阿摩線上測驗
登入
首頁
>
水處理技術(工程)
> 95年 - 095年專門水處理工程與設計(包括地下水污染與防治)#49537
95年 - 095年專門水處理工程與設計(包括地下水污染與防治)#49537
科目:
水處理技術(工程) |
年份:
95年 |
選擇題數:
0 |
申論題數:
7
試卷資訊
所屬科目:
水處理技術(工程)
選擇題 (0)
申論題 (7)
一、有一抽水系統抽水井之平均水位高程為 10 m,用一離心式抽水機抽水到水塔,其平 均水位為 20 m。若抽水機之特性曲線可用 H=20-1.5Q
2
表示,H 為總揚程,單位 為 m;Q 為抽水量,單位為 m
3
/sec。若抽水管與送水管之管徑均為 1,000 mm,管長 共 4 km,摩擦係數 f 為 0.015。求抽水系統之抽水量、操作水頭及抽水機之理論馬 力。(20 分)
二、某一幹管內徑為 2,000 mm,外徑為 2,300 mm,外壓強度 4,200 kg/m,覆土深 4 m, 開挖寬 3 m,回填土為黏土質,單位體積重量 1.7 t/m
3
,土壤之載重係數(loading coefficient)C
d
=1.3。若該管埋在車道下,車輛以 H-20 設計,求水管所受之土壤荷 重和活荷重。(20 分)
⑴請列出處理流程,
⑵求初沈池之尺寸
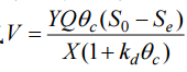
【已刪除】⑶求活性污泥曝氣槽之體積。假設曝氣槽污 泥平均細胞停留時間θc=10 天,微生物轉換係數 Y=0.6,分解係數 kd=0.02 1/d。 但已知公式
,S
0
、S
e
分別為進出流水之機質濃度。(25 分)註:所需各項數據,請自行合理假設。)
四、有一淨水廠每日處理 50,000 m
3
/d 自來水,採用混凝沈澱處理,若膠凝池用明輪式(paddle type)膠凝機混合,試設計膠凝池之體積及膠凝機之動力,但動力機件之效率為 0.85,水 之黏滯係數µ =0.001 kg/m/sec。(20 分) (註:所需各項數據,請自行合理假設。)
五、用土壤處理家庭污水應考慮那些因素,才不會造成環境與土壤的污染?(15 分)
相關試卷
114年 - 114 地方政府公務特種考試_四等_環境工程:水處理工程概要#134677
114年 · #134677
114年 - 114 公務升官等考試_薦任_環境工程:水處理工程(包括相關法規)#133159
114年 · #133159
114年 - 114 普通考試_環境工程:水處理工程概要#128321
114年 · #128321
113年 - 113 地方政府公務特種考試_四等_環境工程:水處理工程概要#124376
113年 · #124376
113年 - 113 普通考試_環境工程:水處理工程概要#121045
113年 · #121045
112年 - 112 地方政府特種考試_三等_環境工程:水處理工程(包括相關法規)#118185
112年 · #118185
112年 - 112 地方政府特種考試_四等_環境工程:水處理工程概要#117995
112年 · #117995
112年 - 112 公務升官等考試_薦任_環境工程:水處理工程(包括相關法規)#117157
112年 · #117157
112年 - 112 高等考試_三級_環境工程:水處理工程(包括相關法規)#115537
112年 · #115537
112年 - 112 普通考試_環境工程:水處理工程概要#115380
112年 · #115380