阿摩線上測驗
登入
首頁
>
高考◆数学◆江苏省
> 96年 - 2007年江苏省 高考真题(数学)#30223
96年 - 2007年江苏省 高考真题(数学)#30223
科目:
高考◆数学◆江苏省 |
年份:
96年 |
選擇題數:
10 |
申論題數:
0
試卷資訊
所屬科目:
高考◆数学◆江苏省
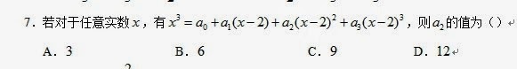
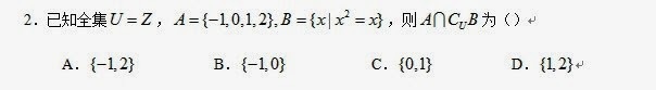
選擇題 (10)
申論題 (0)
相關試卷
102年 - 2013年江苏省 高考真题(数学)#30215
102年 · #30215
101年 - 2012年江苏省 高考真题(数学)#30216
101年 · #30216
100年 - 2011年江苏省 高考真题(数学)#30217
100年 · #30217
99年 - 2010年江苏省 高考真题(数学)#30218
99年 · #30218
98年 - 2009年江苏省 高考真题(数学)#30221
98年 · #30221
97年 - 2008年江苏省 高考真题(数学)#30222
97年 · #30222
95年 - 2006年江苏省 高考真题(数学)#30225
95年 · #30225
94年 - 2005年江苏省 高考真题(数学)#30219
94年 · #30219
93年 - 2004年江苏省 高考真题(数学)#30214
93年 · #30214