阿摩線上測驗
登入
首頁
>
研究所、轉學考(插大)-微積分
> 95年 - 95 淡江大學轉學考_理工組二年級:微積分#56156
95年 - 95 淡江大學轉學考_理工組二年級:微積分#56156
科目:
研究所、轉學考(插大)-微積分 |
年份:
95年 |
選擇題數:
0 |
申論題數:
13
試卷資訊
所屬科目:
研究所、轉學考(插大)-微積分
選擇題 (0)
申論題 (13)
【已刪除】⑴
【已刪除】(2)
(3) The position (位置)of a particle is given by ihe equation s = f(t) 1/(1+t), where t is measured in seconds (秒)and s in meters (米).The velocity (速度)after 2 seconds is ?
【已刪除】(4)
【已刪除】(5)
(6) Let f (x,y)=xe
y
.frnd the maximun rate of change of f at the point(2,0).
【已刪除】(7)
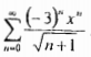
【已刪除】(8) Find the interval of convergence (收斂區間)of the power series
(9) Show that the parabola y = -x
2
and ihe line x-4y- 18 = 0 intersect al right angle al one of their points of intersection (於二個交點之一以直角相交).
(10) A ladder (梯)10 feet long rests against a vertical wall (斜靠於一垂直牆面).of the bottom (底)of the ladder slides away (滑開)from the wall at a rate of 1 fl/sec, how fast is the top of the ladder sliding down the wall when the bottom of the ladder is 6ft from the wall?
(11) Find the volume of the solid obtained by rotating (旋轉)the region (區域)bounded by y=x- x
2
and - 0 about Ihe line x = 2
【已刪除】(12) Determine wheLlter
converges absolutely, converges condhionally, or diverges (要清楚寫出判斷之依據)
(13) Tlie plane x+y+z = 1 cuts ( 切過)the cylinder (圓柱)x
2
+ y
2
= 1 in an ellipse (橢圓).Use Lagrange multipliers lo find the points on the ellipse that lie closest to (最近)and farthest from (最遠)the origin (原 點).
相關試卷
114年 - 114 臺灣綜合大學系統_學士班轉學生考試試題:微積分A#137897
114年 · #137897
114年 - 114 臺灣綜合大學系統_學士班轉學生考試試題:微積分B#137819
114年 · #137819
114年 - 114 台灣聯合大學系統_學士班轉學生考試試題:微積分#137762
114年 · #137762
114年 - 114 台灣聯合大學系統_學士班轉學生考試試題:微積分#137761
114年 · #137761
114年 - 114 國立臺灣大學_轉學生招生考試_物理學系/土木工程學系/生物環境系統工程學系/生物機電工程學系:微積分(B)#137745
114年 · #137745
114年 - 114 國立臺灣大學_轉學生招生考試_數學系:微積分(A)#137744
114年 · #137744
113年 - 113 國立嘉義大學_轉學生招生考試試題_(全校):微積分#122986
113年 · #122986
112年 - 112 國立臺灣大學_碩士班招生考試題:微積分(D)#130254
112年 · #130254
112年 - 112 國立陽明交通大學_碩士班入學招生試題_統計學研究所﹕微積分與線性代數#130252
112年 · #130252
112年 - 112 國立嘉義大學_轉學生招生考試試題:微積分#123297
112年 · #123297