阿摩線上測驗
登入
首頁
>
研究所、轉學考(插大)-微積分
> 92年 - 92 淡江大學 轉學考 機率與微積分#56135
92年 - 92 淡江大學 轉學考 機率與微積分#56135
科目:
研究所、轉學考(插大)-微積分 |
年份:
92年 |
選擇題數:
0 |
申論題數:
17
試卷資訊
所屬科目:
研究所、轉學考(插大)-微積分
選擇題 (0)
申論題 (17)
(1) Calculate the E(X) (10%)
(2) Calculate the probability P(X≤3). (5%)
(1) Determine the constant c. (5%)
(2) Determine the corresponding p.d.f.. (5%)
(3) Calculate the probability P(X<1). (5%)
(1) Derive the marginal p.d.f.’s fx,fy,and fz. (10%)
(2) Show that the r.v.’s X,Y, and Z are independent. (5%)
(1) Determine the p.d.f. ofY. (5%)
(2) Calculate the probability P(Y>10). (5%)
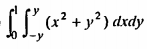
【已刪除】 (1)
【已刪除】(2)
【已刪除】(3)
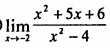
【已刪除】6. Discuss the continuity of the function below at 3. (10%)
(1) 3x+4y-5=0 (5%)
(2) 3x2+4y
2
-2x=0 (5%)
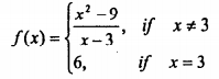
【已刪除】(1)
【已刪除】(2)