所屬科目:(甄試)警大◆火災學
10. 下列何種海龍替代品滅火藥劑之化學相對毒性值()最小? (A)FM-200 (B)NAFS-III (C)INERGEN(IG541) (D)CEA-410
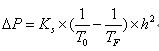
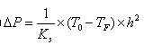
16. 火場中所產生大量之煙霧,因密度低而具浮力,一般表示著火房間內外所產生的壓差方程式為何?(△P:壓差(Pa); KS:常數(3460Pa.K/m); T0:室外溫度(K); TF:室內溫度(K); h:距中性帶距離(m) ) (A) (B) (C) (D)
19. 根據P. H.Thomas的研究,建築物在通風控制燃燒時,所謂燃燒速度R (kg/min) 值與開口部之「面積:A」及「開口高度:H」二者有關,其關係式為何? (A) (B)R=(5.5~6.0)✖A✖H(C) (D)