阿摩線上測驗
登入
首頁
>
轉學考-機率與統計學
> 94年 - 94 淡江大學 轉學考 機率與統計學#56045
94年 - 94 淡江大學 轉學考 機率與統計學#56045
科目:
轉學考-機率與統計學 |
年份:
94年 |
選擇題數:
0 |
申論題數:
14
試卷資訊
所屬科目:
轉學考-機率與統計學
選擇題 (0)
申論題 (14)
1.請舉例說明何爲中央極限定理(central limit theorem)以及大數法則(law of large nuinljers).
2.有A,B,C,D,E共5個人,A君欲將一個紙條傳送給E君,A君在紙條上可能作的記號爲“+”或是“-”符號,而這個 紙條將透過A傳給B, B傳給C, C傳給D而最後D再傳給E,從過去經驗知道A君在紙條上作“+”的機率爲而 B, C, D三人接到紙條後可能會更改符號的機率皆爲現在E君發現手上的紙條符號是“十”,請問在此條件下A君當 初作的記號是“十”的機率爲多少?.
3. Lei A, and Y be two iadependent, Possioa random variables with mean λ
1
arid λ
2
. Find the conditional probability P(X = x | X+ Y = k), where x = 0,1, ..., k.
4. Let X be a normal random variable with mean " and variance σ
2
. Compute the moment generating function E[e
tx
] and then compute E(X
3
)
(i) Show that and X
1
X
2
X
3
has the same distribution where X
1
,X
2
and X
3
are i.i.d. U(0,1) r.v
,
s.
【已刪除】(ii) Let Z be the number of ,
, where 0 < t < 1, show that Z lias a Poission distribution with parameter -log/.. (Hint: you can use the fact that
which is the exponential dist. with mean 2)
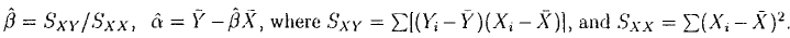
【已刪除】(i) Prove that
【已刪除】(ii) Show that
are unbiased estimators of β and α
(i)本題的型一錯誤及型二錯誤分別爲何?
(ii)在顯著水準爲0.05的情形下,根據資料你將如何建議縣長.
【已刪除】8. Suppose that
are the ordered statistics. Use X
(n)
to construct a confidence interval of 0 wilh level 1 -α
(i) What are the mean and variance of the life time of tliis kind of light bulb.
(ii) A light bulb has been used for one year, what, is the probability that the light bulb can be used for anther year, aud what is the expectation of the life time of this light bulb.
【已刪除】10.有一顆骰子連續擲了300次,一點出現58次,兩點出現38次,三點出現39次,四點出現56次,而五點及六點忘了紀 錄,請在顯著水準0.05下用現有的資料下檢定這顆骰子是否正常?(註:
相關試卷
109年 - 109中原大學_碩士班招生考試_應用數學系統計組:統計#101250
109年 · #101250
102年 - 102 淡江大學 轉學考 機率與統計學#53094
102年 · #53094
98年 - 98 淡江大學 轉學考 機率與統計學#55760
98年 · #55760
96年 - 96 淡江大學 轉學考 機率與統計學#56036
96年 · #56036
92年 - 92 淡江大學 轉學考 機率與統計學#56061
92年 · #56061