阿摩線上測驗
登入
首頁
>
高考◆数学◆安徽省
> 96年 - 2007高考数学理科真题 安徽卷#12596
96年 - 2007高考数学理科真题 安徽卷#12596
科目:
高考◆数学◆安徽省 |
年份:
96年 |
選擇題數:
11 |
申論題數:
0
試卷資訊
所屬科目:
高考◆数学◆安徽省
選擇題 (11)
1)下列函数中,反函数是其自身的函数为 (A)
(B)
(C)
(D)
2)设l,m,n均为直线,其中m,n在平面内,“l⊥α”是“l⊥m且l⊥n”的 (A)充分不必要条件 (B)必要不充分条件 (C)充分必要条件 (D)既不充分也不必要条件
3)若对任意x∈R,不等式|x|≥ax恒成立,则实数a的取值范围是 (A)a<-1 (B)|a|≤1 (C)|a|<1 (D)a≥1
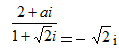
4)若a为实数,
,则a等于 (A)
(B)-
(C)2
(D)-2
5)若
,
,则
的元素个数为 (A)0 (B)1 (C)2 (D)3
6)函数
的图象为C,: ①图象C关于直线
对称; ②函数f(x)在区间
内是增函数; ③由y+3sin2x的图象向右平移
个单位长度可以得到图象C. 以上三个论断中正确论断的个数为 (A)0 (B)1 (C)2 (D)3
7)如果点P在平面区域
上,点Q在曲线x
2
+(y+2)
2
=1上,那么|PQ|的最小值为 (A)
(B)
(C)
(D)
8)半径为1的球面上的四点A,B,C,D是正四面体的顶点,则A与B两点间的球面距离为 (A)
(B)
(C)
(D)
9)如图,F
1
和F
2
分别是双曲线
的两个焦点,A和B是以O为圆心,以|OF
1
|为半径的圆与该双曲线左支的两个交点,且△F
2
AB是等边三角形,则双曲线的离心率为
(A)
(B)
(C)
(D)1+
10)以Φ(x)表示标准正态总体在区间(-∞,x)内取值的概率,若随机变量ζ服从正态分布
,则概率
等于 (A)
(B)
(C)
(D)
11)定义在R上的函数f(x)既是奇函数,又是周期函数,T是它的一个正周期.若将方程f(x)=0在闭区间[-T,T]上的根的个数记为n,则n可能为 (A)0 (B)1 (C)3 (D)5
申論題 (0)
相關試卷
102年 - 2013年普通高等学校招生全国统一考试(安徽卷) 数学(理科)#11701
102年 · #11701
102年 - 2013年高考数学(文科)试题·安徽卷#11657
102年 · #11657
101年 - 2012安徽高考数学理科#12589
101年 · #12589
101年 - 2012年普通高等学校招生全国统一考试(安徽卷) 数学(文科)#11675
101年 · #11675
100年 - 2011高考数学理科安徽#12594
100年 · #12594
100年 - 2011年普通高等学校招生全国统一考试(安徽卷) 数学(文科)#11681
100年 · #11681
99年 - 2010高考数学理科安徽卷#12595
99年 · #12595
99年 - 2010年普通高等学校招生全国统一考试(安徽卷) 数学(文科)#11682
99年 · #11682
98年 - 2009高考数学理科安徽卷#12599
98年 · #12599
98年 - 2009年普通高等学校招生全国统一考试(安徽) 数学(文科)#11733
98年 · #11733