阿摩線上測驗
登入
首頁
>
有機化學
> 95年 - 95 高等考試_三級_化學工程、商品檢驗、生物技術:有機化學#42180
95年 - 95 高等考試_三級_化學工程、商品檢驗、生物技術:有機化學#42180
科目:
有機化學 |
年份:
95年 |
選擇題數:
0 |
申論題數:
23
試卷資訊
所屬科目:
有機化學
選擇題 (0)
申論題 (23)
【已刪除】 ⑴
【已刪除】 ⑵
【已刪除】 ⑶
【已刪除】 ⑷
【已刪除】 ⑸
【已刪除】 ⑹
【已刪除】 ⑺
【已刪除】 ⑻
【已刪除】 ⑼
【已刪除】 ⑽
【已刪除】11.
【已刪除】12.
【已刪除】13.
【已刪除】14.
【已刪除】15.
二、鄰苯二甲酐(phthalic anhydride)與乙二醇所形成的聚合物會有網狀交聯(cross-linked) 的結構產生,請將此聚合物之結構繪出,並顯示其交聯的結構。(10 分)
【已刪除】三、寫出下列反應式之反應機構。(10 分)
【已刪除】
【已刪除】 ⑵
【已刪除】 ⑶
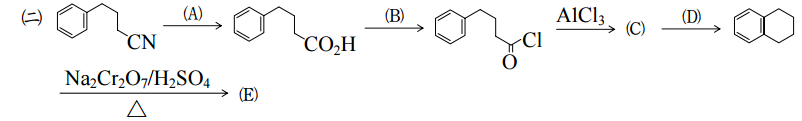
【已刪除】五、試提供適當的反應試劑來完成下列之合成(可使用任何無機試劑)。(10 分)
⑴有一化合物之分子式為 C
4
H
8
O
2
其氫核磁共振光譜吸收如下,化學位移(δ)為 1.0(t, J = 8Hz, 3H), 2.0(s, 3H), 4.0(q, J = 8Hz, 2H),試寫出其結構式。(5 分)
⑵有醚類化合物之分子式為 C
5
H
12
O,其氫核磁共振光譜化學位移(δ)為 1.1 及 3.1, 各有一個單重峰(s),其積分比為 3:1,請畫出其結構式。(5 分)
相關試卷
115年 - 115 關務特種考試_三等_化學工程(選試英文):有機化學#138982
115年 · #138982
115年 - 115 關務特種考試_四等_化學工程(選試英文):有機化學概要#138903
115年 · #138903
114年 - 114 公務升官等考試_薦任_化學工程:有機化學#133257
114年 · #133257
114年 - 114 調查特種考試_三等_化學鑑識組、醫學鑑識組:有機化學#129586
114年 · #129586
114年 - 114 一般警察特種考試_二等_刑事鑑識人員材料及化學物品鑑析組:有機化學#127790
114年 · #127790
114年 - 114 關務特種考試_三等_化學工程(選試英文):有機化學#126661
114年 · #126661
114年 - 114 關務特種考試_四等_化學工程(選試英文):有機化學概要#126655
114年 · #126655
113年 - 113 調查特種考試_三等_化學鑑識組、醫學鑑識組:有機化學#122084
113年 · #122084
113年 - 113 關務特種考試_三等_化學工程(選試英文):有機化學#119488
113年 · #119488
113年 - 113 關務特種考試_四等_化學工程(選試英文)、化學工程(選試日文):有機化學概要#119484
113年 · #119484