阿摩線上測驗
登入
首頁
>
高考◆ 数学◆广西省
> 93年 - 2004年广西省高考真题(理数)#30157
93年 - 2004年广西省高考真题(理数)#30157
科目:
高考◆ 数学◆广西省 |
年份:
93年 |
選擇題數:
12 |
申論題數:
0
試卷資訊
所屬科目:
高考◆ 数学◆广西省
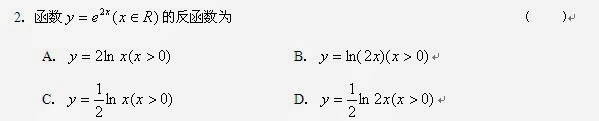
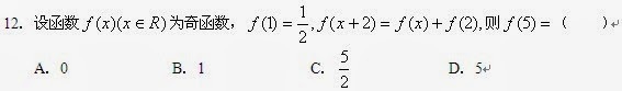
選擇題 (12)
申論題 (0)
相關試卷
102年 - 2013年广西省 高考真题(文科数学)#30238
102年 · #30238
102年 - 2013年广西省 高考真题(理科数学)#30237
102年 · #30237
101年 - 2012年广西省 高考真题(文科数学)#30241
101年 · #30241
101年 - 2012年广西省 高考真题(理科数学)#30239
101年 · #30239
100年 - 2011年广西省 高考真题(文科数学)#30243
100年 · #30243
100年 - 2011年广西省 高考真题(理科数学)#30242
100年 · #30242
99年 - 2010年广西省 高考真题(文科数学)#30246
99年 · #30246
99年 - 2010年广西省 高考真题(理科数学)#30245
99年 · #30245
98年 - 2009年广西省 高考真题(文科数学)#30247
98年 · #30247
98年 - 2009年广西省 高考真题(理科数学)#30235
98年 · #30235