所屬科目:(甄試)警大◆火災學
4. 若烷類的燃燒下限計算公式為:L0=0.55C0(L0:燃燒下限(%);C0:氣體完全燃燒時的化學理論濃度(%)),則依該公式計算結果,在標準狀態下丁烷()的燃燒下限大約多少? (A) 1.1% (B) 1.7% (C) 2.5% (D) 5.3%
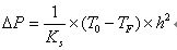
6. 火場中所產生大量之煙霧,因密度低而具浮力,一般表示著火房間內外所產生的壓差方程式為何?(△P:壓差(Pa); KS:常數(3460Pa.K/m); T0:室外溫度(K); TF:室內溫度(K); h:距中性帶距離(m) ) (A) (B) (C) (D)
7. 承上(第6)題,若當時火場室內溫度727.0℃,室外溫度27.0℃,則距中性帶以上3公尺位置的壓差△P約為多少? (A) 0.7Pa (B) 1.9Pa (C) 24Pa (D) 73Pa
8. 在計算煙濃度中的可見距離時,須瞭解光學密度,根據Lambert吸收法則,光學密度(optical density,ODX)定義為:ODX=,其中I0、IX分別為原入射光強度(intensity)及距離x時的受光強度。若在受光處量測出原入射光被遮蔽(obscured)達99%時,則ODX值為多少? (A) 2.0 (B) 1.0 (C) 0.1 (D) 0.01
9. 學者Thomas等人於1963年提出:室內發生火災時,如火羽(柱)(fire plume)溫度為1100 K,室外空氣溫度290 K時,空氣進入火羽(柱)的質量流率(, mass flow rate)為: kg/s (Pf:火羽(柱)的周長(公尺);y:樓地板至煙層下緣距離(公尺))。若實驗時量測出=6.01kg/s,且y=4公尺時,則值大約多少? (A) 1公尺 (B) 2公尺 (C) 4公尺 (D) 8公尺
25. 學者T.Z. Harmathy根據其實驗結果,曾提出判斷何種燃燒類型的方程式為:,其中σ為:空氣密度(kg/m3),g為:重力加速度(m/s2),請問有關此一方程式之敘述,下列何者正確? (A)AW:通風開口面積 (B)Af:可燃物表面積 (C)H:建築物高度 (D) 是屬於燃料控制燃燒(fuel control) (E) 是屬於通風控制燃燒(ventilation control)
27. 在常溫下,下列何者可燃性氣體或蒸氣其比重較空氣小? (A)甲烷(CH4) (B)丙烷(C3H8) (C)氨(NH3) (D)乙炔(C2H2) (E)丁烷()
34. 圖一為三種物質A、B與C,在同一實驗條件下的質量燃燒 速率(kg/s)和通風因子()的實驗結果,若僅考慮二者關 係時,則下列敍述何者正確? (A)A物質的質量燃燒速率=0.20× (B) B物質的質量燃燒速率=0.08× (C)C物質的質量燃燒速率=0.40× (D)在相同通風因子條件下( 以下),A物質的質量燃燒速率值最大 (E)三者達相同燃燒速率時(燃燒速率在0.4 kg/s以下),C物質所需通風因子值最大
36. 根據學者Yokoi、Seigel與Thomas等人,對於建築物室內火災的研究中,所得火焰流動軌跡的二條方程式為:。其中,H為:通風開口高度(m);B為:通風開口寛度(m);Z為:火焰頂端至通風開口頂端高度(m);x為:火焰頂端至牆壁的水平距離(m);為:質量燃燒速率(kg/s),且其關係如圖二、三,則下列敍述何者正確? (A)當通風開口形狀與面積固定時,值增加,則Z值會增加 (B)當H與值不變,而B值變小時,Z值會增加 (C)當B與值不變,而H值變小時,Z值會增加 (D)當H不變,而B值變小時,x值會增加 (E)當B不變,而H值變大時,x值會增加