所屬科目:研究所、轉學考(插大)-微積分
1. 求
2. 求, 其中 [a] 表不大於 a 之最大整數。
3. 求函數 g: [0,2] → R: g(x) = sinh |x² + x - 2| 之最大值及最小值。
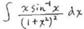
5.求
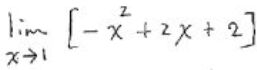
6. 求
7. 求由函數 f(x) =的圖形與其漸近線所圍區域之面積。
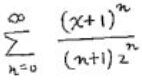
8. 求冪級數之收斂區間。
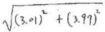
9. 求之近似值。