阿摩線上測驗
登入
首頁
>
高考◆理综◆山西省
> 93年 - 2004年山西省高考真题(理综)#30529
93年 - 2004年山西省高考真题(理综)#30529
科目:
高考◆理综◆山西省 |
年份:
93年 |
選擇題數:
21 |
申論題數:
0
試卷資訊
所屬科目:
高考◆理综◆山西省
選擇題 (21)
l.下列关于光合作用强度的叙述,正确的是 (A)叶片从幼到老光合作用强度不变 (B)森林或农田中植株上部叶片和下部叶片光合作用强度有差异 (C)光合作用强度是由基因决定的,因此是固定不变的 (D)在相同光照条件下,各种植物的光合作用强度相同
2.某生物的体细胞染色体数为2n。该生物减数分裂的第二次分裂与有丝分裂相同之处是 (A)分裂开始前,都进行染色体的复制 (B)分裂开始时,每个细胞中的染色体数都是2n (C)分裂过程中,每条染色体的着丝点都分裂成为两个 (D)分裂结束后,每个子细胞的染色体数都是n
3.用一定量的甲状腺激素连续饲喂正常成年小白鼠4周,与对照组比较,实验组小白鼠表现为 (A)耗氧量增加、神经系统的兴奋性降低 (B)耗氧量增加、神经系统的兴奋性增强 (C)耗氧量减少、神经系统的兴奋性降低 (D)耗氧量减少、神经系统的兴奋性增强
4.下列属于生态系统食物同特征的是 (A)一种生物只能被另一种生物捕食 (B)食物链的环节数是无限的 (C)一种生物可能属于不同的营养级 (D)食物网上的生物之间都是捕食关系
5.用动物细胞工程技术获取单克隆抗体,下列实验步骤中错误的是) (A)将抗原注入小鼠体内,获得能产生抗体的B淋巴细胞 (B)用纤维素酶处理B淋巴细胞与小鼠骨髓瘤细胞 (C)用聚乙二醇作诱导剂,促使能产生抗体的B淋巴细胞与小鼠骨髓瘤细胞融合 (D)筛选杂交瘤细胞,并从中选出能产生所需抗体的细胞群,培养后提取单克隆抗体
6.在pH=l含 离子的溶液中,还能大量存在的离子是 (A) (B) (C) (D)
7.物质的量浓度相同的下列溶液中,符合按pH由小到川匝序排列的是 (A)Na2CO3 NaHCO3 NaCl NH4Cl (B)Na2CO3 NaHCO3 NH4Cl NaCl (C)(NH4)2SO4 NH4Cl NaNO3 Na2S (D)NH4Cl (NH4)2SO4 Na2S NaNO3
8.已知 (l) =H2O(g) △H1=a kJ• (2) =2H2O(g) △H2=b kJ• (3) =H2O(l) △H3=c kJ• (4) =2H2O(l) △H4=d kJ• 下列关系式中正确的是 (A) a<c <0 (B)b>d>0 (C)2a=b<0 (D)2c=d>0
9.将0.l mol• 醋酸溶液加水稀释,下列说法正确的是 (A)溶液中c(H+)和c( )都减小 (B)溶液中c(H+)增大 (C)醋酸电离平衡向左移动 (D)溶液的pH增大
10.下列叙述正确的是 (A)同温同压下,相同体积的物质,它们的物质的量必相等 (B)任何条件下,等物质的量的乙烯和一氧化碳所含的分子数必相等 (C)1L一氧化碳气体一定比1L氧气的质量小 (D)等体积、等物质的量浓度的强酸中所含的H+数一定相等
11.若1 mol某气态烃CxHy完全燃烧,需用3 mol O2,则 (A)x = 2,y =2 (B)x = 2,y =4 (C)x = 3,y =6 (D)2=3,y=8
12.下列分子中,所有原子不可能共处在同一平面上的是 (A)C2H2 (B)CS2 (C)NH3 (D)C6H6
13.常温下,下列各组物质不能用一种试剂通过化学反应区别的是 (A)MnO2 CuO FeO (B)(NH4)2SO4 K2SO4 NH4Cl (C)AgNO3 KNO3 Na2CO3 (D)Na2CO3 NaHCO3 K2CO3
14.现有1200个氢原子被激发到量子数为4的能级上,若这些受激氢原子最后都回到基态,则在此过程中发出的光子总数是多少?假定处在量子数为n的激发态的氢原子跃迁到各较低能级的原子数都是处在该激发态能级上的原子总数的 。 (A)2200 (B)2000 (C)1200 (D)24 00
15.下面是四种与光有关的事实: ①用光导纤维传播信号 ②用透明的标准样板和单色光检查平面的平整度 ③一束白光通过三棱镜形成彩色光带 ④水面上的油膜呈现彩色 其中,与光的干涉有关的是 (A)①④ (B)②④ (C)①③ (D)②③
16.一定量的气体吸收热量,体积膨胀并对外做功,则此过程的末态与初态相比, (A)气体内能一定增加 (B)气体内能一定减小 (C)气体内能一定不变 (D)气体内能是增是减不能确定
17.如图,一简谐横波在x轴上传播,轴上a、b两点相距12m。t =0时a点为波峰,b点为波谷;t =0.5s时,a点为波谷,b点为波峰。则下列判断中正确的是 (A)波一定沿x轴正方向传播 (B)波长可能是8m (C)周期可能是0.5s (D)波速一定是24m/s
18.如图所示,四个完全相同的弹簧都处于水平位置,它们的右端受到大小皆为F的拉力作用,而左端的情况各不相同:①中弹簧的左端固定在墙上,②中弹簧的左端受大小也为F的拉力作用,③中弹簧的左端拴一小物块,物块在光滑的桌面上滑动,④中弹簧的左端拴一小物块,物块在有摩擦的桌面上滑动。若认为弹簧的质量都为零,以l1、l2、l3、l4依次表示四
个弹簧的伸长量,则有 (A)l2>l1 (B)l4>l3 (C)l1>l3 (D)l2=l4
19.一直升飞机停在南半球的地磁极上空。该处地磁场的方向竖直向上,磁感应强度为B。直升飞机螺旋桨叶片的长度为l,螺旋桨转动的频率为f,顺着地磁场的方向看螺旋桨,螺旋桨按顺时针方向转动。螺旋桨叶片的近轴端为a,远轴端为b,如图所示。如果忽略a到转轴中心线的距离,用ε表示每个叶片中的感应电动势,则 (A)ε=πfl2B,且a点电势低于b点电势 (B)ε=2πfl2B,且a点电势低于b点电势 (C)ε=πfl2B,且a点电势高于b点电势 (D)
ε=2πfl2B,且a点电势高于b点电势
20.如图,一绝缘细杆的两端各固定着一个小球,两小球带有等量异号的电荷,处于匀强电场中,电场方向如图中箭头所示。开始时,细杆与电场方向垂直,即在图中Ⅰ所示的位置;接着使细杆绕其中心转过90”,到达图中Ⅱ所示的位置;最后,使细杆移到图中Ⅲ所示的位置。以W1表示细杆由位置Ⅰ到位置Ⅱ过程中电场力对两小球所做的功,W2表示细杆由位置Ⅱ到位置Ⅲ过程中电场力对两小球所做的功,则有 (A)W1=0,W2≠0 (B)W1=0,W2=0 (C)W1≠0,W2=0 (D)W1≠0,W2≠0
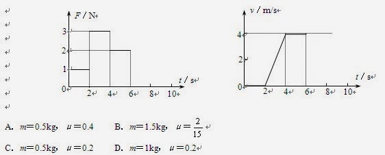
21.放在水平地面上的一物块,受到方向不变的水平推力F的作用,F的大小与时间t的关系和物块速度v与时间t 的关系如图所示。取重力加速度g=10m/s2。由此两图线可以求得物块的质量m和物块与地面之间的动摩擦因数μ分别为 (A)m=0.5kg,μ=0.4 (B)m=1.5kg,μ= (C)m=0.5kg,μ=0.2 (D)m=1kg,μ=0.2
申論題 (0)
相關試卷
102年 - 2013年山西省高考真题(理综)#30530
102年 · #30530
101年 - 2012年山西省高考真题(理综)#30531
101年 · #30531
100年 - 2011年山西省高考真题(理综)#30532
100年 · #30532
99年 - 2010年山西省高考真题(理综)#30533
99年 · #30533
98年 - 2009年山西省高考真题(理综)#30534
98年 · #30534
97年 - 2008年山西省高考真题(理综)#30535
97年 · #30535
96年 - 2007年山西省高考真题(理综)#30536
96年 · #30536
95年 - 2006年山西省高考真题(理综)#30537
95年 · #30537
94年 - 2005年山西省高考真题(理综)#30538
94年 · #30538