阿摩線上測驗
登入
首頁
>
高考◆数学◆新疆省
> 95年 - 2006年新疆高考真题理科数学#14347
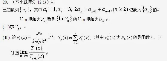
95年 - 2006年新疆高考真题理科数学#14347
科目:
高考◆数学◆新疆省 |
年份:
95年 |
選擇題數:
12 |
申論題數:
6
試卷資訊
所屬科目:
高考◆数学◆新疆省
選擇題 (12)
申論題 (6)
相關試卷
102年 - 2013年高考真题(数学)#14300
102年 · #14300
102年 - 2013年新疆高考真题理科数学#14297
102年 · #14297
101年 - 2012年高考真题(数学)#14312
101年 · #14312
101年 - 2012年新疆高考真题理科数学#14309
101年 · #14309
100年 - 2011年高考真题(数学)#14318
100年 · #14318
100年 - 2011年新疆高考真题理科数学#14315
100年 · #14315
99年 - 2010年高考真题(数学)#14323
99年 · #14323
99年 - 2010年新疆高考真题理科数学#14320
99年 · #14320
98年 - 2009年高考真题(数学)#14327
98年 · #14327
98年 - 2009年新疆高考真题理科数学#14326
98年 · #14326