阿摩線上測驗
登入
首頁
>
有機化學
> 95年 - 95 調查特種考試_三等_化學鑑識組、醫學鑑識組:有機化學#42185
95年 - 95 調查特種考試_三等_化學鑑識組、醫學鑑識組:有機化學#42185
科目:
有機化學 |
年份:
95年 |
選擇題數:
0 |
申論題數:
15
試卷資訊
所屬科目:
有機化學
選擇題 (0)
申論題 (15)
【已刪除】一、若設下列各分子中的鍵結以所繪的形式存在,試問各個氧原子 a, b, c 的形式電荷 (formal charge)分別為何?(6 分)
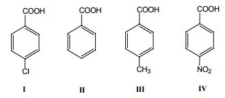
【已刪除】二、請依酸性強度排列以下四化合物,請由強至弱排列。(5 分)
【已刪除】三、下列兩化合物 A 與 B,何者酸性較強?試解釋之。(5 分)
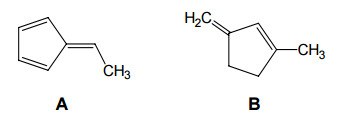
【已刪除】四、指出下式分子是否具有旋光活性(optically active),並請解釋其原因。(5 分)
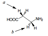
【已刪除】五、指出下式中的氫原子 a 與 b 的組態,是屬於
pro-R
或是
pro-S
?(須兩原子的組態同 時答對才得分)(5 分)
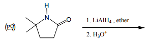
【已刪除】六、下式為一醣類分子的結構,在(a)到(e)指示的各類異構物中,各繪出一個正確的結構 式:(必須清楚的表示出其立體結構)(15 分)
七、溴甲烷與氫氧化鈉的水溶液反應可生成甲醇。若在此反應液中加入少量碘化鈉,則 甲醇產生的速率會大幅上揚。請寫出完整的反應方程式,以解釋加入碘化鈉所引發 的作用。(10 分)
【已刪除】八、寫出下列反應式中,產物 C,D,E 的完整結構式。(PCC 為 pyridinium chlorochromate 的簡寫)(9 分)
【已刪除】九、寫出下列反應式中,產物 F 與 G 的結構式。(Et 為乙基的簡寫)(10 分)
【已刪除】 ⑴
【已刪除】
【已刪除】
【已刪除】
【已刪除】
【已刪除】
相關試卷
115年 - 115 關務特種考試_三等_化學工程(選試英文):有機化學#138982
115年 · #138982
115年 - 115 關務特種考試_四等_化學工程(選試英文):有機化學概要#138903
115年 · #138903
114年 - 114 公務升官等考試_薦任_化學工程:有機化學#133257
114年 · #133257
114年 - 114 調查特種考試_三等_化學鑑識組、醫學鑑識組:有機化學#129586
114年 · #129586
114年 - 114 一般警察特種考試_二等_刑事鑑識人員材料及化學物品鑑析組:有機化學#127790
114年 · #127790
114年 - 114 關務特種考試_三等_化學工程(選試英文):有機化學#126661
114年 · #126661
114年 - 114 關務特種考試_四等_化學工程(選試英文):有機化學概要#126655
114年 · #126655
113年 - 113 調查特種考試_三等_化學鑑識組、醫學鑑識組:有機化學#122084
113年 · #122084
113年 - 113 關務特種考試_三等_化學工程(選試英文):有機化學#119488
113年 · #119488
113年 - 113 關務特種考試_四等_化學工程(選試英文)、化學工程(選試日文):有機化學概要#119484
113年 · #119484