阿摩線上測驗
登入
首頁
>
研究所、轉學考(插大)-應用數學
> 92年 - 92 淡江大學 轉學考 應用數學#56102
92年 - 92 淡江大學 轉學考 應用數學#56102
科目:
研究所、轉學考(插大)-應用數學 |
年份:
92年 |
選擇題數:
0 |
申論題數:
7
試卷資訊
所屬科目:
研究所、轉學考(插大)-應用數學
選擇題 (0)
申論題 (7)
1. Consider the conic 5x
2
-4xy + 2y
2
=30,find the principal axes of the conic and express the conic in the principal axes. (10 points)
【已刪除】2. Suppose that displacement as a function of time for a moving particle is
, find the equations of the line tangent to the curve described by the particle and the plane normal to this curve at (4, -4,8). (15 points)
【已刪除】3. Use the method of contour integration to evaluate the integral
(15 points)
4. Solve the following differential equation (15 points)
x
2
y'' - 2xy' + 2y = xlnx.
5.Given f{x) = sinx, 0 <x <π,expand f(x) in Fourier cosine series. (15 points)
【已刪除】6. Given
Where S is the surface bounded by z = 0, z = 5, and x
2
+ y
2
= 16 in the lsl quadrant. (15 points)
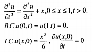
【已刪除】7. Solve the following partial differential equation with given boundary conditions. (15 points)
相關試卷
110年 - 110 國立中央大學_碩士班招生考試_天文研究所:應用數學#110498
110年 · #110498
110年 - 110台灣聯合大學系統_碩士班招生考試_物理類:應用數學#104952
110年 · #104952
110年 - 110 國立中央大學_碩士班招生考試_大氣科學學系大氣物理:應用數學#103883
110年 · #103883
110年 - 110 國立中央大學_碩士班招生考試_太空科學與工程學系:應用數學#103880
110年 · #103880
110年 - 110 國立臺灣大學_碩士班招生考試_海洋所物理與化學與地物組(3組聯招):應用數學(B)#100219
110年 · #100219
103年 - 103 淡江大學 轉學考 應用數學#55466
103年 · #55466
102年 - 102 淡江大學 轉學考 應用數學#53110
102年 · #53110
101年 - 101 淡江大學 轉學考 應用數學#55467
101年 · #55467
100年 - 100 淡江大學 轉學考 應用數學#55469
100年 · #55469
99年 - 99 淡江大學 轉學考 應用數學#55470
99年 · #55470