阿摩線上測驗
登入
首頁
>
高考◆数学◆内蒙古
> 95年 - 2006年内蒙古高考真题理科数学#14342
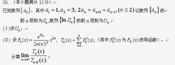
95年 - 2006年内蒙古高考真题理科数学#14342
科目:
高考◆数学◆内蒙古 |
年份:
95年 |
選擇題數:
12 |
申論題數:
6
試卷資訊
所屬科目:
高考◆数学◆内蒙古
選擇題 (12)
申論題 (6)
相關試卷
102年 - 2013年高考真题(数学)#14302
102年 · #14302
102年 - 2013年内蒙古高考真题理科数学#14298
102年 · #14298
101年 - 2012年高考真题(数学)#14314
101年 · #14314
101年 - 2012年内蒙古高考真题理科数学#14311
101年 · #14311
100年 - 2011年高考真题理科数学#14510
100年 · #14510
100年 - 2011年高考真题(数学)#14316
100年 · #14316
99年 - 2010年高考真题(数学)#14322
99年 · #14322
99年 - 2010年内蒙古高考真题理科数学#14319
99年 · #14319
98年 - 2009年高考真题(数学)#14328
98年 · #14328
98年 - 2009年内蒙古高考真题理科数学#14325
98年 · #14325