利用,减少了废物和污染
6.人类探测月球发现,在月球的土壤中含有较丰富的质量数为3的氦,它可以作为未来核聚变的重要原料之一。氦的该种同位素应表示为 ( )
7.在两个容积相同的容器中,一个盛有HCl气体,另一个盛有H2和Cl2的混合气体。在同 温同压下,两容器内的气体一定具有相同的 ( ) (A)原子数 (B)密度 (C)质量 (D)质子数
8.某无色混合气体可能由CH4、NH3、H2、CO、CO2和HCl中的某几种气体组成。在恒温恒压条件下,将此混合气体通过浓H2SO4时,总体积基本不变;通过过量的澄清石灰水,未见变浑浊,但混合气体的总体积减小,把剩余气体导出后,在O2中能够点燃,燃烧产物不能使CuSO4粉末变色。则原混合气体的成份是 ( ) (A)HCl和CO (B)HCI、H2和CO (C)CH4和NH3 (D)HCl、CO和CO2
9.将20ml0.4mol·L-1硝酸铵溶液跟50mL0.1mol·L-1氢氧化钡溶液混合,则混合溶液中各 离子浓度的大小顺序是 ( ) (A)[NO-3]>[OH-]>[NH4+]>[Ba2+] (B)[NO-3]> [Ba2+]> [OH-]>[NH4+] (C)[Ba2+] > [NO-3]>[OH-]>[NH4+] (D)[NO-3]> [Ba2+]>[NH4+]> [OH-]
10.下列反应的离子方程式正确的是 ( ) (A)铝片跟氢氧化钠溶液反应:AI+2OH-==== AIO2-+H2↑ (B)硫酸镁溶液跟氢氧化钡溶液反应:SO42-+ Ba2+====BaSO4↓ (C)碳酸钙跟醋酸反应:CaCO3+2CH3COOH====Ca2++2CH3COO-+H2O+CO2↑ (D)铜片跟稀硝酸反应Cu+NO3-+4H+====Cu2++NO↑+2H2O
11.某温度下,在一容积可变的容器中,反应2A(g)+B(g) 2C(g)达到平衡 时,A、B和C的物质的量分别为4mol、2 mol和4 mol。保持温度和压强不变,对平衡 混合物中三者的物质的量做如下调整,可使平衡右移的是 ( ) (A)均减半 (B)均加倍 (C)均增加1 mol (D)均减少1 mol
12.某温度下向100g澄清的饱和石灰水中加入5.6g生石灰,充分反应后恢复到原来的温度。 下列叙述正确的是 ( ) (A)沉淀物的质量为5.6g (B)沉淀物的质量为7.4g (C)饱和石灰水的质量大于98.2g (D)饱和石灰水的质量小于98.2g
13.用0.01mol·L-1NaOH溶液完全中和pH=3的下列溶液各100mL。需NaOH溶液体积最 大的是 ( ) (A)盐酸 (B)硫酸 (C)高氯酸 (D)醋酸
14.根据中学化学教材所附元素周期表判断,下列叙述不正确的是 ( ) (A)K层电子为奇数的所有元素所在族的序数与该元素原子的K层电子数相等 (B)L层电子为奇数的所有元素所在族的序数与该元素原子的L层电子数相等 (C)L层电子为偶数的所有主族元素所在族的序数与该元素原子的L层电子数相等 (D)M层电子为奇数的所有主族元素所在族的序数与该元素原子的M层电子数相等
15.如图所示,三个完全相同的金属小球a、b、c位于 等边三角形的一个顶点上。a和c带正电,b带负 电, a所带电量的大小比b的小。已知c受到a和b的静电 力的合力可用图中四条有向线段中的一条来表示, 它应是 (A)F1 (B)F2 (C)F3 (D)F4
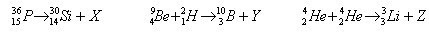
16.下面列出的是一些核反应方程 ( )
(A)X质子,Y是中子Z是正电子 (B)X是正电子、Y是质子、Z是中子 (C)X是中子,Y是正电子,Z是质子 (D)X是正电子,Y是中子,Z是质子
17.一束单色光从空气射入玻璃中,则其 ( ) (A)频率不变,波长变长 (B)频率变大,波长不变 (C)频率不变,波长变短 (D)频率变小,波长不变
18.简谐机械波在给定的媒质中传播时,下列说法中正确的是 ( ) (A)振幅越大,则波传播的速度越快 (B)振幅越大,则波传播的速度越慢 (C)在一个周期内,振动质元走过的路程等于一个波长 (D)振动的频率越高,则波传播一个波长的距离所用的时间越短
19.如图所示,一个半球形的碗放在桌面上,碗口水平, O点为其球心,碗的内表面及碗口是光滑的。一根 细线跨在碗口上,线的两端分别系有质量为m1和m2 的小球。当它们处于平衡状态时,质量为m1的小球与 O点的连线与水平线的夹角为α=60°两小球的踭量比为
20.如图所示,因定容器及可动活塞P都是绝热的, 中间有一导热的固定隔板B,B的两边分别盛有 气体甲和乙。现将活塞P缓慢地向B移动一段距 离,已知气体的温度随其内能的增加而升高。则 在移动P的过程中 (A)外力对乙做功;甲的内能不变 (B)外力对乙做功;乙的内能不变 (C)乙传递热量给甲; 乙的内能增加 (D)乙的内能增加;甲的内能不变
21.图中虚线所示为静电场中的等势面1、2、3、4, 相邻的等势面之间的电势差相等,其中等势面3 的电势为0。一带正电的点电荷在静电力的作用 下运动,经过a、b点时的动能分别为26eV和5eV。 当这一点电荷运动到某一位置。其电势能变为-8eV 时,它的动能就为 (A)8eV (B)15eV (C)20eV (D)34eV
22.K-介子衰变的方程为K-→π-+π0,其中K-介 子和π-介子带负的基元电荷,π0介子不带电, 一个K介子沿垂直于磁场的方向射入匀强磁 场中,其轨迹为圆弧AP。衰变后产生的π-介子的 轨迹为圆弧PB,两轨迹在P点相切,它们的半径Rπ- 与Rπ之比为2:1。π0介子的轨迹未画出。由此可知π 的动量大小与π0的动量大小之比为
(A)1:1 (B)1:2 (C)1:3 (D)1:6
申論題 (12)
相關試卷
96年 - 2007年普通高等学校招生全国统一考试(全国卷) 理科综合能力测试#14103
96年 · #14103
94年 - 2005年普通高等学校招生全国统一考试(全国卷) 理科综合能力测试#14106
94年 · #14106
93年 - 2004年普通高等学校招生全国统一考试(全国卷) 理科综合能力测试#14108
93年 · #14108